


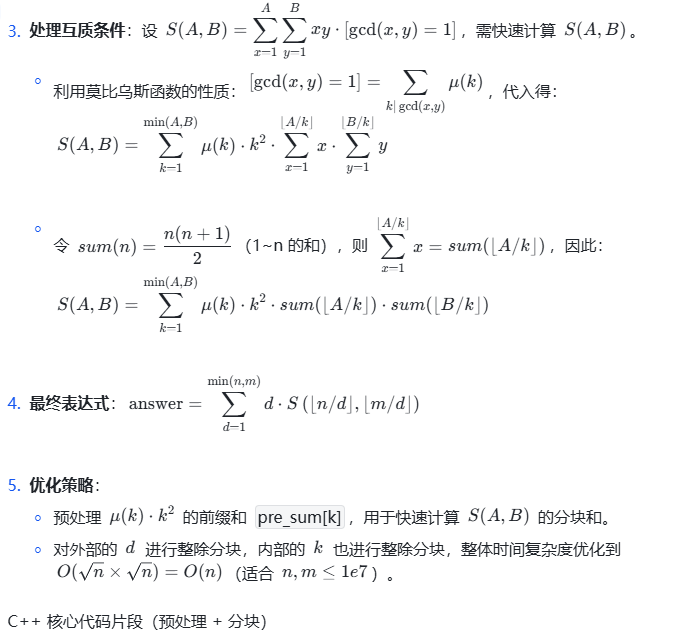
cpp
const int MAXN = 1e7; // 根据题目需求调整最大值
int mu[MAXN + 1];
bool is_prime[MAXN + 1];
vector;
void init_mobius() {
memset(is_prime, true, sizeof(is_prime));
is_prime[0] = is_prime[1] = false;
mu[1] = 1; // 初始化n=1的情况
for (int i = 2; i N; ++i) {
if (is_prime[i]) { // i是质数
prime.push_back(i);
mu[i] = -1; // 单个质数,m=1,mu=-1
}
for (int p : prime) {
if (i * p > MAXN) break;
is_prime[i * p] = false;
if (i % p == 0) { // p是i的因子,i*p有平方因子
mu[i * p] = 0;
break;
} else { // p与i互质,积性函数性质
mu[i * p] = mu[i] * mu[p];
}
}
}
}



cpp
int solve(int a, int b, int d) {
a /= d;
b /= d;
if (a > b) swap(a, b);
int res = 0;
for (int l = 1, r; l l = r + 1) {
r = min(a / (a / l), b / (b / l)); // 整除分块
res += (prefix_mu[r] - prefix_mu[l - 1]) * (a / l) * (b / l);
}
return res;
}

cpp
#include h>
using namespace std;
const int MAXN = 5e4; // 题目数据范围通常为1e4~1e5,5e4足够覆盖
int mu[MAXN + 1];
bool is_prime[MAXN + 1];
vector<int> prime;
long long prefix_mu[MAXN + 1]; // 前缀和(用long long避免溢出)
// 初始化莫比乌斯函数和前缀和
void init_mobius() {
memset(is_prime, true, sizeof(is_prime));
is_prime[0] = is_prime[1] = false;
mu[1] = 1;
for (int i = 2; i N; ++i) {
if (is_prime[i]) {
prime.push_back(i);
mu[i] = -1;
}
for (int p : prime) {
if (i * p > MAXN) break;
is_prime[i * p] = false;
if (i % p == 0) {
mu[i * p] = 0;
break;
} else {
mu[i * p] = mu[i] * mu[p];
}
}
}
// 预处理前缀和
prefix_mu[0] = 0;
for (int i = 1; i ) {
prefix_mu[i] = prefix_mu[i - 1] + mu[i];
}
}
// 计算 1<=xX, 1<=Y 且 gcd(x,y)=k 的数对个数
long long calc(int X, int Y, int k) {
if (X == 0 || Y == 0) return 0;
X /= k;
Y /= k;
if (X > Y) swap(X, Y);
long long res = 0;
// 整除分块优化求和
for (int l = 1, r; l + 1) {
r = min(X / (X / l), Y / (Y / l));
res += (prefix_mu[r] - prefix_mu[l - 1]) * 1LL * (X / l) * (Y / l);
}
return res;
}
int main() {
init_mobius();
int T;
cin >> T;
while (T--) {
int a, b, c, d, k;
cin >> a >> b >> c >> d >> k;
long long ans = calc(b, d, k) - calc(a - 1, d, k) - calc(b, c - 1, k) + calc(a - 1, c - 1, k);
cout < <
return 0;
}


