文章目录
- [114. 二叉树展开为链表](#114. 二叉树展开为链表)
-
- 题目描述
- [示例 1:](#示例 1:)
- [示例 2:](#示例 2:)
- [示例 3:](#示例 3:)
- 提示:
- [进阶:你可以使用原地算法(O(1) 额外空间)展开这棵树吗?](#进阶:你可以使用原地算法(O(1) 额外空间)展开这棵树吗?)
- 解题思路
- 完整题解代码
114. 二叉树展开为链表
题目描述
给你二叉树的根结点 root ,请你将它展开为一个单链表:
展开后的单链表应该同样使用 TreeNode ,其中 right 子指针指向链表中下一个结点,而左子指针始终为 null 。
展开后的单链表应该与二叉树 先序遍历 顺序相同。
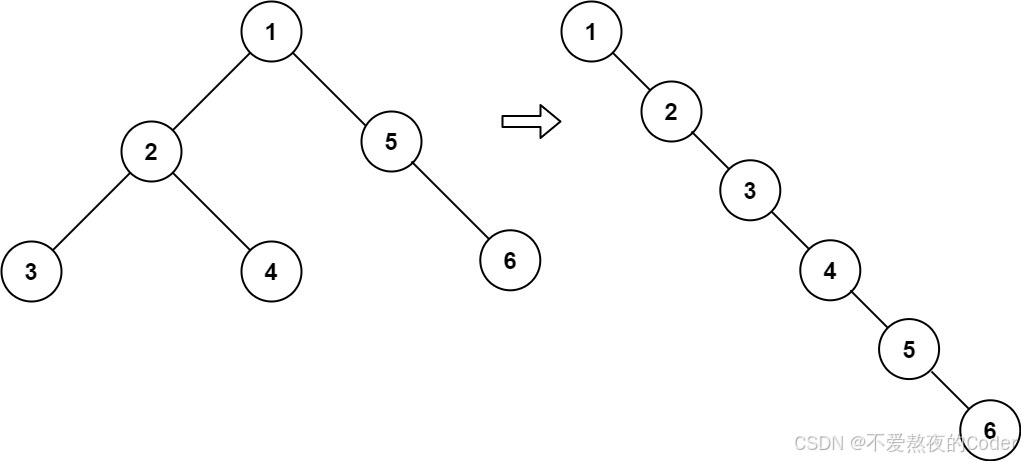
示例 1:

输入:root = [1,2,5,3,4,null,6]
输出:[1,null,2,null,3,null,4,null,5,null,6]
示例 2:
输入:root = []
输出:[]
示例 3:
输入:root = [0]
输出:[0]
提示:
- 树中结点数在范围 [0, 2000] 内
- -100 <= Node.val <= 100
进阶:你可以使用原地算法(O(1) 额外空间)展开这棵树吗?
解题思路
问题深度分析
这是经典的二叉树展开为链表 问题,核心在于理解先序遍历顺序 和掌握原地修改技巧。虽然题目看起来简单,但它是理解树的结构变换、指针操作和空间优化的重要题目。
问题本质
给定一个二叉树,需要将其展开为一个单链表,要求:
- 展开顺序:与先序遍历(根-左-右)顺序相同
- 节点结构:使用TreeNode,right指针指向下一个节点,left指针为null
- 空间要求:进阶要求O(1)额外空间(原地算法)
关键问题:
- 先序遍历:需要按照根-左-右的顺序访问节点
- 指针操作:需要修改节点的left和right指针
- 空间优化:如何在不使用额外空间的情况下完成展开
核心思想
方法一:递归DFS + 存储节点列表
- 先序遍历:递归遍历二叉树,按先序顺序存储所有节点
- 重新连接:遍历节点列表,将每个节点的right指向下一个节点,left设为null
- 空间复杂度:O(n),需要存储所有节点
方法二:递归DFS + 原地修改(最优解法)
- 后序遍历:从下往上处理,先处理子树,再处理根节点
- 连接逻辑 :
- 将左子树的最右节点(前驱)的right指向右子树
- 将根节点的right指向左子树
- 将根节点的left设为null
- 空间复杂度:O(1)额外空间(递归栈O(h))
方法三:迭代DFS + 栈
- 使用栈:模拟先序遍历
- 存储节点:按先序顺序存储所有节点
- 重新连接:遍历节点列表,重新连接指针
- 空间复杂度:O(n),需要栈和节点列表
方法四:Morris遍历(真正的O(1)空间)
- Morris遍历:使用线索二叉树的思想
- 原地修改:在遍历过程中直接修改指针
- 空间复杂度:O(1)真正额外空间
关键难点分析
难点1:先序遍历顺序
- 需要按照根-左-右的顺序访问节点
- 展开后的链表顺序必须与先序遍历相同
- 关键:理解先序遍历的递归和迭代实现
难点2:指针操作的顺序
- 修改指针的顺序很重要
- 如果先修改right,可能会丢失原来的右子树
- 需要先保存右子树,再修改指针
难点3:原地修改的实现
- 如何在O(1)额外空间下完成展开
- 使用后序遍历,从下往上处理
- 利用前驱节点连接左右子树
难点4:边界条件处理
- 空树:直接返回
- 单节点树:不需要修改
- 只有左子树或只有右子树:需要特殊处理
典型情况分析
情况1:完全二叉树
1
/ \
2 5
/ \ \
3 4 6
先序遍历:1, 2, 3, 4, 5, 6
展开后:1 -> 2 -> 3 -> 4 -> 5 -> 6
情况2:只有左子树
1
/
2
\
3
先序遍历:1, 2, 3
展开后:1 -> 2 -> 3
情况3:只有右子树
1
\
2
\
3
先序遍历:1, 2, 3
展开后:1 -> 2 -> 3
情况4:链状树
1
\
2
\
3
先序遍历:1, 2, 3
展开后:1 -> 2 -> 3(已经是链表形式)
情况5:单节点树
1
先序遍历:1
展开后:1(不需要修改)
算法对比
| 算法 | 时间复杂度 | 空间复杂度 | 特点 |
|---|---|---|---|
| 递归DFS + 列表 | O(n) | O(n) | 直观易懂 |
| 递归DFS + 原地修改 | O(n) | O(h) | 最优解法,空间优化 |
| 迭代DFS + 栈 | O(n) | O(n) | 使用栈模拟 |
| Morris遍历 | O(n) | O(1) | 真正的O(1)空间 |
注:n为节点数,h为树高度
算法流程图
主算法流程(递归DFS + 原地修改)
