
摘 要
随着高校社团活动的日益丰富,如何高效管理社团信息、活动及成员交流成为亟待解决的问题。本研究旨在通过开发一个大学生社团管理平台来满足社团成员、管理者、学校审核员和管理员等多角色需求,提升社团管理效率和服务质量。
平台基于Spring Boot框架开发,采用Java语言编写后端服务,并使用MySQL数据库存储数据,前端结合微信小程序提供便捷的移动端访问体验。系统实现了包括社团信息展示、活动发布与报名、经费管理、签到统计、资讯交流等功能模块。此外,还特别设计了针对不同用户角色的个性化界面和权限控制机制,确保信息的安全性和操作的便捷性。
大学生社团管理平台不仅提高了社团管理的效率,减少了沟通成本,而且促进了社团文化的发展和传承。对于社团成员而言,它提供了一个便捷的信息获取和交流平台;对于社团管理者和学校审核员来说,有助于实现对社团活动的有效监管和支持;而对于整个校园文化建设而言,这种创新的管理模式能够激发社团活力,增强学生参与感和归属感,具有重要的实践价值和现实意义。
****关键词:****大学生社团管理平台;Java语言;Spring Boot;微信小程序
Abstract
With the increasing abundance of club activities in colleges and universities, how to efficiently manage club information, activities and member exchanges has become an urgent problem to be solved. The purpose of this study is to develop a college student club management platform to meet the needs of club members, managers, school auditors and administrators, and improve the efficiency and service quality of club management.
The platform is developed based on the Spring Boot framework, uses Java language to write back-end services, uses MySQL database to store data, and combines the front-end with WeChat Mini Programs to provide a convenient mobile access experience. The system realizes functional modules including club information display, activity release and registration, fund management, sign-in statistics, information exchange and so on. In addition, personalized interfaces and permission control mechanisms for different user roles are specially designed to ensure the security of information and the convenience of operation.
The college student club management platform not only improves the efficiency of club management, reduces communication costs, but also promotes the development and inheritance of club culture. For community members, it provides a convenient platform for information access and exchange; For club managers and school auditors, it helps to achieve effective supervision and support of club activities; For the construction of the whole campus culture, this innovative management model can stimulate the vitality of the community, enhance the sense of participation and belonging of students, and has important practical value and practical significance.
Keywords: Management platform for college student associations; Java language; Spring Boot; WeChat Mini Program
目 录
[1.1 研究背景](#1.1 研究背景)
[1.2 选题目的和意义](#1.2 选题目的和意义)
[1.3 国内外研究现状](#1.3 国内外研究现状)
[1.4 论文组成结构](#1.4 论文组成结构)
[2.1 B/S体系结构](#2.1 B/S体系结构)
[2.2 Java语言简介](#2.2 Java语言简介)
[2.3 MySQL数据库介绍](#2.3 MySQL数据库介绍)
[2.4 Spring Boot框架](#2.4 Spring Boot框架)
[2.5 微信开发者工具](#2.5 微信开发者工具)
[3.1 可行性分析](#3.1 可行性分析)
[3.1.1 技术可行性](#3.1.1 技术可行性)
[3.1.2 经济可行性](#3.1.2 经济可行性)
[3.1.3 操作可行性](#3.1.3 操作可行性)
[3.2 功能需求分析](#3.2 功能需求分析)
[3.3 非功能性分析](#3.3 非功能性分析)
[3.4 系统用例分析](#3.4 系统用例分析)
[3.5 系统流程分析](#3.5 系统流程分析)
[3.5.2 登录流程](#3.5.2 登录流程)
[3.5.3 注册流程](#3.5.3 注册流程)
[4.1 系统架构设计](#4.1 系统架构设计)
[4.2 系统功能结构](#4.2 系统功能结构)
[4.3 数据库设计](#4.3 数据库设计)
[4.3.1 概念模型设计](#4.3.1 概念模型设计)
[4.3.2 逻辑结构设计](#4.3.2 逻辑结构设计)
[5.1 前台用户功能模块的实现](#5.1 前台用户功能模块的实现)
[5.1.1 前台首页模块](#5.1.1 前台首页模块)
[5.1.2 用户登录模块](#5.1.2 用户登录模块)
[5.1.3 交流平台模块](#5.1.3 交流平台模块)
[5.1.9 我的界面](#5.1.9 我的界面)
[5.2 后台功能模块的实现](#5.2 后台功能模块的实现)
[5.2.6 系统管理模块](#5.2.6 系统管理模块)
[5.2.7 资源管理模块](#5.2.7 资源管理模块)
[6.1 测试目的](#6.1 测试目的)
[6.2 测试用例](#6.2 测试用例)
[6.3 测试结果](#6.3 测试结果)
1绪论
1 .1 研究背景
在当前高等教育环境中,高校社团作为学生自我管理、自我服务和自我教育的重要平台,在促进学生综合素质发展方面发挥着重要作用。然而,随着社团数量的增加和活动类型的多样化,传统的社团管理模式逐渐显现出效率低下、信息不透明、沟通成本高等问题。许多高校的社团管理工作仍依赖于手工记录和线下沟通,缺乏有效的信息化工具来支持日常运作和管理需求。此外,社团成员之间以及成员与管理者之间的互动也受到限制,难以满足现代大学生对于便捷、快速交流方式的需求。
基于上述背景,本研究聚焦于开发一个集成了社团信息管理、活动组织、经费管理和成员交流等功能于一体的大学生社团管理平台。通过利用Spring Boot、Java、MySQL等现代信息技术手段,并结合微信小程序实现移动端便捷访问,旨在解决现有社团管理过程中存在的信息化程度不高、沟通不便等问题,为社团成员及管理者提供一个高效、便捷的管理和服务平台。此选题不仅回应了高校社团管理的实际需要,同时也顺应了教育信息化的发展趋势。
1 .2 选题目的和意义
本研究的主要目的在于通过开发一个基于Spring Boot框架、采用Java语言和MySQL数据库支持,并结合微信小程序使用的大学生社团管理平台,实现对社团信息、活动、成员交流以及经费等方面的高效管理。该平台旨在为社团成员、管理者、学校审核员及管理员提供一套全面的工具集,以提高社团管理的效率和透明度,同时增强社团成员之间的互动与参与感,进而解决传统社团管理模式中存在的沟通不畅、信息处理效率低下等问题。
本研究的意义在于通过信息化手段革新高校社团管理模式,不仅能够显著提升社团管理工作的效率和服务质量,还能促进社团文化的繁荣发展。对于社团成员而言,这个平台提供了便捷的信息获取途径和交流空间,有助于增强成员间的联系和归属感;对于社团管理者和学校来说,它提供了有效的监管和支持工具,有利于资源的优化配置和合理使用。此外,这种新型管理模式的实施还能够激发社团活力,丰富校园文化生活,推动教育信息化向更深层次发展,具有重要的实践价值和社会效益。
1 .3 国内外研究现状
在国内,随着信息技术的普及和高校社团活动的日益活跃,针对大学生社团管理系统的开发与应用逐渐受到关注。早期的研究多集中在理论探讨层面,如社团组织结构优化、管理模式创新等。近年来,随着互联网技术的发展,越来越多的研究开始转向实际应用,特别是基于Web和移动平台的社团管理系统的设计与实现。这些系统大多集成了活动发布、成员管理、在线报名等功能,部分先进系统还结合了大数据分析,为社团发展提供决策支持。然而,尽管取得了一定成果,国内在社团管理系统方面的研究仍存在一定的局限性,例如系统功能单一、用户体验不佳等问题仍有待解决。
在国外,对高校社团管理的研究起步较早,且涵盖了从理论框架到具体实施的广泛领域。初期研究主要关注社团的作用及其对学生个人发展的贡献,并逐步扩展至社团管理的有效策略和技术手段。进入21世纪后,随着社交网络和移动应用的兴起,国外学者和实践者开始探索如何利用这些新兴技术提升社团管理效率和服务质量。一些先进的国外大学已经部署了高度定制化的社团管理平台,这些平台不仅支持基本的管理功能,还融合了社交媒体元素,增强了用户互动性和参与感。此外,国外研究还特别强调数据隐私保护和跨文化交流的重要性,这为国内研究提供了宝贵的经验借鉴。不过,由于国内外教育体系和社会文化的差异,国外的一些成功案例在国内的应用需要进行适当的调整和本地化处理。
