系统性学习C++进阶-第十四讲-二叉搜索树
- [1. 二叉搜索树的概念](#1. 二叉搜索树的概念)
- [2. 二叉搜索树的性能分析](#2. 二叉搜索树的性能分析)
- [3. 二叉搜索树的插入](#3. 二叉搜索树的插入)
- [4. 二叉搜索树的查找](#4. 二叉搜索树的查找)
- [5. 二叉搜索树的删除](#5. 二叉搜索树的删除)
- [6. 二叉搜索树的实现代码](#6. 二叉搜索树的实现代码)
- [7. 二叉搜索树 key 和 key/value 使用场景](#7. 二叉搜索树 key 和 key/value 使用场景)
-
- [7.1 key搜索场景:](#7.1 key搜索场景:)
- [7.2 key/value 搜索场景:](#7.2 key/value 搜索场景:)
- [7.3 key/value 二叉搜索树代码实现](#7.3 key/value 二叉搜索树代码实现)
1. 二叉搜索树的概念
二叉搜索树又称二叉排序树,它或者是⼀棵空树,或者是具有以下性质的⼆叉树:
-
若它的左子树不为空,则左子树上所有结点的值都小于等于根结点的值
-
若它的右子树不为空,则右子树上所有结点的值都大于等于根结点的值
-
它的左右子树也分别为⼆叉搜索树
-
⼆叉搜索树中可以⽀持插⼊相等的值,也可以不⽀持插⼊相等的值,具体看使用场景定义,后续我们学习 map / set / multimap
/ multiset 系列容器底层就是二叉搜索树,其中 map / set 不支持插入相等值,multimap / multiset 支持插⼊相等值

2. 二叉搜索树的性能分析
最优情况下,二叉搜索树为完全二叉树(或者接近完全二叉树),其高度为: log2N
最差情况下,二叉搜索树退化为单支树(或者类似单支),其高度为: N
所以综合而言二叉搜索树增删查改时间复杂度为: O(N)
那么这样的效率显然是⽆法满足我们需求的,我们后续文章会讲解⼆叉搜索树的变形,平衡⼆叉搜索树 AVL树 和 红黑树,
才能适用于我们在内存中存储和搜索数据。
另外需要说明的是,二分查找也可以实现 O(log2N) 级别的查找效率,但是二分查找有两大缺陷:
-
需要存储在支持下标随机访问的结构中,并且有序。
-
插入和删除数据效率很低,因为存储在下标随机访问的结构中,插入和删除数据⼀般需要挪动数据。
这里也就体现出了平衡⼆叉搜索树的价值。

