目录

1.摘要
针对移动边缘计算(MEC)服务器部署中云端卸载与延迟难以精确平衡,以及大规模网络下决策变量指数级增长引发的维数灾难等挑战,本文构建了一个联合优化延迟、能耗与负载均衡的约束多目标模型。为高效求解该模型,本文提出了一种自适应基于排序的协同进化学习算法,通过设计领域驱动变量分组(DVG)策略有效降低高维复杂性,并引入自适应排序协同进化学习(ARL)机制显著提升大规模环境下的求解精度。
2.系统架构与模型
系统架构

本文研究三层移动边缘计算架构中的边缘层服务器部署问题,受限于物理空间,系统从 n n n 个基站中选取 m m m个候选位置,为每个位置配置一台从四种异构类型中选取的边缘服务器。边缘网络拓扑可建模为无向图:
G = ( B ∪ E , A ) G=(B\cup E,A) G=(B∪E,A)
其中, B B B 为基站集合, E E E 为边缘服务器集合。服务器与其所在基站同址,并在指定的半径范围内提供服务,对于重叠覆盖区域的用户请求则严格遵循就近路由原则。定义长度为 n n n的决策向量:
P = { p i ∣ i = 1 , 2 , ... , n } , p i ∈ { 0 , 1 , 2 , 3 , 4 } P=\{p_i\mid i=1,2,\ldots,n\},\quad p_i\in\{0,1,2,3,4\} P={pi∣i=1,2,...,n},pi∈{0,1,2,3,4}
其中, p i = 0 p_i=0 pi=0表示第 i i i个基站未部署服务器,取值 1 至 4 则代表部署的具体异构服务器类型。
多目标优化模型
将边缘服务器抽象为M/G/1排队模型,依据Pollaczek--Khinchine公式量化任务处理延迟,系统总延迟:
T ( P ) = T trans + T proc T(P) = T_{\text{trans}} + T_{\text{proc}} T(P)=Ttrans+Tproc
系统能耗模型综合考量了由持续计算负载主导的活跃运行能耗( E C r EC_r ECr)以及引入比例系数的非活跃空闲能耗( E C l EC_l ECl),总能耗
E C ( P ) = E C r ( P ) + E C l ( P ) EC(P) = EC_r(P) + EC_l(P) EC(P)=ECr(P)+ECl(P)
以归一化负载分布的方差作为衡量系统不平衡度( L B LB LB),最小化该方差以规避极端过载与资源闲置:
L B ( P ) = 1 m ∑ j = 1 m ( ( W j − T W j ) − ( W − T W ) ) 2 LB(P) = \frac{1}{m} \sum_{j=1}^{m} \left( (W_j - TW_j) - (W - TW) \right)^2 LB(P)=m1j=1∑m((Wj−TWj)−(W−TW))2
3.自适应基于排序的协同进化学习粒子群算法

ESP 编码方案
针对异构边缘服务器部署的复杂性,本文采用一维整型数组对节点位置与服务器类型进行联合离散编码。对于包含 n n n个候选基站的网络,构建长度为 n n n的一维决策向量:
P = [ p 1 , p 2 , ... , p n ] , p i ∈ { 0 , 1 , 2 , 3 , 4 } P=[p_1,p_2,\ldots,p_n],\quad p_i\in\{0,1,2,3,4\} P=[p1,p2,...,pn],pi∈{0,1,2,3,4}
其中, p i = 0 p_i=0 pi=0表示第 i i i个基站不部署服务器,取非零值则直接标识该基站部署的具体异构服务器型号。在候选解的适应度评估阶段,算法首先计算基站间的全局距离矩阵,并根据编码向量解析出处于激活状态的边缘服务器节点。基于就近接入原则,建立普通基站至最近边缘服务器的映射关系并完成请求负载的分配。

