题目链接:
https://leetcode.cn/problems/swap-nodes-in-pairs/
题目描述:
给你一个链表,两两交换其中相邻的节点,并返回交换后链表的头节点。你必须在不修改节点内部的值的情况下完成本题(即,只能进行节点交换)。
示例 1:

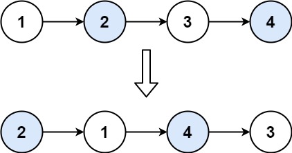
输入:head = [1,2,3,4]
输出:[2,1,4,3]
示例 2:
输入:head = []
输出:[]
示例 3:
输入:head = [1]
输出:[1]
提示:
- 链表中节点的数目在范围
[0, 100]内 0 <= Node.val <= 100
思路:

cpp
/**
* Definition for singly-linked list.
* struct ListNode {
* int val;
* ListNode *next;
* ListNode() : val(0), next(nullptr) {}
* ListNode(int x) : val(x), next(nullptr) {}
* ListNode(int x, ListNode *next) : val(x), next(next) {}
* };
*/
class Solution {
public:
ListNode* swapPairs(ListNode* head) {
//判空
if(head!=nullptr){
//申请虚拟头结点
ListNode* newhead=new ListNode(0);
newhead->next=head;
ListNode* cur=newhead;
while(cur->next&&cur->next->next){//至少有两个有效结点才能交换
ListNode* p=cur->next;//第一个节点
ListNode* q=cur->next->next;//第二个节点
//原始链表的第二结点变成新链表的头结点,
cur->next=q;
//先把后续节点连到原来头结点身上
p->next=q->next;
//原始链表的头结点变成新链表的第二个结点
q->next=p;
//让虚拟头结点移动到新链表第二节点的位置,开始新一轮
cur=p;
}
return newhead->next;
}
return NULL;
}
};