1 . 4 论文组成结构
本文共分为七章,章节内容安排如下:
第一章:引言。主要介绍了课题研究的背景意义,国内外目前相关研究现状以及本文的论文结构。
第二章:相关技术介绍。主要对本系统使用的相关技术和开发工具进行介绍。
第三章:系统需求分析。主要从系统的用户、功能等方面进行需求分析。
第四章:系统概要设计。主要对系统框架、系统功能模块、数据库进行功能设计。
第五章:系统实现。主要介绍了系统框架搭建、系统界面的实现。
第六章:系统测试。主要对系统的部分界面进行测试并对主要功能进行测试
第七章:总结与展望。
2开发工具及相关技术介绍
2.1 B/S体系结构
B/S体系,即Browser/Server体系[1],是一种常见的网络应用程序架构。其工作原理基于客户端与服务器之间的请求-响应模型。用户通过浏览器向服务器发送请求,服务器接收到请求后进行处理,并生成相应的响应结果,最终将响应返回给客户端。浏览器接收到服务器返回的响应后,解析其中的标记语言(如HTML),并根据CSS样式表和JavaScript脚本来渲染页面,呈现给用户。用户可以与页面进行交互,例如点击链接、填写表单等操作,这些操作会触发新的请求,循环执行上述过程。
2.2 Java语言简介
Java是一种跨平台的高级编程语言[2],具有广泛应用于各个领域的优势。它拥有简单易学、可靠稳定、安全性强和良好的性能等特点。在大学生社团管理平台中,Java将作为主要的后端编程语言来实现系统的核心功能。通过使用Java,我们可以实现数据的处理、业务逻辑的编写以及与前端界面的交互。同时,Java还提供了丰富的类库和开发工具,方便开发人员进行系统设计和开发[3]。
2.3 MySQL数据库介绍
MySQL[4]是一种流行的开源关系型数据库管理系统,被广泛应用于Web应用程序的数据存储和管理。它具有高性能、稳定可靠和良好的扩展性。在大学生社团管理平台中,MySQL数据库将用于存储和管理模块信息、用户信息等相关数据。通过使用SQL语言进行数据操作和查询,我们可以实现对数据的增删改查操作,并保证数据的一致性和完整性[5]。
2.4 Spring Boot 框架
Spring Boot框架[6]是一个强大且灵活的Java开发框架,它以简化Spring应用开发为目标,通过自动配置、内嵌容器等特性,显著降低了项目的配置和部署难度。在大学生社团管理平台开发中,Spring Boot框架的应用显得尤为重要。它不仅能够快速构建出稳定可靠的应用系统,还提供了丰富的功能组件和扩展接口,方便开发者根据实际需求进行定制和优化。此外,Spring Boot还具备出色的性能和扩展性,能够应对大规模并发请求和复杂业务场景。因此,在大学生社团管理平台的开发中,选择Spring Boot框架[7]不仅能够提升开发效率,还能够为系统的稳定运行和持续发展提供有力保障。
2 . 5 微信开发者工具
作为一款专门为小程序度身定制、持续改进、提供便利操作的软件,微信开发者可以扫描二维码进行访问,从而达到小程序快速开发、调试的目的。针对用户的具体需求,我们有能力开发出各种屏幕尺寸的微型应用。在视图布局结束之后,可以利用编辑功能快速地对当前视图界面进行调整[8]。
开发者工具为控制台提供了功能,以便于进行调试,并将信息输出。编码上传到腾讯服务器时,需要填写版本号、备注信息等核对,以保证编码的安全性与准确性。查看资源文件可快速对项目文件目录进行调整并进行断点调试。远程调试技术可以很容易地开发到手机,PC端的应用。当地数据存储功能可以显示区域内信息。采用子父层级布局,可以让视图的调试更加方便。微信小程序代码体积要控制在2M范围内,在开发过程中需要对合法域名信息及服务器域名进行严格把关。微信开发者工具已经成为开发中不可缺少的组成部分,并且正在不断改进与完善,对小程序开发起到方便与支持作用。
3系统分析
3 .1 可行性分析
通过综合考虑技术、经济和操作等因素,可以对大学生社团管理平台的可行性进行全面评估。这将有助于确定项目的成功概率,并为项目规划提供坚实的基础。
3.1.1 技术可行性
在技术可行性方面,本系统采用Spring Boot后端框架和微信小程序前端技术,结合MySQL数据库及Redis缓存,技术栈成熟稳定。微信小程序开发成本低、用户覆盖广,能够满足多角色功能需求。同时,系统的模块化设计便于后期维护与扩展,确保技术实现的高效性和可靠性。
3.1.2 经济可行性
在经济可行性方面,系统基于开源技术和低成本开发工具,减少了初期投入。微信小程序无需独立App开发,降低了推广和运维成本。此外,通过广告体系吸引用户,可提升平台活跃度并创造潜在商业价值,为大学生社团管理提供可持续运营的经济模式。
3.1.3 操作可行性
在操作可行性方面,系统界面简洁直观,功能划分清晰,用户可通过微信直接访问,操作便捷。多角色权限管理明确,任务流程标准化,便于用户及管理员快速上手。同时,实时沟通与评价机制进一步提升了用户体验,确保系统在实际应用中的高效运行。
3 .2 功能 需求分析
本大学生社团管理平台旨在通过信息化手段提升高校社团的管理效率和服务质量,满足社团成员、社团管理者、学校审核员和管理员的不同需求。平台提供了包括社团信息展示、活动组织与报名、经费管理、资讯交流等核心功能,并支持微信小程序端访问,确保用户能够随时随地获取所需信息、参与互动。具体功能描述如下:
- 社团成员功能模块:
首页:展示社团基本信息、最新活动和风采,方便成员快速了解社团动态;提供加入或退出社团的入口。
交流平台:允许成员在论坛中发布话题、分享经验,促进成员间的交流;支持点赞、评论等功能,增强互动性。
社团资讯:为社团成员提供了一个获取最新社团新闻、活动通知及重要公告的平台,确保信息传递的及时性和透明度。
我的:社团成员可在"我的"模块中查看和修改个人信息,管理收藏、加入社团、退出社团、社团经费、活动报名、签到信息、活动请假、活动参与、论坛管理。
- 社团管理者功能模块:
首页:展示社团详情及活动安排,帮助管理者掌握社团情况;提供社团风采展示,增强社团吸引力。
交流平台:监督并参与论坛讨论,维护社区秩序;利用数据分析工具,优化管理策略。
社团资讯:展示最新社团新闻、活动通知及重要公告,方便社团管理者及时获取信息。
我的:管理基本信息和收藏夹,查看统计图表;管理活动分类、社团信息、加入社团、退出社团、社团经费、社团活动、活动报名、签到信息、活动请假、活动参与、社团风采等信息更新,确保信息准确性。
- 学校审核员功能模块:
首页:浏览各社团的信息及活动,进行初步了解;重点关注社团风采展示,评估社团文化。
交流平台:监控社团间的交流,确保言论符合规范;定期审查,预防潜在风险。
社团资讯:查看最新社团新闻、活动通知及重要公告,方便审核员作出决策。
我的:管理个人信息和收藏夹,查看社团分类及活动详情,进行合规性检查;基于统计数据,提出改进建议。
- 管理员功能模块:
后台首页:汇总并展示社团经费和活动的统计数据,为管理员提供直观的概览以辅助决策;通过图表等形式呈现关键指标的变化趋势,帮助识别潜在问题。
系统用户:管理平台内所有用户的账号信息及权限设置,确保系统的安全性与合规性;处理用户的反馈和请求,提升用户体验和服务满意度。
活动分类管理:创建和维护不同类型的活动分类,便于活动的组织和查找;根据实际需要调整分类标准,适应社团发展的新需求。
社团分类管理:定义和更新社团的分类体系,方便管理和检索;支持按类别统计分析社团发展状况,为资源分配提供依据。
社团信息管理:负责审核和更新社团的基本信息,保证数据的真实性和准确性;对新申请成立的社团进行审批,确保社团质量。
加入社团管理:监控和处理学生加入社团的申请,维持成员流动的有序性;记录加入社团的历史数据,用于后续分析。
退出社团管理:管理成员退出社团的相关事务,包括审核和记录退出原因;定期清理不活跃成员,保持社团活力。
社团经费管理:跟踪和管理各社团的经费使用情况,确保财务透明;审批预算和报销申请,合理控制资金流向。
社团活动管理:协助策划、组织社团活动,确保活动顺利开展;监督活动执行情况,评估活动效果。
活动报名管理:处理活动参与者报名事宜,确认参与资格;维护报名名单及相关信息,便于活动组织。
签到信息管理:记录和核实活动参与者的签到情况,确保出勤记录准确;分析签到数据,评估活动的实际参与度。
活动请假管理:接受并审核成员的活动请假请求,保障出勤率;记录请假详情,作为考勤依据。
活动参与管理:追踪成员参与活动的情况,统计参与度;分析参与数据,优化活动安排。
社团风采管理:审核发布社团风采内容,展现社团文化;鼓励优秀案例分享,促进社团间的学习交流。
系统管理:轮播图管理模块允许管理员上传、编辑和删除平台首页展示的轮播图片,以动态展示重要信息或活动预告。
公告信息管理:在公告信息管理模块中,管理员能够发布、更新或撤销面向全体用户的公告通知,确保所有成员及时接收到重要消息。
资源管理:资源管理模块中的社团资讯部分让管理员可以直接管理和发布社团相关新闻、活动信息等,保证信息的准确性和时效性。资讯分类功能则帮助管理员根据内容属性对资讯进行分类整理,使用户能快速找到感兴趣的信息。
交流管理:交流管理模块为管理员提供了监控和管理用户在平台上的交流互动的功能,包括论坛帖子的审核与管理,维护良好的社区环境。
3 . 3 非功能性 分析
非功能性分析旨在评估大学生社团管理平台的非功能需求和性能要求。通过对性能、可靠性、安全性、可用性和扩展性等方面进行评估,确保系统能够满足用户和系统运行的要求。具体如下3-1表格:
表3-1大学生社团管理平台非功能需求表
|----------------|-------------------------------------|
| 非功能性要求 | 说明 |
| 性能 | 评估响应时间、并发用户数、吞吐量等指标,以确保系统稳定高效地运行。 |
| 可靠性 | 评估系统的稳定性、容错能力和数据完整性,保障系统在故障情况下正常运行。 |
| 安全性 | 评估用户身份认证、数据加密和访问控制等,保护用户信息和交易的安全。 |
| 可用性 | 评估系统的稳定性、故障处理能力和用户界面友好性,提供良好的用户体验。 |
| 扩展性 | 评估系统的可扩展性和灵活性,以便根据需求进行功能扩展和升级。 |
3 . 4 系统用例 分析
系统用例分析是对大学生社团管理平台中各个功能模块的用户需求和行为进行分析,以识别和描述不同的用户用例。通过系统用例分析,可以深入了解用户在系统上的操作流程和交互方式,为系统设计和开发提供指导,并确保系统能够满足用户的需求和期望。
社团成员角色用例如图3-1所示。