3. 二叉搜索树的插入
插入的具体过程如下:
-
树为空,则直接新增结点,赋值给
root指针 -
树不空,按二叉搜索树性质,插入值比当前结点大往右走,插入值比当前结点小往左走,找到空位置,插⼊新结点。
-
如果支持插入相等的值,插入值跟当前结点相等的值可以往右走,也可以往左走,找到空位置,插入新结点。
(要注意的是要保持逻辑⼀致性,插入相等的值不要⼀会往右走,⼀会往左走)
cpp
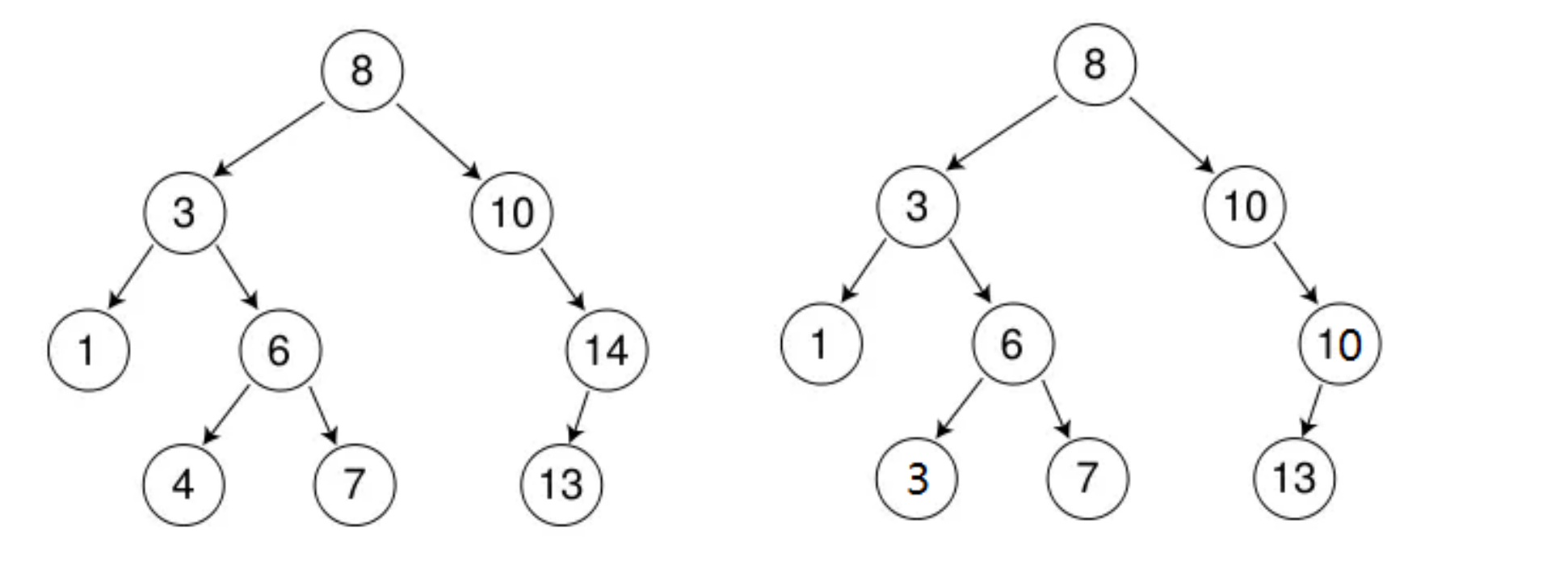
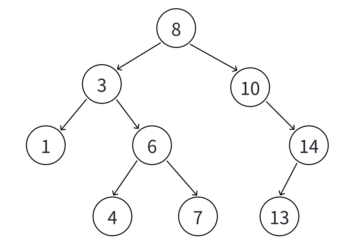
int a[] = {8, 3, 1, 10, 6, 4, 7, 14, 13};
1. 插入一个结点值为 16

2. 插入一个结点值为 3

4. 二叉搜索树的查找
-
从根开始比较,查找
x,x比根的值大则往右边走查找,x比根值小则往左边走查找。 -
最多查找高度次,走到到空,还没找到,这个值不存在。
-
如果不支持插入相等的值,找到
x即可返回 -
如果支持插入相等的值,意味着有多个
x存在,⼀般要求查找中序的第⼀个x。
如下图,查找 3 ,要找到 1 的右孩子的那个 3 返回

5. 二叉搜索树的删除
首先查找元素是否在二叉搜索树中,如果不存在,则返回 false 。
如果查找元素存在则分以下四种情况分别处理:(假设要删除的结点为 N )
-
要删除结点
N左右孩子均为空 -
要删除的结点
N左孩子位空,右孩子结点不为空 -
要删除的结点
N右孩子位空,左孩子结点不为空 -
要删除的结点
N左右孩子结点均不为空
对应以上四种情况的解决方案:
-
把
N结点的父亲对应孩子指针指向空,直接删除N结点(情况 1 可以当成 2 或者 3 处理,效果是⼀样的) -
把
N结点的父亲对应孩子指针指向N的右孩子,直接删除N结点 -
把
N结点的父亲对应孩子指针指向N的左孩子,直接删除N结点 -
无法直接删除
N结点,因为N的两个孩子无处安放,只能用替换法删除。找
N左子树的值最大结点R(最右结点) 或者N右子树的值最小结点R(最左结点)替代N,因为这两个结点中任意⼀个,放到N的位置,都满足二叉搜索树的规则。替代N的意思就是N和R的两个结点的值交换,转而变成删除R结点,R结点符合情况 2 或 情况 3,可以直接删除。



