一、单片机电路 中不同点电压
- 导线直接连在一起的所有点 → 电压完全相等 比如:
- 所有 GND 点,全部都是 0V
- 所有 VCC 走线连在一起,全部都是 3.3V
- 中间串了元件(电阻、二极管、MOS、芯片内部) → 电压一定不一样, 元件两端会产生电压差、压降。
二、电压基础
- 所有电压,全部都是相对 GND (0V) 的差值
- 没有 GND,就测不出电压
- 电流流过电阻 / 器件,就会分压、降压,前后两点电压不同
公式核心就一个:U=I×R 即:电压 = 电流 × 电阻
三、单片机电路里常见 4 类节点电压
1. 公共地 GND
所有 GND 铜箔、负极、电容负极、芯片 VSS ✅ 统一:0V
2. 电源主干 VCC
LDO 输出、电池正极、芯片 VDD ✅ 统一:3.3V(或 5V)
3. 经过电阻后的点
电压会被分压降低
4. 芯片引脚、内部节点
由芯片 MOS 管、内部电路、寄存器配置决定
四、电路各点电压计算
三种经典计算,单片机电路全覆盖
① 纯导线直接相连
规则:
导线电阻≈0,不分压,所有连通点电压完全相同举例:
- 单片机 VDD 引脚 → 电源线 → LDO 输出脚 全部 = 3.3V
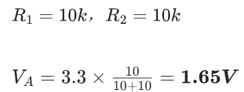
② 两个电阻串联【分压计算】(常用)
结构:
3.3V → R1 → 节点A → R2 → GND(0V)
总电阻:
总回路电流:
节点 A 电压(关键):
举例实操

两个电阻相等,电压对半分。
👉 上拉电阻、下拉电阻、按键电路、ADC 采样,全是这么算。
③ 二极管 / MOS 管 压降计算
1. 普通硅二极管
正向导通固定压降:0.7V
例:输入端 3.3V → 二极管 → 后端电压:
3.3−0.7=2.6V
2. MOS 管导通
导通内阻很小,压降极低,工程上近似看作:两端电压几乎相等
五、结合单片机 IO 电路
例子:上拉输入电路
3.3V → 内部上拉电阻R(40k) → IO引脚 → 按键 → GND
-
按键松开 IO 没有接地,电流几乎为 0 电阻无压降 👉 IO 引脚电压 = 3.3V 高电平
-
按键按下 IO 直接连通GND 👉 IO 引脚电压 = 0V 低电平
六、电压固定点,电压会变点
- 电源、地、固定偏置电阻电压永久固定不变
- IO 引脚、总线信号、按键、ADC 点 电压随:寄存器配置,外部开关,外部传感器实时变化
七、高电平、低电平 电压本质
3.3V 系统
- 芯片强行拉满 → 接近 3.3V = 逻辑 1
- 芯片拉到地 → 接近 0V = 逻辑 0
- 中间 1V~2V 属于模糊区,靠施密特触发器强制判定
八、终极极简总结
- 导线直通的点:电压完全一样
- 串了电阻 / 二极管 / MOS:前后电压不同,产生压降
- 电压计算核心:
- 串联电阻:分压公式
- 二极管:固定减 0.7V
- 导线:电压不变
- 所有电压都以 GND=0V 为参考
- 单片机引脚电压,由「外部电路 + 内部 MOS / 上下拉」共同决定。