图3-1 社团成员用例图
社团管理者角色用例如图3-2所示。

图3-2 社团管理者用例图
学校审核员角色用例如图3-3所示。

图3-3 学校审核员用例图
管理员用例图如图3-4所示。

图3-4 管理员用例图
3 . 5 系统流程分析
3.5.1程序操作流程
用户访问平台网站,可以选择进行注册或登录操作。注册成功后,用户可以使用注册的账号登录平台。登录后的用户可以进入系统功能界面,使用自己权限内的功能操作。程序操作流程图如下图所示。

图3-5 程序操作流程图
3.5.2 登录流程
用户访问平台的网站,进入登录页面页面,输入其用户名和密码,后端服务接收登录请求,验证用户提供的用户名和密码是否匹配数据库中存储的信息,验证通过即可登录成功。登录流程图如下图所示。

图3-6 登录流程图
3.5.3 注册流程
未有账号的用户可进入注册界面进行注册操作,填写注册表格,包括用户名、密码、电子邮件等必要信息。后台系统验证并保存用户提交的信息。分配唯一用户标识符。注册成功后,用户可以使用账号密码进行登录。用户注册流程图如下图所示。

图3-7 注册流程图
4系统设计
4 .1 系统架构设计
从技术角度来看,大学生社团管理平台的架构设计至关重要。我们将采用MVC架构,包括表现层、业务逻辑层和数据访问层。表现层负责用户界面展示,业务逻辑层处理核心功能逻辑,数据访问层负责数据库交互。通过三层架构模式,确保系统的可靠性和可扩展性。
系统架构图如图4-1所示。

图4-1 系统架构图
4 .2 系统功能结构
系统在结构上的设计至关重要,要考虑周全,设计全面,一个完善的结构体系,能够满足用户在使用时的各种需求,这样会让提高程序的使用率,保证程序被长久的利用。在设计大学生社团管理平台的结构时,也列入重点,采用模块化的方法来进行设计,即首先将大模块确定下来,再慢慢的将大模块进行补充完善,向下分支出小模块,一起共同组成的系统的结构体系,下图是本大学生社团管理平台的结构设计图,直观明了的可以看出本项目程序的功能。
系统的功能结构图如下所示。

图4-2 系统功能结构图
4 . 3 数据库设计
一个优秀的系统必须具备完善的后台数据库,就像建筑物一样,它不是一蹴而就的,而是需要经过精心设计,以确保其稳固可靠。只有将数据库设计得完善,并且考虑到各个方面,才能保证系统的可靠性,避免出现任何问题。
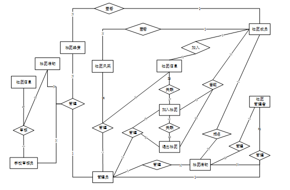
4.3.1 概念模型设计
数据库概念结构设计主要涉及数据库的实体和实体之间的关系。通过实体-关系模型或者其他适当的模型,我们将定义系统中涉及的各个实体属性以及它们之间的联系。

