一、图的定义
图(Graph) 是由顶点集合和边集合组成的离散结构,记为:G=(V,E)
V:非空顶点(结点)集合,V={v1,v2,...,v n}
E:边集合,E={e1,e2,...,em},每条边连接两个顶点

二、简单图的定义
满足以下条件的无向图称为简单图:
无环:不存在一条边的两个端点是同一个顶点(没有自环)
无重边:任意两个顶点之间最多只有一条边
无向:边没有方向,(u,v)与(v,u)是同一条边
三、基本相关概念
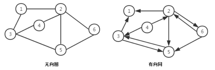
1、无向图 / 有向图
无向图:边(u,v)无方向
有向图:边⟨u,v⟩有方向,u起点,v终点

2、邻接、关联
邻接:两个顶点之间有边相连,则互为邻接点
关联:边依附于顶点,称边与顶点关联
3、顶点的度(Degree)
无向图:顶点相连的边数
有向图:出度(向外的边)+ 入度(向内的边)
握手定理:所有顶点度数之和 = 边数 × 2
4、孤立点、悬挂点
孤立点:度为 0 的顶点
悬挂点:度为 1 的顶点
5、完全图
简单无向完全图Kn:任意两点都有边,共n(n−1)/2条边

6、子图、生成子图
子图:顶点、边都是原图子集
生成子图:顶点与原图相同,边是子集
7、路径、回路
路径:顶点依次相连的序列
回路(环):起点和终点相同的路径
8、简单路径:顶点不重复
简单回路:除起点终点外顶点不重复
9、连通图
无向图:任意两点之间都有路径,则为连通图
有向图:强连通、弱连通
10、权、带权图(网)
边带有数值(距离、代价等),称为权,带权图也叫网络