6. 二叉搜索树的实现代码
cpp
template<class K>
struct BSTNode
{
K _key;
BSTNode<K>* _left;
BSTNode<K>* _right;
BSTNode(const K& key)
:_key(key)
, _left(nullptr)
, _right(nullptr)
{}
};
// Binary Search Tree
template<class K>
class BSTree
{
typedef BSTNode<K> Node;
public:
bool Insert(const K& key)
{
if (_root == nullptr)
{
_root = new Node(key);
return true;
}
Node* parent = nullptr;
Node* cur = _root;
while (cur)
{
if (cur->_key < key)
{
parent = cur;
cur = cur->_right;
}
else if (cur->_key > key)
{
parent = cur;
cur = cur->_left;
}
else
{
return false;
}
}
cur = new Node(key);
if (parent->_key < key)
{
parent->_right = cur;
}
else
{
parent->_left = cur;
}
return true;
}
bool Find(const K& key)
{
Node* cur = _root;
while (cur)
{
if (cur->_key < key)
{
cur = cur->_right;
}
else if (cur->_key > key)
{
cur = cur->_left;
}
else
{
return true;
}
}
return false;
}
bool Erase(const K& key)
{
Node* parent = nullptr;
Node* cur = _root;
while (cur)
{
if (cur->_key < key)
{
parent = cur;
cur = cur->_right;
}
else if (cur->_key > key)
{
parent = cur;
cur = cur->_left;
}
else
{
// 0-1个孩⼦的情况
// 删除情况1 2 3均可以直接删除,改变⽗亲对应孩⼦指针指向即可
if (cur->_left == nullptr)
{
if (parent == nullptr)
{
_root = cur->_right;
}
else
{
if (parent->_left == cur)
parent->_left = cur->_right;
else
parent->_right = cur->_right;
}
delete cur;
return true;
}
else if (cur->_right == nullptr)
{
if (parent == nullptr)
{
_root = cur->_left;
}
else
{
if (parent->_left == cur)
parent->_left = cur->_left;
else
parent->_right = cur->_left;
}
delete cur;
return true;
}
else
{
// 2个孩⼦的情况
// 删除情况4,替换法删除
// 假设这⾥我们取右⼦树的最⼩结点作为替代结点去删除
// 这⾥尤其要注意右⼦树的根就是最⼩情况的情况的处理,对应课件图中删除8的情况
// ⼀定要把cur给rightMinP,否会报错。
Node* rightMinP = cur;
Node* rightMin = cur->_right;
while (rightMin->_left)
{
rightMinP = rightMin;
rightMin = rightMin->_left;
}
cur->_key = rightMin->_key;
if (rightMinP->_left == rightMin)
rightMinP->_left = rightMin->_right;
else
rightMinP->_right = rightMin->_right;
delete rightMin;
return true;
}
}
}
return false;
}
void InOrder()
{
_InOrder(_root);
cout << endl;
}
private:
void _InOrder(Node* root)
{
if (root == nullptr)
{
return;
}
_InOrder(root->_left);
cout << root->_key << " ";
_InOrder(root->_right);
}
Node* _root = nullptr;
};
7. 二叉搜索树 key 和 key/value 使用场景
7.1 key搜索场景:
只有 key 作为关键码,结构中只需要存储 key 即可,关键码即为需要搜索到的值,搜索场景只需要判断 key 在不在。
key 的搜索场景实现的二叉树搜索树支持增删查,但是不支持修改,修改 key 破坏搜索树结构了。
下面两个场景适配 key 类型二叉搜索树:
- :小区无人值守车库,小区车库买了车位的业主车才能进小区,那么物业会把买了车位的业主的车牌号录入后台系统,
车辆进入时扫描车牌在不在系统中,在则抬杆,不在则提示非本小区车辆,无法进入。
- :检查⼀篇英文文章单词拼写是否正确,将词库中所有单词放入二叉搜索树,读取文章中的单词,查找是否在⼆叉搜索树中,
不在则波浪线标红提示。