图4-3 系统E-R图
4.3.2 逻辑结构设计
数据库逻辑结构就是将 E-R 图在数据库中用具体的字段进行描述。用字段和数据类型描述来使对象特征实体化,最后形成具有一定逻辑关系的数据库表结构。大学生社团管理平台所需要的部分数据结构表如下表所示。
表 4-1-access_token(登陆访问时长)
|----|-------------|-----------|-------|------|------|------------|
| 编号 | 字段名 | 类型 | 长度 | 是否非空 | 是否主键 | 注释 |
| 1 | token_id | int | | 是 | 是 | 临时访问牌ID |
| 2 | token | varchar | 64 | 否 | 否 | 临时访问牌 |
| 3 | info | text | 65535 | 否 | 否 | 信息 |
| 4 | maxage | int | | 是 | 否 | 最大寿命:默认2小时 |
| 5 | create_time | timestamp | | 是 | 否 | 创建时间 |
| 6 | update_time | timestamp | | 是 | 否 | 更新时间 |
| 7 | user_id | int | | 是 | 否 | 用户编号 |
表 4-2-activity_classification(活动分类)
|----|----------------------------|-----------|----|------|------|--------|
| 编号 | 字段名 | 类型 | 长度 | 是否非空 | 是否主键 | 注释 |
| 1 | activity_classification_id | int | | 是 | 是 | 活动分类ID |
| 2 | club_users | int | | 否 | 否 | 社团用户 |
| 3 | activity_type | varchar | 64 | 否 | 否 | 活动类型 |
| 4 | create_time | datetime | | 是 | 否 | 创建时间 |
| 5 | update_time | timestamp | | 是 | 否 | 更新时间 |
表 4-3-activity_leave(活动请假)
|----|-------------------|-----------|-------|------|------|--------|
| 编号 | 字段名 | 类型 | 长度 | 是否非空 | 是否主键 | 注释 |
| 1 | activity_leave_id | int | | 是 | 是 | 活动请假ID |
| 2 | club_users | int | | 否 | 否 | 社团用户 |
| 3 | school_users | int | | 否 | 否 | 学校用户 |
| 4 | activity_number | varchar | 64 | 否 | 否 | 活动编号 |
| 5 | event_name | varchar | 64 | 否 | 否 | 活动名称 |
| 6 | activity_type | varchar | 64 | 否 | 否 | 活动类型 |
| 7 | activity_time | varchar | 64 | 否 | 否 | 活动时间 |
| 8 | member_users | int | | 否 | 否 | 社员用户 |
| 9 | member_names | varchar | 64 | 否 | 否 | 成员姓名 |
| 10 | registration_date | date | | 否 | 否 | 报名日期 |
| 11 | leave_time | datetime | | 否 | 否 | 请假时间 |
| 12 | leave_type | varchar | 64 | 否 | 否 | 请假类型 |
| 13 | reason_for_leave | text | 65535 | 否 | 否 | 请假原因 |
| 14 | examine_state | varchar | 16 | 是 | 否 | 审核状态 |
| 15 | examine_reply | varchar | 16 | 否 | 否 | 审核回复 |
| 16 | create_time | datetime | | 是 | 否 | 创建时间 |
| 17 | update_time | timestamp | | 是 | 否 | 更新时间 |
| 18 | source_table | varchar | 255 | 否 | 否 | 来源表 |
| 19 | source_id | int | | 否 | 否 | 来源ID |
| 20 | source_user_id | int | | 否 | 否 | 来源用户 |
表 4-4-activity_participation(活动参与)
|----|---------------------------|-----------|-------|------|------|--------|
| 编号 | 字段名 | 类型 | 长度 | 是否非空 | 是否主键 | 注释 |
| 1 | activity_participation_id | int | | 是 | 是 | 活动参与ID |
| 2 | club_users | int | | 否 | 否 | 社团用户 |
| 3 | school_users | int | | 否 | 否 | 学校用户 |
| 4 | activity_number | varchar | 64 | 是 | 是 | 活动编号 |
| 5 | event_name | varchar | 64 | 否 | 否 | 活动名称 |
| 6 | activity_type | varchar | 64 | 否 | 否 | 活动类型 |
| 7 | activity_time | varchar | 64 | 否 | 否 | 活动时间 |
| 8 | member_users | int | | 否 | 否 | 社员用户 |
| 9 | member_names | varchar | 64 | 否 | 否 | 成员姓名 |
| 10 | participation_status | varchar | 64 | 否 | 否 | 参与状态 |
| 11 | participation_content | text | 65535 | 否 | 否 | 参与内容 |
| 12 | create_time | datetime | | 是 | 否 | 创建时间 |
| 13 | update_time | timestamp | | 是 | 否 | 更新时间 |
| 14 | source_table | varchar | 255 | 否 | 否 | 来源表 |
| 15 | source_id | int | | 否 | 否 | 来源ID |
| 16 | source_user_id | int | | 否 | 否 | 来源用户 |
表 4-5-article(文章)
|----|-------------|-----------|------------|------|------|------|
| 编号 | 字段名 | 类型 | 长度 | 是否非空 | 是否主键 | 注释 |
| 1 | article_id | mediumint | | 是 | 是 | 文章id |
| 2 | title | varchar | 125 | 是 | 是 | 标题 |
| 3 | type | varchar | 64 | 是 | 否 | 文章分类 |
| 4 | hits | int | | 是 | 否 | 点击数 |
| 5 | praise_len | int | | 是 | 否 | 点赞数 |
| 6 | create_time | timestamp | | 是 | 否 | 创建时间 |
| 7 | update_time | timestamp | | 是 | 否 | 更新时间 |
| 8 | source | varchar | 255 | 否 | 否 | 来源 |
| 9 | url | varchar | 255 | 否 | 否 | 来源地址 |
| 10 | tag | varchar | 255 | 否 | 否 | 标签 |
| 11 | content | longtext | 4294967295 | 否 | 否 | 正文 |
| 12 | img | varchar | 255 | 否 | 否 | 封面图 |
| 13 | description | text | 65535 | 否 | 否 | 文章描述 |
表 4-6-article_type(文章分类)
|----|-------------|-----------|-------|------|------|--------|
| 编号 | 字段名 | 类型 | 长度 | 是否非空 | 是否主键 | 注释 |
| 1 | type_id | smallint | | 是 | 是 | 分类ID |
| 2 | display | smallint | | 是 | 否 | 显示顺序 |
| 3 | name | varchar | 16 | 是 | 否 | 分类名称 |
| 4 | father_id | smallint | | 是 | 否 | 上级分类ID |
| 5 | description | varchar | 255 | 否 | 否 | 描述 |
| 6 | icon | text | 65535 | 否 | 否 | 分类图标 |
| 7 | url | varchar | 255 | 否 | 否 | 外链地址 |
| 8 | create_time | timestamp | | 是 | 否 | 创建时间 |
| 9 | update_time | timestamp | | 是 | 否 | 更新时间 |
表 4-7-auth(用户权限管理)
|----|----------------|-----------|-------|------|------|--------|
| 编号 | 字段名 | 类型 | 长度 | 是否非空 | 是否主键 | 注释 |
| 1 | auth_id | int | | 是 | 是 | 授权ID |
| 2 | user_group | varchar | 64 | 否 | 否 | 用户组 |
| 3 | mod_name | varchar | 64 | 否 | 否 | 模块名 |
| 4 | table_name | varchar | 64 | 否 | 否 | 表名 |
| 5 | page_title | varchar | 255 | 否 | 否 | 页面标题 |
| 6 | path | varchar | 255 | 否 | 否 | 路由路径 |
| 7 | parent | varchar | 64 | 否 | 否 | 父级菜单 |
| 8 | parent_sort | int | | 是 | 否 | 父级菜单排序 |
| 9 | position | varchar | 32 | 否 | 否 | 位置 |
| 10 | mode | varchar | 32 | 是 | 否 | 跳转方式 |
| 11 | add | tinyint | | 是 | 否 | 是否可增加 |
| 12 | del | tinyint | | 是 | 否 | 是否可删除 |
| 13 | set | tinyint | | 是 | 否 | 是否可修改 |
| 14 | get | tinyint | | 是 | 否 | 是否可查看 |
| 15 | field_add | text | 65535 | 否 | 否 | 添加字段 |
| 16 | field_set | text | 65535 | 否 | 否 | 修改字段 |
| 17 | field_get | text | 65535 | 否 | 否 | 查询字段 |
| 18 | table_nav_name | varchar | 500 | 否 | 否 | 跨表导航名称 |
| 19 | table_nav | varchar | 500 | 否 | 否 | 跨表导航 |
| 20 | option | text | 65535 | 否 | 否 | 配置 |
| 21 | create_time | timestamp | | 是 | 否 | 创建时间 |
| 22 | update_time | timestamp | | 是 | 否 | 更新时间 |
表 4-8-classification_of_clubs(社团分类)
|----|----------------------------|-----------|----|------|------|--------|
| 编号 | 字段名 | 类型 | 长度 | 是否非空 | 是否主键 | 注释 |
| 1 | classification_of_clubs_id | int | | 是 | 是 | 社团分类ID |
| 2 | school_users | int | | 否 | 否 | 学校用户 |
| 3 | type_of_club | varchar | 64 | 否 | 否 | 社团类型 |
| 4 | create_time | datetime | | 是 | 否 | 创建时间 |
| 5 | update_time | timestamp | | 是 | 否 | 更新时间 |
表 4-9-club_activities(社团活动)
|----|--------------------------------|-----------|-------|------|------|--------|
| 编号 | 字段名 | 类型 | 长度 | 是否非空 | 是否主键 | 注释 |
| 1 | club_activities_id | int | | 是 | 是 | 社团活动ID |
| 2 | club_users | int | | 否 | 否 | 社团用户 |
| 3 | school_users | int | | 否 | 否 | 学校用户 |
| 4 | activity_number | varchar | 64 | 否 | 否 | 活动编号 |
| 5 | event_name | varchar | 64 | 否 | 否 | 活动名称 |
| 6 | activity_type | varchar | 64 | 否 | 否 | 活动类型 |
| 7 | activity_time | varchar | 64 | 否 | 否 | 活动时间 |
| 8 | activity_pictures | varchar | 255 | 否 | 否 | 活动图片 |
| 9 | activity_target | varchar | 64 | 否 | 否 | 活动对象 |
| 10 | activity_duration | varchar | 64 | 否 | 否 | 活动时长 |
| 11 | activity_introduction | text | 65535 | 否 | 否 | 活动介绍 |
| 12 | activity_content | text | 65535 | 否 | 否 | 活动内容 |
| 13 | event_details | text | 65535 | 否 | 否 | 活动详情 |
| 14 | hits | int | | 是 | 否 | 点击数 |
| 15 | praise_len | int | | 是 | 否 | 点赞数 |
| 16 | collect_len | int | | 是 | 否 | 收藏数 |
| 17 | comment_len | int | | 是 | 否 | 评论数 |
| 18 | examine_state | varchar | 16 | 是 | 否 | 审核状态 |
| 19 | event_registration_limit_times | int | | 是 | 否 | 报名限制次数 |
| 20 | create_time | datetime | | 是 | 否 | 创建时间 |
| 21 | update_time | timestamp | | 是 | 否 | 更新时间 |
表 4-10-club_funding(社团经费)
|----|-------------------|-----------|-------|------|------|--------|
| 编号 | 字段名 | 类型 | 长度 | 是否非空 | 是否主键 | 注释 |
| 1 | club_funding_id | int | | 是 | 是 | 社团经费ID |
| 2 | club_users | int | | 否 | 否 | 社团用户 |
| 3 | school_users | int | | 否 | 否 | 学校用户 |
| 4 | club_no | varchar | 64 | 否 | 否 | 社团编号 |
| 5 | club_name | varchar | 64 | 否 | 否 | 社团名称 |
| 6 | type_of_club | varchar | 64 | 否 | 否 | 社团类型 |
| 7 | presidents_name | varchar | 64 | 否 | 否 | 社长姓名 |
| 8 | member_users | int | | 否 | 否 | 社员用户 |
| 9 | member_names | varchar | 64 | 否 | 否 | 成员姓名 |
| 10 | funding_title | varchar | 64 | 否 | 否 | 经费标题 |
| 11 | funding_amount | double | | 否 | 否 | 经费金额 |
| 12 | statistical_cycle | varchar | 64 | 否 | 否 | 统计周期 |
| 13 | funding_details | text | 65535 | 否 | 否 | 经费明细 |
| 14 | create_time | datetime | | 是 | 否 | 创建时间 |
| 15 | update_time | timestamp | | 是 | 否 | 更新时间 |
| 16 | source_table | varchar | 255 | 否 | 否 | 来源表 |