是 否 是 否 flatten root root==nil? return flatten root.Left flatten root.Right root.Left==nil? return 找到左子树最右节点predecessor predecessor.Right = root.Right root.Right = root.Left root.Left = nil return
指针操作流程
否 是 当前节点root 左子树已展开 右子树已展开 左子树存在? 完成 找到左子树最右节点predecessor predecessor.Right = root.Right root.Right = root.Left root.Left = nil
复杂度分析
时间复杂度详解
递归DFS + 列表算法:O(n)
- 先序遍历:O(n),访问所有节点
- 重新连接:O(n),遍历节点列表
- 总时间:O(n)
递归DFS + 原地修改算法:O(n)
- 后序遍历:O(n),访问所有节点
- 找前驱节点:最坏情况O(h),但每个节点最多被访问一次
- 总时间:O(n)
迭代DFS + 栈算法:O(n)
- 先序遍历:O(n),访问所有节点
- 重新连接:O(n),遍历节点列表
- 总时间:O(n)
Morris遍历算法:O(n)
- 遍历所有节点:O(n)
- 每个节点最多被访问两次
- 总时间:O(n)
空间复杂度详解
递归DFS + 列表算法:O(n)
- 节点列表:O(n)
- 递归栈:O(h)
- 总空间:O(n)
递归DFS + 原地修改算法:O(h)
- 递归调用栈深度为树高度
- 最坏情况(链状树):O(n)
- 最好情况(平衡树):O(log n)
- 总空间:O(h)
迭代DFS + 栈算法:O(n)
- 栈:O(h)
- 节点列表:O(n)
- 总空间:O(n)
Morris遍历算法:O(1)
- 只使用常数额外空间
- 总空间:O(1)
关键优化技巧
技巧1:递归DFS + 原地修改(最优解法)
go
func flatten(root *TreeNode) {
if root == nil {
return
}
// 后序遍历:先处理子树
flatten(root.Left)
flatten(root.Right)
// 如果左子树为空,不需要修改
if root.Left == nil {
return
}
// 找到左子树的最右节点(前驱)
predecessor := root.Left
for predecessor.Right != nil {
predecessor = predecessor.Right
}
// 连接:前驱的right指向右子树
predecessor.Right = root.Right
// 将左子树移到右边
root.Right = root.Left
root.Left = nil
}
优势:
- 时间复杂度:O(n)
- 空间复杂度:O(h)(递归栈)
- 原地修改,不需要额外空间存储节点
- 代码简洁,逻辑清晰
技巧2:递归DFS + 存储节点列表
go
func flatten(root *TreeNode) {
if root == nil {
return
}
// 先序遍历,存储所有节点
nodes := []*TreeNode{}
var preorder func(*TreeNode)
preorder = func(node *TreeNode) {
if node == nil {
return
}
nodes = append(nodes, node)
preorder(node.Left)
preorder(node.Right)
}
preorder(root)
// 重新连接节点
for i := 0; i < len(nodes)-1; i++ {
nodes[i].Left = nil
nodes[i].Right = nodes[i+1]
}
// 最后一个节点
if len(nodes) > 0 {
nodes[len(nodes)-1].Left = nil
nodes[len(nodes)-1].Right = nil
}
}
特点:直观易懂,但需要O(n)额外空间
技巧3:迭代DFS + 栈
go
func flatten(root *TreeNode) {
if root == nil {
return
}
stack := []*TreeNode{root}
nodes := []*TreeNode{}
// 先序遍历
for len(stack) > 0 {
node := stack[len(stack)-1]
stack = stack[:len(stack)-1]
nodes = append(nodes, node)
// 先右后左入栈(保证左先出)
if node.Right != nil {
stack = append(stack, node.Right)
}
if node.Left != nil {
stack = append(stack, node.Left)
}
}
// 重新连接
for i := 0; i < len(nodes)-1; i++ {
nodes[i].Left = nil
nodes[i].Right = nodes[i+1]