领域驱动变量分组
在协同进化框架中引入了领域驱动变量分组(DVG)机制,用K-Means算法对全局基站坐标集进行聚类分析,将复杂的原始高维决策空间降维并分解为若干个具备实际物理拓扑意义的子空间。从全局决策种群中提取与当前簇对应的特征列,以此构建独立的演化子种群,若将第 i i i个聚类簇所包含的基站索引集合记为 C i C_i Ci,全局种群矩阵记为 P P P,则对应的第 i i i个子种群 P o p i Pop_i Popi的提取过程可形式化:
P o p i = { P : , j ∣ j ∈ C i } Pop_i=\{P_{:,j}\mid j\in C_i\} Popi={P:,j∣j∈Ci}

自适应基于排序的协同进化学习
自适应基于排序的协同进化学习机制分为种群多维分层与自适应层级学习两个阶段。在分层阶段,算法综合考量个体的收敛性、多样性与可行性。首先通过非支配排序识别出收敛精英,随后引入均匀分布的参考向量将目标空间划分为若干子区域,并计算局部评分以精准提取多样性精英。局部评分函数:
l o c a l S c o r e k ( X i ) = 1 − ∑ j ∈ s u b R e g i o n k d o m ( X i , X j ) ∣ s u b R e g i o n k ∣ localScore_k(X_i) = 1 - \frac{\sum_{j \in subRegion_k} dom(X_i, X_j)}{|subRegion_k|} localScorek(Xi)=1−∣subRegionk∣∑j∈subRegionkdom(Xi,Xj)
其中,若个体 X j X_j Xj 支配 X i X_i Xi,则指示函数 d o m ( X i , X j ) = 1 dom(X_i, X_j) = 1 dom(Xi,Xj)=1,否则为 0。
基于上述评价并结合解的物理约束满足情况,全局种群被严格划分为四个递进等级:可行优胜者 ( r 1 r_1 r1)、不可行优胜者 ( r 2 r_2 r2)、可行落败者 ( r 3 r_3 r3) 与不可行落败者 ( r 4 r_4 r4)。
在自适应排序学习阶段,演化信息呈现由高等级向低等级跨层传递的特征(如 r 4 r_4 r4 综合向 r 1 r_1 r1、 r 2 r_2 r2 及 r 3 r_3 r3 学习,而 r 2 r_2 r2 仅向 r 1 r_1 r1 学习),核心粒子的速度与位置演化规则更新:
v l ( t + 1 ) = r 0 v l ( t ) + r 1 ( x w 1 ′ ( t ) − x l ′ ( t ) ) + r 2 ( x w 2 ′ ( t ) − x l ′ ( t ) ) + r 3 ( x w 3 ′ ( t ) − x l ′ ( t ) ) v_l(t + 1) = r_0 v_l(t) + r_1(x'_{w_1}(t) - x'l(t)) + r_2(x'{w_2}(t) - x'l(t)) + r_3(x'{w_3}(t) - x'_l(t)) vl(t+1)=r0vl(t)+r1(xw1′(t)−xl′(t))+r2(xw2′(t)−xl′(t))+r3(xw3′(t)−xl′(t))
x l ( t + 1 ) = x l ′ ( t ) + v l ( t + 1 ) + r 0 ( v l ( t + 1 ) − v l ( t ) ) x_l(t + 1) = x'_l(t) + v_l(t + 1) + r_0(v_l(t + 1) - v_l(t)) xl(t+1)=xl′(t)+vl(t+1)+r0(vl(t+1)−vl(t))
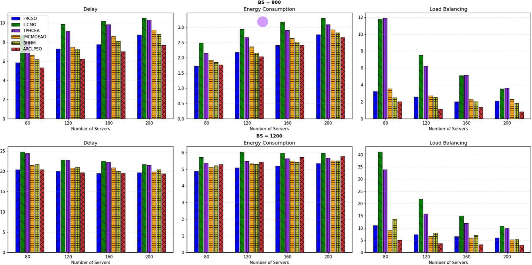
4.结果展示


5.参考文献
Lü J, Huang S, He Z, et al. An adaptive rank-based coevolutionary learning particle swarm optimization algorithm for server placement in edge computing[J]. Expert Systems with Applications, 2026, 323: 132381.
6.代码获取
xx
7.算法辅导·应用定制·读者交流
xx