| 17 | source_id | int | | 否 | 否 | 来源ID |
| 18 | source_user_id | int | | 否 | 否 | 来源用户 |
表 4-11-club_information(社团信息)
|----|-------------------------------|-----------|-------|------|------|----------|
| 编号 | 字段名 | 类型 | 长度 | 是否非空 | 是否主键 | 注释 |
| 1 | club_information_id | int | | 是 | 是 | 社团信息ID |
| 2 | club_users | int | | 否 | 否 | 社团用户 |
| 3 | school_users | int | | 否 | 否 | 学校用户 |
| 4 | club_no | varchar | 64 | 否 | 否 | 社团编号 |
| 5 | club_name | varchar | 64 | 否 | 否 | 社团名称 |
| 6 | type_of_club | varchar | 64 | 否 | 否 | 社团类型 |
| 7 | presidents_name | varchar | 64 | 否 | 否 | 社长姓名 |
| 8 | number_of_members_in_the_club | double | | 否 | 否 | 社团人数 |
| 9 | date_of_incorporation | date | | 否 | 否 | 成立日期 |
| 10 | club_cover | varchar | 255 | 否 | 否 | 社团封面 |
| 11 | club_introduction | text | 65535 | 否 | 否 | 社团介绍 |
| 12 | club_details | text | 65535 | 否 | 否 | 社团详情 |
| 13 | hits | int | | 是 | 否 | 点击数 |
| 14 | praise_len | int | | 是 | 否 | 点赞数 |
| 15 | collect_len | int | | 是 | 否 | 收藏数 |
| 16 | comment_len | int | | 是 | 否 | 评论数 |
| 17 | examine_state | varchar | 16 | 是 | 否 | 审核状态 |
| 18 | join_a_club_limit_times | int | | 是 | 否 | 加入社团限制次数 |
| 19 | create_time | datetime | | 是 | 否 | 创建时间 |
| 20 | update_time | timestamp | | 是 | 否 | 更新时间 |
表 4-12-club_manager(社团管理者)
|----|-----------------|-----------|----|------|------|---------|
| 编号 | 字段名 | 类型 | 长度 | 是否非空 | 是否主键 | 注释 |
| 1 | club_manager_id | int | | 是 | 是 | 社团管理者ID |
| 2 | name_of_manager | varchar | 64 | 否 | 否 | 管理者姓名 |
| 3 | manager_gender | varchar | 64 | 否 | 否 | 管理者性别 |
| 4 | examine_state | varchar | 16 | 是 | 否 | 审核状态 |
| 5 | user_id | int | | 是 | 否 | 用户ID |
| 6 | create_time | datetime | | 是 | 否 | 创建时间 |
| 7 | update_time | timestamp | | 是 | 否 | 更新时间 |
表 4-13-club_members(社团成员)
|----|-------------------|-----------|----|------|------|--------|
| 编号 | 字段名 | 类型 | 长度 | 是否非空 | 是否主键 | 注释 |
| 1 | club_members_id | int | | 是 | 是 | 社团成员ID |
| 2 | member_names | varchar | 64 | 否 | 否 | 成员姓名 |
| 3 | gender_of_members | varchar | 64 | 否 | 否 | 成员性别 |
| 4 | examine_state | varchar | 16 | 是 | 否 | 审核状态 |
| 5 | user_id | int | | 是 | 否 | 用户ID |
| 6 | create_time | datetime | | 是 | 否 | 创建时间 |
| 7 | update_time | timestamp | | 是 | 否 | 更新时间 |
表 4-14-club_style(社团风采)
|----|-----------------|-----------|-------|------|------|--------|
| 编号 | 字段名 | 类型 | 长度 | 是否非空 | 是否主键 | 注释 |
| 1 | club_style_id | int | | 是 | 是 | 社团风采ID |
| 2 | club_users | int | | 否 | 否 | 社团用户 |
| 3 | school_users | int | | 否 | 否 | 学校用户 |
| 4 | club_no | varchar | 64 | 否 | 否 | 社团编号 |
| 5 | club_name | varchar | 64 | 否 | 否 | 社团名称 |
| 6 | style_title | varchar | 64 | 否 | 否 | 风采标题 |
| 7 | style_type | varchar | 64 | 否 | 否 | 风采类型 |
| 8 | release_date | date | | 否 | 否 | 发布日期 |
| 9 | elegant_image | varchar | 255 | 否 | 否 | 风采图片 |
| 10 | elegant_content | text | 65535 | 否 | 否 | 风采内容 |
| 11 | style_details | text | 65535 | 否 | 否 | 风采详情 |
| 12 | hits | int | | 是 | 否 | 点击数 |
| 13 | praise_len | int | | 是 | 否 | 点赞数 |
| 14 | collect_len | int | | 是 | 否 | 收藏数 |
| 15 | comment_len | int | | 是 | 否 | 评论数 |
| 16 | examine_state | varchar | 16 | 是 | 否 | 审核状态 |
| 17 | create_time | datetime | | 是 | 否 | 创建时间 |
| 18 | update_time | timestamp | | 是 | 否 | 更新时间 |
表 4-15-code_token(验证码)
|----|---------------|-----------|-----|------|------|-------|
| 编号 | 字段名 | 类型 | 长度 | 是否非空 | 是否主键 | 注释 |
| 1 | code_token_id | int | | 是 | 是 | 验证码ID |
| 2 | token | varchar | 255 | 否 | 否 | 令牌 |
| 3 | code | varchar | 255 | 否 | 否 | 验证码 |
| 4 | expire_time | timestamp | | 是 | 否 | 失效时间 |
| 5 | create_time | timestamp | | 是 | 否 | 创建时间 |
| 6 | update_time | timestamp | | 是 | 否 | 更新时间 |
表 4-16-collect(收藏)
|----|--------------|-----------|-----|------|------|-------|
| 编号 | 字段名 | 类型 | 长度 | 是否非空 | 是否主键 | 注释 |
| 1 | collect_id | int | | 是 | 是 | 收藏ID |
| 2 | user_id | int | | 是 | 是 | 收藏人ID |
| 3 | source_table | varchar | 255 | 否 | 否 | 来源表 |
| 4 | source_field | varchar | 255 | 否 | 否 | 来源字段 |
| 5 | source_id | int | | 是 | 否 | 来源ID |
| 6 | title | varchar | 255 | 否 | 否 | 标题 |
| 7 | img | varchar | 255 | 否 | 否 | 封面 |
| 8 | create_time | timestamp | | 是 | 否 | 创建时间 |
| 9 | update_time | timestamp | | 是 | 否 | 更新时间 |
表 4-17-comment(评论)
|----|--------------|-----------|------------|------|------|--------|
| 编号 | 字段名 | 类型 | 长度 | 是否非空 | 是否主键 | 注释 |
| 1 | comment_id | int | | 是 | 是 | 评论ID |
| 2 | user_id | int | | 是 | 是 | 评论人ID |
| 3 | reply_to_id | int | | 是 | 否 | 回复评论ID |
| 4 | content | longtext | 4294967295 | 否 | 否 | 内容 |
| 5 | nickname | varchar | 255 | 否 | 否 | 昵称 |
| 6 | avatar | varchar | 255 | 否 | 否 | 头像地址 |
| 7 | create_time | timestamp | | 是 | 否 | 创建时间 |
| 8 | update_time | timestamp | | 是 | 否 | 更新时间 |
| 9 | source_table | varchar | 255 | 否 | 否 | 来源表 |
| 10 | source_field | varchar | 255 | 否 | 否 | 来源字段 |
| 11 | source_id | int | | 是 | 否 | 来源ID |
表 4-18-event_registration(活动报名)
|----|------------------------------------|-----------|-------|------|------|----------|
| 编号 | 字段名 | 类型 | 长度 | 是否非空 | 是否主键 | 注释 |
| 1 | event_registration_id | int | | 是 | 是 | 活动报名ID |
| 2 | club_users | int | | 否 | 否 | 社团用户 |
| 3 | school_users | int | | 否 | 否 | 学校用户 |
| 4 | activity_number | varchar | 64 | 是 | 是 | 活动编号 |
| 5 | event_name | varchar | 64 | 否 | 否 | 活动名称 |
| 6 | activity_type | varchar | 64 | 否 | 否 | 活动类型 |
| 7 | activity_time | varchar | 64 | 否 | 否 | 活动时间 |
| 8 | member_users | int | | 否 | 否 | 社员用户 |
| 9 | member_names | varchar | 64 | 否 | 否 | 成员姓名 |
| 10 | registration_date | date | | 否 | 否 | 报名日期 |
| 11 | number_of_participants | varchar | 64 | 是 | 否 | 参与人次 |
| 12 | reason_for_registration | text | 65535 | 否 | 否 | 报名原因 |
| 13 | examine_state | varchar | 16 | 是 | 否 | 审核状态 |
| 14 | examine_reply | varchar | 16 | 否 | 否 | 审核回复 |
| 15 | sign_in_information_limit_times | int | | 是 | 否 | 签到限制次数 |
| 16 | activity_leave_limit_times | int | | 是 | 否 | 请假限制次数 |
| 17 | activity_participation_limit_times | int | | 是 | 否 | 参与情况限制次数 |
| 18 | create_time | datetime | | 是 | 否 | 创建时间 |
| 19 | update_time | timestamp | | 是 | 否 | 更新时间 |
| 20 | source_table | varchar | 255 | 否 | 否 | 来源表 |
| 21 | source_id | int | | 否 | 否 | 来源ID |
| 22 | source_user_id | int | | 否 | 否 | 来源用户 |
表 4-19-exit_the_club(退出社团)
|----|-----------------------|-----------|-------|------|------|--------|
| 编号 | 字段名 | 类型 | 长度 | 是否非空 | 是否主键 | 注释 |
| 1 | exit_the_club_id | int | | 是 | 是 | 退出社团ID |
| 2 | club_users | int | | 否 | 否 | 社团用户 |
| 3 | school_users | int | | 否 | 否 | 学校用户 |
| 4 | club_no | varchar | 64 | 是 | 是 | 社团编号 |
| 5 | club_name | varchar | 64 | 否 | 否 | 社团名称 |
| 6 | type_of_club | varchar | 64 | 否 | 否 | 社团类型 |
| 7 | presidents_name | varchar | 64 | 否 | 否 | 社长姓名 |
| 8 | member_users | int | | 否 | 否 | 社员用户 |
| 9 | member_names | varchar | 64 | 否 | 否 | 成员姓名 |
| 10 | gender_of_members | varchar | 64 | 否 | 否 | 成员性别 |
| 11 | date_of_joining | date | | 否 | 否 | 加入日期 |
| 12 | exit_date | date | | 否 | 否 | 退出日期 |
| 13 | reason_for_withdrawal | text | 65535 | 否 | 否 | 退出原因 |
| 14 | examine_state | varchar | 16 | 是 | 否 | 审核状态 |
| 15 | examine_reply | varchar | 16 | 否 | 否 | 审核回复 |
| 16 | create_time | datetime | | 是 | 否 | 创建时间 |
| 17 | update_time | timestamp | | 是 | 否 | 更新时间 |
| 18 | source_table | varchar | 255 | 否 | 否 | 来源表 |
| 19 | source_id | int | | 否 | 否 | 来源ID |
| 20 | source_user_id | int | | 否 | 否 | 来源用户 |
表 4-20-forum(论坛)
|----|-------------|-----------|------------|------|------|-------|
| 编号 | 字段名 | 类型 | 长度 | 是否非空 | 是否主键 | 注释 |
| 1 | forum_id | mediumint | | 是 | 是 | 论坛ID |
| 2 | display | smallint | | 是 | 否 | 排序 |
| 3 | user_id | mediumint | | 是 | 否 | 用户ID |
| 4 | nickname | varchar | 16 | 否 | 否 | 昵称 |
| 5 | praise_len | int | | 否 | 否 | 点赞数 |
| 6 | hits | int | | 是 | 否 | 访问数 |
| 7 | title | varchar | 125 | 是 | 否 | 标题 |
| 8 | keywords | varchar | 125 | 否 | 否 | 关键词 |
| 9 | description | varchar | 255 | 否 | 否 | 描述 |
| 10 | url | varchar | 255 | 否 | 否 | 来源地址 |
| 11 | tag | varchar | 255 | 否 | 否 | 标签 |
| 12 | img | text | 65535 | 否 | 否 | 封面图 |
| 13 | content | longtext | 4294967295 | 否 | 否 | 正文 |
| 14 | create_time | timestamp | | 是 | 否 | 创建时间 |
| 15 | update_time | timestamp | | 是 | 否 | 更新时间 |
| 16 | avatar | varchar | 255 | 否 | 否 | 发帖人头像 |