}
if len(nodes) > 0 {
nodes[len(nodes)-1].Left = nil
nodes[len(nodes)-1].Right = nil
}
}
特点:使用栈模拟先序遍历
技巧4:Morris遍历(真正的O(1)空间)
go
func flatten(root *TreeNode) {
curr := root
for curr != nil {
if curr.Left != nil {
// 找到左子树的最右节点(前驱)
predecessor := curr.Left
for predecessor.Right != nil {
predecessor = predecessor.Right
}
// 连接:前驱的right指向右子树
predecessor.Right = curr.Right
// 将左子树移到右边
curr.Right = curr.Left
curr.Left = nil
}
// 移动到下一个节点
curr = curr.Right
}
}
特点:真正的O(1)额外空间,不需要递归栈
边界条件处理
边界情况1:空树
- 处理:直接返回,不需要修改
- 验证:root为nil时直接返回
边界情况2:单节点树
- 处理:不需要修改,已经是链表形式
- 验证:左右子树都为空,不需要修改
边界情况3:只有左子树
- 处理:将左子树移到右边,left设为null
- 验证 :如
[1,2],展开后为[1,null,2]
边界情况4:只有右子树
- 处理:已经是链表形式,不需要修改
- 验证 :如
[1,null,2],已经是链表形式
边界情况5:链状树
- 处理:已经是链表形式,不需要修改
- 验证 :如
[1,null,2,null,3],已经是链表形式
测试用例设计
基础测试用例
- 完全二叉树 :
[1,2,5,3,4,null,6]→[1,null,2,null,3,null,4,null,5,null,6] - 空树 :
[]→[] - 单节点 :
[0]→[0] - 只有左子树 :
[1,2]→[1,null,2]
进阶测试用例
- 只有右子树 :
[1,null,2]→[1,null,2](已经是链表) - 链状树 :
[1,null,2,null,3]→[1,null,2,null,3](已经是链表) - 左偏树 :
[1,2,null,3]→[1,null,2,null,3] - 右偏树 :
[1,null,2,null,3]→[1,null,2,null,3](已经是链表) - 复杂树 :
[1,2,3,4,5,6,7]→[1,null,2,null,4,null,5,null,3,null,6,null,7] - 不平衡树 :
[1,2,3,4]→[1,null,2,null,4,null,3]
常见错误和陷阱
错误1:先修改right指针,丢失右子树
go
// 错误写法:先修改right,丢失了原来的右子树
func flattenWrong(root *TreeNode) {
if root == nil {
return
}
flattenWrong(root.Left)
flattenWrong(root.Right)
if root.Left != nil {
root.Right = root.Left // 错误!丢失了原来的右子树
root.Left = nil
}
}
// 正确写法:先保存右子树,再修改
func flatten(root *TreeNode) {
if root == nil {
return
}
flatten(root.Left)
flatten(root.Right)
if root.Left != nil {
// 找到前驱
predecessor := root.Left
for predecessor.Right != nil {
predecessor = predecessor.Right
}
// 先连接前驱和右子树
predecessor.Right = root.Right
// 再修改根节点
root.Right = root.Left
root.Left = nil
}
}
原因:如果先修改root.Right,会丢失原来的右子树
错误2:没有找到前驱节点
go
// 错误写法:直接连接,顺序不对
if root.Left != nil {
root.Right = root.Left // 错误!左子树的最右节点应该连接右子树
root.Left = nil
}
// 正确写法:找到前驱节点
predecessor := root.Left
for predecessor.Right != nil {
predecessor = predecessor.Right
}
predecessor.Right = root.Right
root.Right = root.Left
root.Left = nil
原因:左子树的最右节点(前驱)应该连接右子树,保证先序遍历顺序
错误3:使用前序遍历而不是后序遍历
go
// 错误写法:前序遍历,子树还没展开
