1026. Maximum Difference Between Node and Ancestor
Given the root of a binary tree, find the maximum value v for which there exist different nodes a and b where v = |a.val - b.val| and a is an ancestor of b.
A node a is an ancestor of b if either: any child of a is equal to b or any child of a is an ancestor of b.
Example 1:

Input: root = [8,3,10,1,6,null,14,null,null,4,7,13]
Output: 7
Explanation: We have various ancestor-node differences, some of which are given below :|8 - 3| = 5
|3 - 7| = 4
|8 - 1| = 7
|10 - 13| = 3
Among all possible differences, the maximum value of 7 is obtained by |8 - 1| = 7.
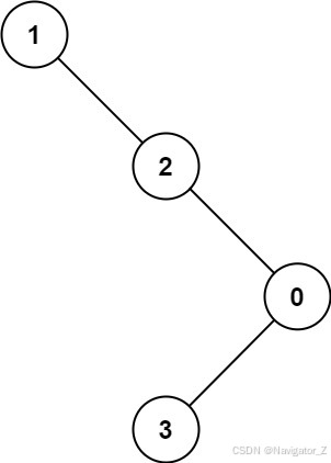
Example 2:

Input: root = [1,null,2,null,0,3]
Output: 3
Constraints:
- The number of nodes in the tree is in the range [2, 5000].
- 0 < = N o d e . v a l < = 10 5 0 <= Node.val <= 10^5 0<=Node.val<=105
From: LeetCode
Link: 1026. Maximum Difference Between Node and Ancestor
Solution:
Ideas:
For each node, keep track of:
- the minimum value seen on the path from the root to this node
- the maximum value seen on the path from the root to this node
Then the maximum ancestor difference on that path is:
- curMax - curMin
So during DFS:
- update curMin and curMax with the current node value
- continue to left and right children
- when reaching NULL, return the difference for that path
Code:
c
/**
* Definition for a binary tree node.
* struct TreeNode {
* int val;
* struct TreeNode *left;
* struct TreeNode *right;
* };
*/
static int max(int a, int b) {
return a > b ? a : b;
}
static int min(int a, int b) {
return a < b ? a : b;
}
static int dfs(struct TreeNode* node, int curMin, int curMax) {
if (node == NULL) {
return curMax - curMin;
}
curMin = min(curMin, node->val);
curMax = max(curMax, node->val);
int leftAns = dfs(node->left, curMin, curMax);
int rightAns = dfs(node->right, curMin, curMax);
return max(leftAns, rightAns);
}
int maxAncestorDiff(struct TreeNode* root) {
return dfs(root, root->val, root->val);
}