| 17 | type | varchar | 64 | 是 | 否 | 论坛分类 |
| 18 | istop | int | | 是 | 否 | 是否置顶 |
表 4-21-forum_type(论坛分类)
|----|-------------|-----------|-----|------|------|--------|
| 编号 | 字段名 | 类型 | 长度 | 是否非空 | 是否主键 | 注释 |
| 1 | type_id | smallint | | 是 | 是 | 分类ID |
| 2 | name | varchar | 16 | 是 | 否 | 分类名称 |
| 3 | description | varchar | 255 | 否 | 否 | 描述 |
| 4 | url | varchar | 255 | 否 | 否 | 外链地址 |
| 5 | father_id | smallint | | 是 | 否 | 上级分类ID |
| 6 | icon | varchar | 255 | 否 | 否 | 分类图标 |
| 7 | create_time | timestamp | | 是 | 否 | 创建时间 |
| 8 | update_time | timestamp | | 是 | 否 | 更新时间 |
表 4-22-hits(用户点击)
|----|--------------|-----------|-----|------|------|------|
| 编号 | 字段名 | 类型 | 长度 | 是否非空 | 是否主键 | 注释 |
| 1 | hits_id | int | | 是 | 是 | 点赞ID |
| 2 | user_id | int | | 是 | 否 | 点赞人 |
| 3 | create_time | timestamp | | 是 | 否 | 创建时间 |
| 4 | update_time | timestamp | | 是 | 否 | 更新时间 |
| 5 | source_table | varchar | 255 | 否 | 否 | 来源表 |
| 6 | source_field | varchar | 255 | 否 | 否 | 来源字段 |
| 7 | source_id | int | | 是 | 否 | 来源ID |
表 4-23-join_a_club(加入社团)
|----|---------------------------|-----------|-------|------|------|----------|
| 编号 | 字段名 | 类型 | 长度 | 是否非空 | 是否主键 | 注释 |
| 1 | join_a_club_id | int | | 是 | 是 | 加入社团ID |
| 2 | club_users | int | | 否 | 否 | 社团用户 |
| 3 | school_users | int | | 否 | 否 | 学校用户 |
| 4 | club_no | varchar | 64 | 是 | 是 | 社团编号 |
| 5 | club_name | varchar | 64 | 否 | 否 | 社团名称 |
| 6 | type_of_club | varchar | 64 | 否 | 否 | 社团类型 |
| 7 | presidents_name | varchar | 64 | 否 | 否 | 社长姓名 |
| 8 | member_users | int | | 否 | 否 | 社员用户 |
| 9 | member_names | varchar | 64 | 否 | 否 | 成员姓名 |
| 10 | gender_of_members | varchar | 64 | 否 | 否 | 成员性别 |
| 11 | date_of_joining | date | | 否 | 否 | 加入日期 |
| 12 | reason_for_joining | text | 65535 | 否 | 否 | 加入原因 |
| 13 | examine_state | varchar | 16 | 是 | 否 | 审核状态 |
| 14 | examine_reply | varchar | 16 | 否 | 否 | 审核回复 |
| 15 | exit_the_club_limit_times | int | | 是 | 否 | 退出社团限制次数 |
| 16 | club_funding_limit_times | int | | 是 | 否 | 经费限制次数 |
| 17 | create_time | datetime | | 是 | 否 | 创建时间 |
| 18 | update_time | timestamp | | 是 | 否 | 更新时间 |
| 19 | source_table | varchar | 255 | 否 | 否 | 来源表 |
| 20 | source_id | int | | 否 | 否 | 来源ID |
| 21 | source_user_id | int | | 否 | 否 | 来源用户 |
表 4-24-notice(公告)
|----|-------------|-----------|------------|------|------|------|
| 编号 | 字段名 | 类型 | 长度 | 是否非空 | 是否主键 | 注释 |
| 1 | notice_id | mediumint | | 是 | 是 | 公告ID |
| 2 | title | varchar | 125 | 是 | 否 | 标题 |
| 3 | content | longtext | 4294967295 | 否 | 否 | 正文 |
| 4 | create_time | timestamp | | 是 | 否 | 创建时间 |
| 5 | update_time | timestamp | | 是 | 否 | 更新时间 |
表 4-25-praise(点赞)
|----|--------------|-----------|-----|------|------|----------------|
| 编号 | 字段名 | 类型 | 长度 | 是否非空 | 是否主键 | 注释 |
| 1 | praise_id | int | | 是 | 是 | 点赞ID |
| 2 | user_id | int | | 是 | 是 | 点赞人 |
| 3 | create_time | timestamp | | 是 | 否 | 创建时间 |
| 4 | update_time | timestamp | | 是 | 否 | 更新时间 |
| 5 | source_table | varchar | 255 | 否 | 否 | 来源表 |
| 6 | source_field | varchar | 255 | 否 | 否 | 来源字段 |
| 7 | source_id | int | | 是 | 否 | 来源ID |
| 8 | status | tinyint | | 是 | 否 | 点赞状态:1为点赞,0已取消 |
表 4-26-schedule(日程管理)
|----|----------------|----------|-----|------|------|------|
| 编号 | 字段名 | 类型 | 长度 | 是否非空 | 是否主键 | 注释 |
| 1 | schedule_id | smallint | | 是 | 是 | 日程ID |
| 2 | content | varchar | 255 | 否 | 否 | 日程内容 |
| 3 | scheduled_time | datetime | | 否 | 否 | 计划时间 |
| 4 | user_id | int | | 是 | 否 | 用户ID |
| 5 | create_time | datetime | | 否 | 否 | 创建时间 |
| 6 | update_time | datetime | | 否 | 否 | 更新时间 |
表 4-27-school_auditor(学校审核员)
|----|-------------------|-----------|----|------|------|---------|
| 编号 | 字段名 | 类型 | 长度 | 是否非空 | 是否主键 | 注释 |
| 1 | school_auditor_id | int | | 是 | 是 | 学校审核员ID |
| 2 | auditor_name | varchar | 64 | 否 | 否 | 审核员姓名 |
| 3 | auditor_gender | varchar | 64 | 否 | 否 | 审核员性别 |
| 4 | examine_state | varchar | 16 | 是 | 否 | 审核状态 |
| 5 | user_id | int | | 是 | 否 | 用户ID |
| 6 | create_time | datetime | | 是 | 否 | 创建时间 |
| 7 | update_time | timestamp | | 是 | 否 | 更新时间 |
表 4-28-score(评分)
|----|--------------|-----------|-----|------|------|------|
| 编号 | 字段名 | 类型 | 长度 | 是否非空 | 是否主键 | 注释 |
| 1 | score_id | int | | 是 | 是 | 评分ID |
| 2 | user_id | int | | 是 | 否 | 评分人 |
| 3 | nickname | varchar | 64 | 否 | 否 | 昵称 |
| 4 | score_num | double | | 是 | 否 | 评分 |
| 5 | create_time | timestamp | | 是 | 否 | 创建时间 |
| 6 | update_time | timestamp | | 是 | 否 | 更新时间 |
| 7 | source_table | varchar | 255 | 否 | 否 | 来源表 |
| 8 | source_field | varchar | 255 | 否 | 否 | 来源字段 |
| 9 | source_id | int | | 是 | 否 | 来源ID |
表 4-29-sign_in_information(签到信息)
|----|------------------------|-----------|-------|------|------|--------|
| 编号 | 字段名 | 类型 | 长度 | 是否非空 | 是否主键 | 注释 |
| 1 | sign_in_information_id | int | | 是 | 是 | 签到信息ID |
| 2 | club_users | int | | 否 | 否 | 社团用户 |
| 3 | school_users | int | | 否 | 否 | 学校用户 |
| 4 | activity_number | varchar | 64 | 是 | 是 | 活动编号 |
| 5 | event_name | varchar | 64 | 否 | 否 | 活动名称 |
| 6 | activity_type | varchar | 64 | 否 | 否 | 活动类型 |
| 7 | activity_time | varchar | 64 | 否 | 否 | 活动时间 |
| 8 | member_users | int | | 否 | 否 | 社员用户 |
| 9 | member_names | varchar | 64 | 否 | 否 | 成员姓名 |
| 10 | registration_date | date | | 否 | 否 | 报名日期 |
| 11 | check_in_time | datetime | | 否 | 否 | 签到时间 |
| 12 | sign_in_instructions | text | 65535 | 否 | 否 | 签到说明 |
| 13 | create_time | datetime | | 是 | 否 | 创建时间 |
| 14 | update_time | timestamp | | 是 | 否 | 更新时间 |
| 15 | source_table | varchar | 255 | 否 | 否 | 来源表 |
| 16 | source_id | int | | 否 | 否 | 来源ID |
| 17 | source_user_id | int | | 否 | 否 | 来源用户 |
表 4-30-slides(轮播图)
|----|-------------|-----------|-----|------|------|-------|
| 编号 | 字段名 | 类型 | 长度 | 是否非空 | 是否主键 | 注释 |
| 1 | slides_id | int | | 是 | 是 | 轮播图ID |
| 2 | title | varchar | 64 | 否 | 否 | 标题 |
| 3 | content | varchar | 255 | 否 | 否 | 内容 |
| 4 | url | varchar | 255 | 否 | 否 | 链接 |
| 5 | img | varchar | 255 | 否 | 否 | 轮播图 |
| 6 | hits | int | | 是 | 否 | 点击量 |
| 7 | create_time | timestamp | | 是 | 否 | 创建时间 |
| 8 | update_time | timestamp | | 是 | 否 | 更新时间 |
表 4-31-upload(文件上传)
|----|-----------|---------|-----|------|------|------|
| 编号 | 字段名 | 类型 | 长度 | 是否非空 | 是否主键 | 注释 |
| 1 | upload_id | int | | 是 | 是 | 上传ID |
| 2 | name | varchar | 64 | 否 | 否 | 文件名 |
| 3 | path | varchar | 255 | 否 | 否 | 访问路径 |
| 4 | file | varchar | 255 | 否 | 否 | 文件路径 |
| 5 | display | varchar | 255 | 否 | 否 | 显示顺序 |
| 6 | father_id | int | | 否 | 否 | 父级ID |
| 7 | dir | varchar | 255 | 否 | 否 | 文件夹 |
| 8 | type | varchar | 32 | 否 | 否 | 文件类型 |
表 4-32-user(用户账户)
|----|-------------|-----------|-----|------|------|-----------------------------|
| 编号 | 字段名 | 类型 | 长度 | 是否非空 | 是否主键 | 注释 |
| 1 | user_id | int | | 是 | 是 | 用户ID |
| 2 | state | smallint | | 是 | 否 | 账户状态:(1可用|2异常|3已冻结|4已注销) |
| 3 | user_group | varchar | 32 | 否 | 否 | 所在用户组 |
| 4 | login_time | timestamp | | 是 | 否 | 上次登录时间 |
| 5 | phone | varchar | 11 | 否 | 否 | 手机号码 |
| 6 | phone_state | smallint | | 是 | 否 | 手机认证:(0未认证|1审核中|2已认证) |
| 7 | username | varchar | 16 | 是 | 否 | 用户名 |
| 8 | nickname | varchar | 16 | 否 | 否 | 昵称 |
| 9 | password | varchar | 64 | 是 | 否 | 密码 |
| 10 | email | varchar | 64 | 否 | 否 | 邮箱 |
| 11 | email_state | smallint | | 是 | 否 | 邮箱认证:(0未认证|1审核中|2已认证) |
| 12 | avatar | varchar | 255 | 否 | 否 | 头像地址 |
| 13 | open_id | varchar | 255 | 否 | 否 | 针对获取用户信息字段 |
| 14 | create_time | timestamp | | 是 | 否 | 创建时间 |
表 4-33-user_group(用户组)
|----|--------------|-----------|-----|------|------|-------|
| 编号 | 字段名 | 类型 | 长度 | 是否非空 | 是否主键 | 注释 |
| 1 | group_id | mediumint | | 是 | 是 | 用户组ID |
| 2 | display | smallint | | 是 | 否 | 显示顺序 |
| 3 | name | varchar | 16 | 是 | 否 | 名称 |
| 4 | description | varchar | 255 | 否 | 否 | 描述 |
| 5 | source_table | varchar | 255 | 否 | 否 | 来源表 |
| 6 | source_field | varchar | 255 | 否 | 否 | 来源字段 |
| 7 | source_id | int | | 是 | 否 | 来源ID |
| 8 | register | smallint | | 否 | 否 | 注册位置 |
| 9 | create_time | timestamp | | 是 | 否 | 创建时间 |
| 10 | update_time | timestamp | | 是 | 否 | 更新时间 |
5系统实现
5 .1 前台用户功能 模块的实现
5.1.1 前台首页模块
前台首页界面是用户访问系统的入口页面,它应该展示平台的主要功能和特色,并提供导航链接以便用户浏览和搜索。首页界面的设计应注重页面的美观性和用户体验,同时也需要考虑页面的加载速度和响应性能。其主界面展示如下图5-1所示。