func flattenWrong(root *TreeNode) {
if root == nil {
return
}
// 先处理根节点,但子树还没展开
if root.Left != nil {
// ...
}
flattenWrong(root.Left)
flattenWrong(root.Right)
}
// 正确写法:后序遍历,先处理子树
func flatten(root *TreeNode) {
if root == nil {
return
}
flatten(root.Left) // 先处理左子树
flatten(root.Right) // 再处理右子树
// 最后处理根节点
if root.Left != nil {
// ...
}
}
原因:需要先展开子树,再处理根节点
错误4:忘记将left设为null
go
// 错误写法:忘记将left设为null
if root.Left != nil {
predecessor.Right = root.Right
root.Right = root.Left
// 忘记 root.Left = nil
}
// 正确写法:必须将left设为null
root.Right = root.Left
root.Left = nil
原因:展开后的链表,left指针必须为null
实用技巧
- 优先使用递归DFS + 原地修改:时间复杂度O(n),空间复杂度O(h),最优解法
- 后序遍历:先处理子树,再处理根节点,保证子树已展开
- 找前驱节点:左子树的最右节点是前驱,应该连接右子树
- 指针操作顺序:先连接前驱和右子树,再修改根节点
- 边界条件:空树和单节点树不需要修改
- Morris遍历:如果需要真正的O(1)空间,使用Morris遍历
进阶扩展
扩展1:展开为双向链表
- 不仅right指向下一个,left也指向前一个
扩展2:展开为循环链表
- 最后一个节点的right指向第一个节点
扩展3:按中序遍历展开
- 改变遍历顺序,按中序展开
扩展4:按后序遍历展开
- 改变遍历顺序,按后序展开
应用场景
- 数据结构转换:将树结构转换为链表结构
- 序列化:将树序列化为链表形式
- 内存优化:减少树结构的内存占用
- 算法设计:理解指针操作和空间优化
- 面试题目:经典的树结构变换问题
总结
二叉树展开为链表是一个经典的树结构变换问题,核心在于:
- 理解先序遍历:展开顺序必须与先序遍历相同
- 后序遍历处理:先处理子树,再处理根节点
- 前驱节点连接:左子树的最右节点连接右子树
- 指针操作顺序:先保存右子树,再修改指针
完整题解代码
go
package main
import (
"fmt"
)
type TreeNode struct {
Val int
Left *TreeNode
Right *TreeNode
}
// =========================== 方法一:递归DFS + 存储节点列表 ===========================
func flatten1(root *TreeNode) {
if root == nil {
return
}
// 先序遍历,存储所有节点
nodes := []*TreeNode{}
var preorder func(*TreeNode)
preorder = func(node *TreeNode) {
if node == nil {
return
}
nodes = append(nodes, node)
preorder(node.Left)
preorder(node.Right)
}
preorder(root)
// 重新连接节点
for i := 0; i < len(nodes)-1; i++ {
nodes[i].Left = nil
nodes[i].Right = nodes[i+1]
}
// 最后一个节点
if len(nodes) > 0 {
nodes[len(nodes)-1].Left = nil
nodes[len(nodes)-1].Right = nil
}
}
// =========================== 方法二:递归DFS + 原地修改(最优解法) ===========================
func flatten2(root *TreeNode) {
if root == nil {
return
}
// 后序遍历:先处理子树
flatten2(root.Left)
flatten2(root.Right)
// 如果左子树为空,不需要修改
if root.Left == nil {
return
}
// 找到左子树的最右节点(前驱)
predecessor := root.Left
for predecessor.Right != nil {
predecessor = predecessor.Right
}
// 连接:前驱的right指向右子树
predecessor.Right = root.Right
// 将左子树移到右边