cpp
const int MOD = 20101009;
const int MAXN = 1e7;
int mu[MAXN + 1];
bool is_prime[MAXN + 1];
vector
long long pre_sum[MAXN + 1]; // pre_sum[k] = sum_{i=1}^k mu[i] * i^2 mod MOD
// 预处理莫比乌斯函数和 pre_sum
void init() {
memset(is_prime, true, sizeof(is_prime));
is_prime[0] = is_prime[1] = false;
mu[1] = 1;
for (int i = 2; i i) {
if (is_prime[i]) {
prime.push_back(i);
mu[i] = -1;
}
for (int p : prime) {
if (i * p > MAXN) break;
is_prime[i * p] = false;
if (i % p == 0) {
mu[i * p] = 0;
break;
} else {
mu[i * p] = mu[i] * mu[p];
}
}
}
// 计算 pre_sum:mu[k] * k^2 mod MOD
for (int k = 1; k k) {
long long k2 = 1LL * k * k % MOD;
pre_sum[k] = (pre_sum[k - 1] + 1LL * mu[k] * k2) % MOD;
}
// 处理负号(确保结果非负)
for (int k = 1; k MAXN; ++k) {
if (pre_sum[k] ) pre_sum[k] += MOD;
}
}
// 计算 sum(1~n) mod MOD
long long sum(long long n) {
n %= MOD;
return n * (n + 1) / 2 % MOD;
}
// 计算 S(A,B)
long long compute_S(int A, int B) {
if (A == 0 || B == 0) return 0;
if (A > B) swap(A, B);
long long res = 0;
for (int l = 1, r; l r + 1) {
r = min(A / (A / l), B / (B / l));
long long s = (pre_sum[r] - pre_sum[l - 1] + MOD) % MOD;
long long sa = sum(A / l);
long long sb = sum(B / l);
res = (res + s * sa % MOD * sb % MOD) % MOD;
}
return res;
}
// 计算最终答案
long long solve(int n, int m) {
if (n > m) swap(n, m);
long long ans = 0;
for (int l = 1, r; l ; l = r + 1) {
r = min(n / (n / l), m / (m / l));
long long d_sum = (1LL * (l + r) * (r - l + 1) / 2) % MOD; // 求和 d from l to r
long long s = compute_S(n / l, m / l);
ans = (ans + d_sum * s % MOD) % MOD;
}
return ans;
}

cpp
// 计算 sum_{d=1}^n f(d) * g( floor(n/d) )
long long divide_block(int n, function f, function(int)> g) {
long long res = 0;
for (int l = 1, r; l l = r + 1) {
r = n / (n / l);
long long f_sum = 0;
for (int i = l; i ++i) f_sum += f(i); // 可预处理前缀和优化
res += f_sum * g(n / l);
}
return res;
}



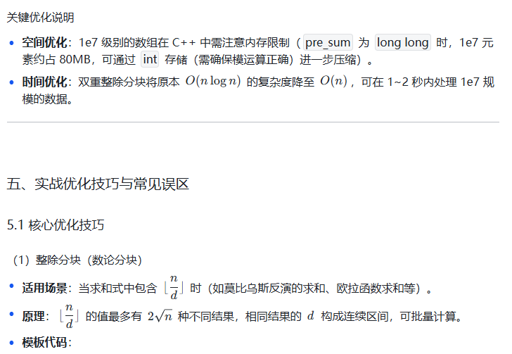
6.3 寄语
莫比乌斯反演的核心是 "转化与优化"------ 将难以直接计算的问题转化为可通过数论性质快速求解的形式。初学者可能会被公式推导和代码实现劝退,但只要循序渐进(先掌握基础例题,再挑战进阶题),多动手推导公式、调试代码,就能逐渐体会其魅力。
算法竞赛中,莫比乌斯反演常与整除分块、前缀和、线性筛结合出现,建议将这些知识点串联学习,形成完整的数论解题体系。祝你在数论的世界里越走越远!