图5-1 前台首页界面图
5.1.2 用户登录模块
用户登录模块为用户提供安全快捷的访问方式。登录页面设计简洁明了,用户只需输入用户名及密码即可完成身份验证。系统采用验证码进行用户认证,支持多因素认证增强安全性。登录成功后,用户将被重定向至系统首页页面。对于忘记密码的用户,提供了找回密码功能,通过邮箱或手机号接收重置链接,保障账户安全。用户登录界面如下图5-2所示。

图5-2用户登录界面图
5.1.3 交流平台模块
交流平台模块为用户提供了一个互动空间,允许社团成员发布话题、分享经验以及参与讨论。通过集成点赞、评论和分享功能,促进了成员间的深度交流与信息共享,增强了社区的活力和凝聚力。交流平台界面如下图5-3所示。

图5-3 交流平台界面图
5.1.4社团资讯模块
社团资讯模块旨在及时传递社团相关的新闻、通知和公告,确保所有成员能够迅速获取最新信息。此模块还支持用户对资讯内容进行评论和反馈,促进了信息的双向沟通。社团资讯界面如下图5-4所示。

图5-4 社团资讯界面图
5.1.5社团信息模块
在社团信息模块中,详细展示了每个社团的基本情况,包括社团简介、组织结构、联系方式等,帮助新成员快速了解社团,并吸引潜在成员加入。此外,还提供了社长姓名、成立日期等重要信息供查阅。社团信息界面如下图5-5所示。

图5-5 社团信息界面图
提交加入社团信息界面如下图5-6所示。

图5-6 提交加入社团信息界面图
5.1.6社团活动模块
社团活动模块集成了活动发布、报名及回顾等功能,使用户可以轻松查看即将到来的活动详情并在线报名参加。活动结束后,还能通过照片、视频等形式回顾精彩瞬间,进一步增强成员的归属感和参与感。社团活动界面如下图5-7所示。

图5-7 社团活动界面图
活动报名界面如下图5-8所示。

图5-8 活动报名界面图
5.1.7社团风采模块
社团风采模块用于展示社团的文化特色和成就,通过图片、视频等多媒体形式展现社团的独特魅力。此模块不仅记录了社团的成长历程,也为外界提供了一个了解社团文化的窗口。社团风采界面如下图5-9所示。

图5-9社团风采界面图
5.1.9 我的界面
我的模块是用户的个人中心,支持基本信息维护及各类信息管理。在我的模块中,社团成员可以管理个人信息、查看收藏的内容、进行活动报名和签到等操作。此外,还提供了活动请假申请、参与历史记录查询等功能,方便成员管理和规划个人社团生活。社团成员我的界面如下图5-10所示。

图5-10 社团成员我的界面图
针对社团管理者设计的我的模块,除了基本的信息管理外,还提供了统计图表分析、活动分类管理等功能,帮助管理者更好地理解社团动态,优化资源分配和服务质量。社团管理者我的界面如下图5-11所示。

图5-11 社团管理者我的界面图
学校审核员的我的模块主要用于浏览和审核各社团提交的信息和活动申请,确保其符合学校规定。同时,也提供了基于数据的分析工具,帮助审核员评估社团的表现和发展趋势。学校审核员我的界面如下图5-12所示。

图5-12 学校审核员我的界面图
5 . 2 后台功能 模块的实现
5.2.1后台登录模块
管理员通过后台登录模块验证身份后进入管理系统,该模块支持账号密码登录,并可选择记住登录状态或进行双因素认证以增强安全性。登录失败时提供错误提示,确保管理员账户的安全性。后台登录界面如下图5-13所示。

图5-13 后台登录界面图
5.2.2管理员后台首页模块
管理员主页模块通过综合数据可视化图表展示景点、酒店、餐饮订单的整体统计信息,支持按时间维度筛选和导出数据,帮助管理员全面掌握平台运营状况。图表内容包括订单数量、收入趋势及用户活跃度等关键指标,为决策提供直观依据,同时支持多维度数据分析以优化资源配置。管理员后台首页界面如下图5-14所示。

图5-14 管理员后台首页界面图
5.2.3系统用户模块
用户管理模块用于维护社团成员和社团管理者、学校审核员、餐饮商家用户的账户信息,管理员可查看用户资料、操作记录及权限状态,支持对违规用户进行禁用或启用操作,并记录所有管理动作以备审计。系统用户界面如下图5-15所示。

图5-15 系统用户界面图
5.2.4社团分类管理模块
在社团分类管理模块中,管理员可以根据社团性质、活动类型等因素定义和调整社团类别,以更好地组织和展示各类社团。这不仅有助于新成员根据兴趣找到合适的社团,也为现有社团提供了一个清晰的身份标识,促进社团之间的交流与合作。社团分类管理界面如下图5-16所示。

图5-16 社团分类管理界面图
5.2.5社团信息管理模块
社团信息管理模块负责审核并更新社团的基本资料,如社团简介、联系方式、社长信息等,确保所有公开信息准确无误。同时,管理员可以通过该模块处理新社团的注册申请,规范社团成立流程,保障社团管理体系的健全。社团信息管理界面如下图5-17所示。

图5-17 社团信息管理界面图
5.2.6 系统管理模块
轮播图管理模块使管理员能够轻松上传、编辑或删除平台首页的轮播内容,用于宣传重要资讯、活动预告或展示社团风采。这不仅提升了平台的视觉吸引力,也为用户提供了一个获取最新信息的快捷通道。系统轮播图管理界面如下图5-18所示。

图5-18 系统轮播图管理界面图
5.2.7 资源管理模块
资源管理模块中的社团资讯部分允许管理员发布、管理和更新有关社团的各种新闻、通知和公告,确保信息的及时传递。而资讯分类功能则让管理员可以根据内容属性对资讯进行归类,方便用户按需查找相关信息,提高信息检索效率。资源管理界面如下图5-19所示。

