目录
[1 BP译码算法](#1 BP译码算法)
[1.1 因子图](#1.1 因子图)
[1.2 迭代传播公式](#1.2 迭代传播公式)
[2 BPL 译码算法](#2 BPL 译码算法)
[2.1 因子图](#2.1 因子图)
[2.2 迭代原理](#2.2 迭代原理)
[3 各种译码算法的性能对比](#3 各种译码算法的性能对比)
1 BP译码算法
1.1 因子图
基于 SC 的译码,由于是串行结构 ,在译码时延方面相较于并行译码结构劣势较大。然而,Polar 码其也可以采用 并行译码结构,即 BP 译码 ,相应地其编码过程也可用 Forney 因子图 来表示,如图 所示,其中因子图可分为 n = 3 层,共包含 32 个节点。
N = 8 时 Forney 因子图
一般地,对于 ( N,K ) Polar 码,其相应的 Forney 因子图包含 n = log 2 N 层以及 (n + 1) N 个节点。每个节点由整数对 ( i, j ) 表示,其中 1 ≤ i ≤ n + 1 表示层索引,1 ≤ j ≤ N 表示行索引。第 i = n + 1 层的节点对应信道接收值,而第 i = 1 层的节点对应信源信息。每一层都包含 N/ 2 个处理单元,如图所示,其中
。
BP 译码中的处理单元
1.2 迭代传播公式
在每个处理单元中其信息可进行双向传递,具体为在 t次迭代时,信息从右向左传递由
表示,以及信息从左向右传递由
表示。在 t = 0 时 ( 初始化 ) ,对于任意1 ≤ j ≤ N ,

其余节点
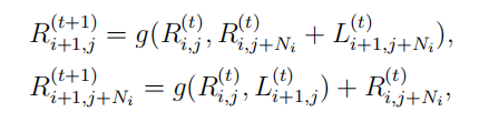
均初始化为 0 ( 2 ≤ i ≤ n ) 。每一个处理单元 ( 1 ≤ i ≤ n ) 其从右向左传播的计算公式为:
从右向左传播的计算公式
从左向右传播的计算公式为:
从左向右传播的计算公式

初始化完成后,BP 译码器首先从右至左根据公式:
从右向左传播的计算公式
更新每个左节点 Li,j的信息,再从左至右根据公式:
从左向右传播的计算公式
更新每个右节点 Ri,j的信息,我们称所有左 节点和右节点均更新一次为 BP 译码器的一次迭代,此时对应 t= 1。
在每次迭代完成 后,译码器会根据第 i= 1 层的所有节点信息
估计信源序列,并根据第 i= n层的所有节点信息
估计码字序列。在输出前,译码器将对估计的信源序列重新编码,并将其与码字序列进行校验(称为基于生成矩阵 G校验):
- 若校验通过,则停止迭代;
- 否则将进行下一次迭代直到校验通过或达到设置的最大迭代次数 T。
2 BPL 译码算法
2.1 因子图
针对N= 8 时的 Forney 因子图,在 2009 年, R. Urbanke等人发现对于码长为 N 的二元 Polar 码,其 Forney 因子图共有 (log 2 N )! 种表示形式,我们称这些表示集合为**"** 过完备集" ,即其中 log 2 N 层的任意置换都是有效的表示,如图 所示:
N = 8 时等效因子图
图中给出了 N = 8 时的三种等效因子图表示。同 LDPC 码的冗余停止 从另一方面来看,对 Polar 码利用不同形式的 Forney 因子图进行 BP 译码可有效提升其译码性能。
BP 列表译码 (BPL) 算法 由 A. Elkelesh 等人在 2008 年时提出 ,与基于逐次抵消的列表译码 SCL 算法不同,其列表内并非是多个候选译码路径,而是多种译码 Forney 因子图:
- 即对于 SCL 算法,其列表大小是动态变化直到达到最多可保留的 L条路径,
- 而 BPL 算法是初始时就有独立的 L个译码器。
任何一个基于 Arıkan核置换的因子图都对应一个置换向量 Π ,该向量内的元素为从 1 到 n 的任何随机排列 (n = log2 N)。 如图 " N = 8 时等效因子图 **"**所示,其 Π 分别对应 (3 , 2 , 1) , (2 , 1 , 3) ,和 (2 , 3 , 1)。对于给定的输入,由于缺乏明确的关于最优译码置换因子图的理论指导,因此,为简单起见, BPL 算法中的 L 个译码器对应的因子图中,总是包含 n 个简单循环移位产生的因子图和 L − n个随机产生的置换向量生成的因子图,其具体流程图如图所示。
BPL 译码流程图
2.2 迭代原理
同 BP 译码一样, BPL 译码中的 每个译码器的停止准则也是当其满足生成矩阵 G校验或直到满足最大迭代次数时停止迭代。 在迭代停止后,我们也会 得到 L个候选码字列表 ,但值得注意的是,仅那些满足生成矩阵 G 校验的码字为 Polar 码的有效码字。
BPL 译码器将选择距离信道输出 y 最近的,即欧氏距离最短的 ,有效码字作为译码输出。若 L 个译码器均无法得到有效码字,则认为译码失败,但 BPL 译码器仍以最近距离码字作为译码输出,即:

假设最大迭代次数为 T , BPL 的译码复杂度为 O ( LT N log 2 N ) 。相比较 SCL 串行译码算法,尽管 BPL 算法减少了 SCL 算法中的排序复杂度,但当列表大小均为 L时,其复杂度仍远大于 SCL 译码算法。但在另一方面,BPL 译码算法基于迭代译码,其可得到译码软信息 (soft out-put),这将有利于与调制相结合时的联合检测与译码。
3 各种译码算法的性能对比
下图给出了 N = 1024 , R = 1 / 2 时, Polar 码经 AWGN 信道在 SC, SCL, BP, BPL 译码算法下的性能对比,其中 L = 4 和 L = 32 均考虑在 SCL 和 BPL 译码算法 中。在 BP 和 BPL 译码算法中,最大迭代次数为 50 。
译码性能对比
上述所有 Polar 码均在构造信噪比为 SNR d = − 1 . 59 dB 下采用高斯近似 GA 构造。从上图 中可以看出, BP 译码算法在低信噪比下优于 SC 译码算法,但基于 BP 并行结构的算法,无论是 BP 还是 BPL 译码算法,其在高信噪比下都会出现错误平层 (error floor) 。图中还可看出, BPL 译码算法的 FER 性能随 L 的增大而改善,但 SCL 译码 算法在高信噪比下,其列表大小 L = 4 和 L = 32 时的 FER 性能相似,且远优于 BPL 译码算法。