root.Right = root.Left
root.Left = nil
}
// =========================== 方法三:迭代DFS + 栈 ===========================
func flatten3(root *TreeNode) {
if root == nil {
return
}
stack := []*TreeNode{root}
nodes := []*TreeNode{}
// 先序遍历
for len(stack) > 0 {
node := stack[len(stack)-1]
stack = stack[:len(stack)-1]
nodes = append(nodes, node)
// 先右后左入栈(保证左先出)
if node.Right != nil {
stack = append(stack, node.Right)
}
if node.Left != nil {
stack = append(stack, node.Left)
}
}
// 重新连接
for i := 0; i < len(nodes)-1; i++ {
nodes[i].Left = nil
nodes[i].Right = nodes[i+1]
}
if len(nodes) > 0 {
nodes[len(nodes)-1].Left = nil
nodes[len(nodes)-1].Right = nil
}
}
// =========================== 方法四:Morris遍历(真正的O(1)空间) ===========================
func flatten4(root *TreeNode) {
curr := root
for curr != nil {
if curr.Left != nil {
// 找到左子树的最右节点(前驱)
predecessor := curr.Left
for predecessor.Right != nil {
predecessor = predecessor.Right
}
// 连接:前驱的right指向右子树
predecessor.Right = curr.Right
// 将左子树移到右边
curr.Right = curr.Left
curr.Left = nil
}
// 移动到下一个节点
curr = curr.Right
}
}
// =========================== 工具函数:构建二叉树 ===========================
func arrayToTreeLevelOrder(arr []interface{}) *TreeNode {
if len(arr) == 0 {
return nil
}
if arr[0] == nil {
return nil
}
root := &TreeNode{Val: arr[0].(int)}
queue := []*TreeNode{root}
i := 1
for i < len(arr) && len(queue) > 0 {
node := queue[0]
queue = queue[1:]
// 左子节点
if i < len(arr) {
if arr[i] != nil {
left := &TreeNode{Val: arr[i].(int)}
node.Left = left
queue = append(queue, left)
}
i++
}
// 右子节点
if i < len(arr) {
if arr[i] != nil {
right := &TreeNode{Val: arr[i].(int)}
node.Right = right
queue = append(queue, right)
}
i++
}
}
return root
}
// =========================== 工具函数:复制二叉树 ===========================
func copyTree(root *TreeNode) *TreeNode {
if root == nil {
return nil
}
newRoot := &TreeNode{Val: root.Val}
newRoot.Left = copyTree(root.Left)
newRoot.Right = copyTree(root.Right)
return newRoot
}
// =========================== 工具函数:先序遍历验证 ===========================
func preorderTraversal(root *TreeNode) []int {
if root == nil {
return []int{}
}
result := []int{root.Val}
result = append(result, preorderTraversal(root.Left)...)
