1、概述
逻辑回归是一种用于解决二分类问题的统计方法,尽管名称中包含"回归",但实际上是一种分类算法。它通过将线性回归的输出映射到Sigmoid函数,将预测值转换为概率值(0到1之间),从而进行分类决策。
逻辑回归的核心目标是:
预测一个样本属于某个类别的概率。

2、数学原理和推导
1) 假设函数(sigmoid 函数)

逻辑回归通过将线性回归的结果输入一个S型函数,将结果映射到 0 到 1 的区间:
其中:
hθ(x)是预测结果(属于类别1的概率)
θ是参数向量(权重)
x 是输入特征向量
当: hθ(x)≥0.5,预测为类别1
hθ(x)<0.5,预测为类别0

3)求解

3、梯度下降法

1)偏导数
我们知道一个多变量函数的偏导数,就是它关于一个变量的导数而保持其他变量恒定,该函数的整个求导
2)梯度
梯度可以定义为一个函数的全部偏导数构成的向量,梯度向量的方向即为函数值增长最快的方向
3)梯度下降法
是一个一阶最优化算法,通常也称为最陡下降法,要使用梯度下降法找到一个函数的局部极小值
步长(学习率):梯度可以确定移动的方向。学习率将决定我们采取步长的大小。不易过小和过大
4、评价方式
混淆矩阵:

真阴性(TN):非 0 数字被正确预测的数量;
真阳性(TP):0 被正确预测的数量;
假阴性(FN):0 被误判为非 0 的数量;
假阳性(FP):非 0 被误判为 0 的数量
1)准确率
适用于类别平衡的数据集,但对不平衡数据可能产生误导。

2)精确率
适用于需要高置信度正类预测的场景(如垃圾邮件分类)

3)召回率
适用于漏报成本高的场景(如疾病检测)

4)F1值
适用于需要平衡精确率和召回率的场景。

5、欠拟合和过拟合
1)欠拟合
概念:就是模型没有训练好,一般训练的数据较少,会出现这种情况
2)过拟合
概念:模型在训练集表现良好,但在测试集上的表现就不行
原因:
1、训练集上为追求好的效果(包括损失小、准确率高等)
2、模型参数过于复杂
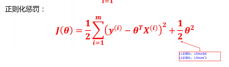
6、正则化惩罚
目的:防止过拟合
概念:Minimize your error while regularizing your parameters.规则化参数的同时最小化误差。【被翻译为正则化】
L1正则(Lasso):鼓励稀疏解
L2正则(Ridge):平滑模型参数
带正则化项的逻辑回归
LogisticRegression(penalty='l2', C=1.0,max_iter=100)
参数Penalty:正则化方式,有l1和l2两种。用于指定惩罚项中使用的规范。
参数C:正则化强度。为浮点型数据。正则化系数λ的倒数,float类型,默认为1.0。必须是正浮点型数。像SVM一样,越小的数值表示越强的正则化。
参数max_iter:算法收敛最大迭代次数,int类型,默认为100。仅在正则化优化算法为newtoncg, sag和lbfgs才有用,算法收敛的最大迭代次数。
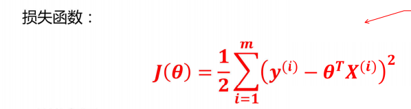
1)损失函数
逻辑回归使用最大似然估计来求解
其对应的损失函数为:
m:表示样本数量
y^(i):表示第i个样本的标签
2)正则化惩罚

就是在损失函数的基础上加了
7、交叉验证
在将数据进行标准化以及改变阈值后,得到的召回率不是很高时,我们就可以使用交叉验证,来得到一个最好的C的值

就是将要训练的数据按比例分割成n份,第一次训练1到n-1份,第二次训练1到n-2份加上第n份,一直按规律训练,一直到最后一次训练2到n份
使用cross_val_score可以进行这个操作
例如:
score=cross_val_score(lr,x_train,y_train,cv=10,scoring='recall')
代表正则化惩罚的基础上,训练将x_train,y_train分割成10份,求训练后召回率的平均值