图5-19 资源管理界面图
6系统测试
6 .1 测试目的
测试是为了验证大学生社团管理平台在功能、性能、安全性和用户体验等方面的表现。通过测试,可以发现并修复潜在的问题和缺陷,确保系统的正常运行和稳定性。功能验证确保各项功能按设计要求运行;性能评估评估系统的响应时间和并发处理能力;安全检测确保系统的身份认证和数据传输安全;用户体验评估提升界面友好性和操作流程;兼容性测试确保系统在不同设备和浏览器上的兼容性。通过全面的测试,系统将更可靠地支持管理员工作,并提供优质的用户体验。
6 .2 测试用例
6.2.1系统可用性测试
网站的可用性测试是测试网站最基本的功能,比如鼠标点击是否可用,页面跳转是否正常等。下面是具体的测试结果。
表6-1大学生社团管理平台可用性测试
|-----------------|-----------------------------------------|
| 可用性测试方面 | 测试内容 |
| 导航测试 | - 检查系统导航结构是否清晰明了 |
| | - 测试用户能否快速找到所需功能和信息 |
| 功能测试 | - 测试用户注册、登录、加入社团浏览、添加关注、个人信息发布等功能是否正常运作 |
| 响应时间测试 | - 测试系统在不同网络环境下的响应速度 |
| | - 确保用户操作时不会遇到明显延迟 |
| 错误处理测试 | - 测试系统在用户输入错误或操作异常时的提示信息和处理方式 |
| | - 确保用户能清晰了解错误原因并得到帮助 |
| 兼容性测试 | - 测试系统在不同操作系统和设备上的兼容性 |
| | - 确保用户无论使用何种设备都能正常访问系统 |
| 用户反馈测试 | - 收集用户反馈意见和建议 |
| | - 了解用户使用体验和需求 |
6.2.2系统经典测试用例
对网站的主要页面和功能点的测试用例如下:
(1)用户登陆网站测试用例如表 6-2 所示。
表6-2用户登录网站测试用例
|----------------|-----------------------------|
| 测试用例名称 | 用户登录网站 |
| 测试目的 | 验证用户能够成功登录网站 |
| 前提条件 | 用户已注册账户且拥有有效的用户名和密码 |
| 测试步骤 | 1. 打开网站登录页面 |
| | 2. 输入有效的用户名和密码 |
| | 3. 点击登录按钮 |
| 预期结果 | 用户成功登录,系统跳转至用户首页 |
| 测试数据 | 有效的用户名和密码 |
| 预期行为 | - 用户输入正确的用户名和密码 |
| | - 系统验证用户名和密码是否匹配数据库中的信息 |
| | - 登录成功后跳转至用户首页 |
| 替代路径 | - 如果用户名或密码错误,系统应提示错误信息并阻止登录 |
| | - 如果用户输入为空数据,系统应提示输入有效信息 |
| 附加信息 | 可以考虑测试登录页面的响应速度和错误处理机制 |
(2)社团资讯信息测试用例如表 6-3 所示
表6-3社团资讯测试用例
|----------------|------------------------------|
| 测试用例名称 | 社团资讯 浏览 |
| 测试目的 | 验证用户能够成功浏览社团资讯 |
| 前提条件 | 用户已登录系统且有权限访问社团资讯模块 |
| 测试步骤 | 1. 进入社团资讯模块 |
| | 2. 浏览最新发布的社团资讯 |
| | 3. 查看具体资讯内容 |
| 预期结果 | 用户能够顺利浏览社团资讯,查看详细内容 |
| 测试数据 | 最新发布的社团资讯 |
| 预期行为 | - 用户能够进入社团资讯模块并浏览资讯列表 |
| | - 用户能够点击具体资讯查看详细内容 |
| | - 系统应展示资讯的标题、内容、发布时间等信息 |
| 替代路径 | - 如果资讯加载缓慢,用户应能够等待或刷新页面 |
| | - 如果资讯内容有误或不完整,用户应能够报告问题或反馈 |
| 附加信息 | 可以考虑测试资讯页面的响应速度、页面布局和用户交互等方面 |
(3)加入社团信息提交测试用例如表6-4所示
表6-4加入社团信息提交测试用例
|----------------|-----------------------------------------|
| 测试用例名称 | 提交加入社团 信息 |
| 测试目的 | 验证用户能够成功在社团信息模块提交加入社团信息 |
| 前提条件 | 用户已登录系统且有权限提交加入社团信息 |
| 测试步骤 | 1. 进入社团成员小程序页面 |
| | 2. 点击社团信息,点击加入社团按钮 |
| | 3. 输入加入社团内容并提交加入社团信息 |
| 预期结果 | 用户成功提交加入社团内容,展示在用户我的模块 |
| 测试数据 | 加入社团内容 |
| 预期行为 | - 用户能够找到社团信息页面并进行加入社团内容提交 |
| | - 系统应接受用户输入的加入社团内容并将加入社团显示在用户的加入社团管理页面上 |
| | - 加入社团应包括加入原因、时间等信息 |
| 替代路径 | - 如果加入社团提交失败,系统应提示错误信息并允许重新提交 |
| | - 如果加入社团内容违规,系统应有相应处理机制 |
| 附加信息 | 可以考虑测试加入社团提交的响应速度、加入社团显示的排版和格式等方面 |
(4)社团活动报名测试用例如表6-5所示
表6-5社团活动报名测试用例
|----------------|-----------------------------------------------|
| 测试用例名称 | 活动报名 |
| 测试目的 | 验证社团成员能够成功进行活动报名 |
| 前提条件 | 社团成员已登录系统且具有报名的权限 |
| 测试步骤 | 1. 进入社团成员小程序页面 |
| | 2. 点击社团活动进入列表页面 |
| | 3. 点击报名按钮,填写报名信息 |
| | 4. 确认并提交报名信息 |
| 预期结果 | 社团成员成功报名,活动报名信息显示在社团成员的活动报名列表中 |
| 测试数据 | 社团活动的社团用户、学校用户、活动编号、活动名称、活动类型、活动时间、活动图片、活动对象等 |
| 预期行为 | - 社团成员能够顺利进入社团活动页面并找到报名按钮 |
| | - 社团成员能够查看报名状态 |
| | - 系统应保存订单信息并在订单信息列表中显示新增的报名信息 |
| 替代路径 | - 如果报名信息填写不完整,系统应提示错误信息并阻止保存 |
| 附加信息 | 可以考虑测试报名信息添加页面的响应速度、信息验证和上传功能等方面 |
6 . 3 测试 结果
经过社团资讯浏览、加入社团提交、活动报名功能的测试,结果显示系统表现良好。用户能够顺利浏览最新社团资讯、加入社团信息提交,社团成员成功进行社团活动报名,系统响应速度快且功能正常。这些测试结果表明系统在功能性和用户体验方面表现出色,但仍需持续监测和优化以确保系统稳定性和用户满意度。
7总结与展望
在本研究中,我成功构建了一个基于微信小程序的大学生社团管理平台,实现了丰富的功能如社团信息、社团活动、社团风采、交流平台、社团资讯等。系统运用了Java语言的灵活性、Spring Boot框架的快速开发特性、MySQL数据库的稳定性和微信小程序跨平台的应用,为大学生社团管理平台提供了可靠的支持。通过系统的设计和实现,提高了大学生社团管理的效率和用户体验,为系统数据管理提供了便捷、高效的解决方案。
在系统的设计和开发过程中,需要进一步加强对用户体验和界面设计的重视,提升系统的易用性和美观性,以增强用户对系统的吸引力和满意度。此外,对异常情况和错误处理的完善也是需要加强的地方,确保系统的稳定性和安全性。在未来的改进中,可以考虑引入更多的数据分析和报告功能,以帮助管理员更好地了解大学生社团管理情况,提高决策的科学性和准确性。同时,加强系统的扩展性和可维护性,以应对未来大学生社团管理发展和功能拓展的需求。
总的来说,通过本次研究,我成功搭建了一套基于微信小程序的大学生社团管理平台,实现了丰富的功能并取得了一定的成果。在未来的发展中,将继续优化系统功能和用户体验,不断提升系统的性能和稳定性,为大学生社团管理平台的长期发展和用户需求提供更好的服务和支持。
参考文献
- 黄维.基于B/S模式的虚拟网络实验室安全管理体系分析[J].信息系统工程,2024,(05):4-7.
- 陈敬宗.计算机软件Java编程特点与技术应用分析[J].中国信息界,2025,(01):162-164.
- 柯灵.Java编程语言在计算机软件开发中的应用与问题处理探析[J].电脑知识与技术,2024,20(27):45-47.
- 李艳杰.MySQL数据库下存储过程的综合运用研究[J].现代信息科技,2023,7(11):80-82+88.
- 肖睿,李鲲程,范效亮,等.MySQL数据库应用技术及实践[M].人民邮电出版社:202206.228.
- 王志亮,纪松波.基于SpringBoot的Web前端与数据库的接口设计[J].工业控制计算机,2023,36(03):51-53.
- 李兴华,马云涛.Spring开发实战[M].人民邮电出版社:202303.381.
- 张引,赵玉丽,张斌,等.微信小程序全栈开发技术与实战[M].人民邮电出版社:202212.258.
- Wang Z ,Hua Z ,Yao W .The Application and Development of the Student Society Management System[J].Advances in Computer and Communication,2023,4(3):
- Wang N ,Long Y ,Xu X , et al.Design and Implementation of Intelligent Community Management System[J].Advances in Computer, Signals and Systems,2023,7(4):
- Yang Y .Design and Implementation of Student Information Management System Based on Springboot[J].Advances in Computer, Signals and Systems,2022,6(6):
- 朱焱,邓述为.基于Java的大学社团管理系统[J].电脑编程技巧与维护,2022,(12):84-86.
- 刘沁怡,黄培瑛,谷静平.互联化的新型通用学生社团运营平台建设研究[J].福建电脑,2022,38(11):104-106.
- 王金恒,梁凤霖,尹菡等.校园社团管理系统的设计与实现[J].电脑编程技巧与维护,2022,(06):85-88.
- 汪艳霞,程良宏.高校学生社团发展的路径探究:AGIL模型的视角[J].教育理论与实践,2022,42(15):7-11.
- 张迪.基于移动平台的大学生社团管理系统设计与研究[J].电脑知识与技术,2022,18(13):65-66.
- 曹勇.数字化校园背景下的高校社团管理摭探[J].成才之路,2022,(11):56-58.
- 李伟雄,李海燕.基于微信的高校社团管理系统设计与实现[J].信息技术与信息化,2021,(07):152-154.
- 吴成炎.高职院校"智慧+社团"平台建设研究[J].科技与创新,2021,(08):106-107.
- 任鑫梅,刘小英.高校社团管理信息系统的设计与实现[J].电脑知识与技术,2021,17(11):31-32+35.
致谢
眨眼之间,大学生活就要结束了。在本文的最后,我要感谢我和蔼可亲的导师、团结有爱的同学的帮助和鼓励。此刻,我找不到感谢之词可以用来表达我最深切的感激之情。尤其感谢我的指导老师,在选题的过程中与我进行了深入的交流,在毕业设计期间给我提供了一些指导。四年的学习生活让我受益良多,老师们的丰富的学术知识、认真负责的学习态度让我受益匪浅。在此,我深深地感谢那些曾经给予我帮助和指导的老师!
我的论文得益于许多学者的贡献,他们的研究成果为我提供了宝贵的指导,使我能够更好地完成这篇文章。感谢我的同学和朋友在我的写作以及排版过程中给予热情的帮助,才使得我比较顺利的完成了这篇论文。
感谢大学里遇见的朋友,你们在我这四年里留下无数的温暖和快乐,让我对这个校园多了一份留念。最后,感谢我的父母、辅导员、班长,以及室友们对我大学生活上的关心和理解,让我能保持乐观和追求我所热爱的。尽管我的能力有限,但我仍然尽力去完善这篇论文,并且诚挚地希望各位老师和学友能够给予宝贵的指导与意见!
整理归纳不易, 点赞❤关注+私信博主,免费领取项目源码,谢谢
附录
系统核心代码设计
用户注册
注册页UserController.java,传入user对象,并将"user_id"、 "state"、 "user_group"、"login_time"、"phone"、"phone_state"、 "username"、"nickname"、"password"、"email"、"email_state"、"avatar"、"create_time"输入,重点是 "username"、"nickname"、"password"必须输入,通过获取username,数据库查询是否有该用户,如果存在,则提示"用户已存在",否则执行将UserId置为空(数据库表中该字段已设置自动递增),代码如图所示。

注册核心代码图
用户登录
登录页,首先传入"username"、"email"、"phone"、"password",用户可通过用户名、邮箱、手机号进行登陆,通过判断resultList来确定查询结果,然后执行查询用户组UserGroup,用户组里面不存在,依然报"用户不存在",执行完以上代码,最后涉及到用户带有"审核"的,会查询examine_state(用户的审核状态),数据库表user_group中含有source_table和source_field进行查询,以上步骤完成,对输入的密码进行存储Token到数据库,匹对账号和密码,数据库中的AccessToken为令牌,用于身份认证,代码如图所示。

用户登录核心代码图
修改密码
修改密码,通过请求data,获取旧密码,并将新密码重新赋值,期间都是需要通过加密,代码如图所示。

修改密码核心代码图
修改数据
修改一个数据,原理与add基本一致,不同点在于通过readConfig()读取关键字,以及通过readQuery()获取URL后面?指定位置的标识,转成Map对象后,执行update操作,同样通过拼接的sql语句执行,执行过程读取query,toWhereSql()语句完成数据库操作,body为修改对象的值,代码如图所示。

修改数据核心代码图
删除数据
删除一条数据,通过readQuery(),获取URL后面的对象地址,删除FROM具体的table,query删除查询FindConfig语句,代码如图示。

删除数据核心代码图
获取列表
通过请求的参数获取列表数据,代码如图所示。

获取列表核心代码图
图片上传
通过请求的参数获取列表数据,代码如图4-13所示。

图片上传核心代码图