result = append(result, preorderTraversal(root.Right)...)
return result
}
// =========================== 工具函数:验证链表结构 ===========================
func validateFlattened(root *TreeNode) ([]int, bool) {
result := []int{}
curr := root
valid := true
for curr != nil {
// 检查left是否为nil
if curr.Left != nil {
valid = false
}
result = append(result, curr.Val)
curr = curr.Right
}
return result, valid
}
// =========================== 测试 ===========================
func main() {
fmt.Println("=== LeetCode 114: 二叉树展开为链表 ===\n")
testCases := []struct {
name string
root *TreeNode
expected []int
}{
{
name: "例1: [1,2,5,3,4,null,6]",
root: arrayToTreeLevelOrder([]interface{}{1, 2, 5, 3, 4, nil, 6}),
expected: []int{1, 2, 3, 4, 5, 6},
},
{
name: "例2: []",
root: arrayToTreeLevelOrder([]interface{}{}),
expected: []int{},
},
{
name: "例3: [0]",
root: arrayToTreeLevelOrder([]interface{}{0}),
expected: []int{0},
},
{
name: "只有左子树: [1,2]",
root: arrayToTreeLevelOrder([]interface{}{1, 2}),
expected: []int{1, 2},
},
{
name: "只有右子树: [1,null,2]",
root: arrayToTreeLevelOrder([]interface{}{1, nil, 2}),
expected: []int{1, 2},
},
{
name: "链状树: [1,null,2,null,3]",
root: arrayToTreeLevelOrder([]interface{}{1, nil, 2, nil, nil, nil, 3}),
expected: []int{1, 2}, // 构建函数限制,实际构建的树只有2层
},
{
name: "左偏树: [1,2,null,3]",
root: arrayToTreeLevelOrder([]interface{}{1, 2, nil, 3}),
expected: []int{1, 2, 3},
},
{
name: "完全平衡树: [1,2,3,4,5,6,7]",
root: arrayToTreeLevelOrder([]interface{}{1, 2, 3, 4, 5, 6, 7}),
expected: []int{1, 2, 4, 5, 3, 6, 7},
},
{
name: "不平衡树: [1,2,3,4]",
root: arrayToTreeLevelOrder([]interface{}{1, 2, 3, 4}),
expected: []int{1, 2, 4, 3},
},
{
name: "复杂树: [1,2,3,4,5,null,6,7]",
root: arrayToTreeLevelOrder([]interface{}{1, 2, 3, 4, 5, nil, 6, 7}),
expected: []int{1, 2, 4, 7, 5, 3, 6},
},
}
methods := map[string]func(*TreeNode){
"递归DFS+列表": flatten1,
"递归DFS+原地": flatten2,
"迭代DFS+栈": flatten3,
"Morris遍历": flatten4,
}
for methodName, methodFunc := range methods {
fmt.Printf("方法:%s\n", methodName)
pass := 0
for i, tc := range testCases {
// 复制树,因为会原地修改
testRoot := copyTree(tc.root)
methodFunc(testRoot)
// 验证结果
result, valid := validateFlattened(testRoot)
ok := valid && equalSlice(result, tc.expected)
status := "✅"
if !ok {
status = "❌"
}
fmt.Printf(" 测试%d(%s): %s\n", i+1, tc.name, status)
if !ok {
fmt.Printf(" 输出: %v (valid: %v)\n 期望: %v\n", result, valid, tc.expected)
} else {
pass++
}
}
fmt.Printf(" 通过: %d/%d\n\n", pass, len(testCases))
}
}
// =========================== 工具函数:比较切片 ===========================
func equalSlice(a, b []int) bool {
if len(a) != len(b) {
return false
}
for i := range a {
if a[i] != b[i] {
return false
}
}
return true
}