7.2 key/value 搜索场景:
每⼀个关键码 key ,都有与之对应的值 value ,value 可以任意类型对象。树的结构中(结点)除了需要存储 key 还要存储对应的 value,
增 / 删 / 查还是以 key 为关键字走二叉搜索树的规则进行比较,可以快速查找到 key 对应的 value。
key / value的搜索场景实现的二叉树搜索树支持修改,但是不支持修改 key ,修改 key 破坏搜索树性质了,可以修改 value 。
在下面的三个场景中适合使用此类型的搜索二叉树
1:简单中英互译字典,树的结构中 (结点) 存储 key (英文)和 vlaue (中文),搜索时输⼊英文,则同时查找到了英文对应的中文。
2:商场无人值守车库,入口进场时扫描车牌,记录车牌和入场时间,出口离场时,扫描车牌,查找入场时间,⽤当前时间 - 入场时间计算出停车时长,计算出停车费用,缴费后抬杆,⻋辆离场。
3:统计一篇文章中单词出现的次数,读取⼀个单词,查找单词是否存在,不存在这个说明第⼀次出现,(单词,1),单词存在,则++单词对应的次数。

7.3 key/value 二叉搜索树代码实现
cpp
template<class K, class V>
struct BSTNode
{
// pair<K, V> _kv;
K _key;
V _value;
BSTNode<K, V>* _left;
BSTNode<K, V>* _right;
BSTNode(const K& key, const V& value)
:_key(key)
, _value(value)
, _left(nullptr)
, _right(nullptr)
{}
};
template<class K, class V>
class BSTree
{
typedef BSTNode<K, V> Node;
public:
BSTree() = default;
BSTree(const BSTree<K, V>& t)
{
_root = Copy(t._root);
}
BSTree<K, V>& operator=(BSTree<K, V> t)
{
swap(_root, t._root);
return *this;
}
~BSTree()
{
Destroy(_root);
_root = nullptr;
}
bool Insert(const K& key, const V& value)
{
if (_root == nullptr)
{
_root = new Node(key, value);
return true;
}
Node* parent = nullptr;
Node* cur = _root;
while (cur)
{
if (cur->_key < key)
{
parent = cur;
cur = cur->_right;
}
else if (cur->_key > key)
{
parent = cur;
cur = cur->_left;
}
else
{
return false;
}
}
cur = new Node(key, value);
if (parent->_key < key)
{
parent->_right = cur;
}
else
{
parent->_left = cur;
}
return true;
}
Node* Find(const K& key)
{
Node* cur = _root;
while (cur)
{
if (cur->_key < key)
{
cur = cur->_right;
}
else if (cur->_key > key)
{
cur = cur->_left;
}
else
{
return cur;
}
}
return nullptr;
}
bool Erase(const K& key)
{
Node* parent = nullptr;
Node* cur = _root;
while (cur)
{
if (cur->_key < key)
{
parent = cur;
cur = cur->_right;
}
else if (cur->_key > key)
{
parent = cur;
cur = cur->_left;
}
else
{
if (cur->_left == nullptr)
{
if (parent == nullptr)
{
_root = cur->_right;
}
else
{
if (parent->_left == cur)
parent->_left = cur->_right;
else
parent->_right = cur->_right;
}
delete cur;
return true;
}
else if (cur->_right == nullptr)
{
if (parent == nullptr)
{
_root = cur->_left;
}
else
{
if (parent->_left == cur)
parent->_left = cur->_left;
else
parent->_right = cur->_left;
}
delete cur;
return true;
}
else
{
Node* rightMinP = cur;
Node* rightMin = cur->_right;
while (rightMin->_left)
{
rightMinP = rightMin;
rightMin = rightMin->_left;
}
cur->_key = rightMin->_key;
if (rightMinP->_left == rightMin)
rightMinP->_left = rightMin->_right;
else
rightMinP->_right = rightMin->_right;
delete rightMin;
return true;
}
}
}
return false;
}
void InOrder()
{
_InOrder(_root);
cout << endl;
}
private:
void _InOrder(Node* root)
{
if (root == nullptr)
{
return;
}
_InOrder(root->_left);
cout << root->_key << ":" << root->_value << endl;
_InOrder(root->_right);
}
void Destroy(Node* root)
{
if (root == nullptr)
return;
Destroy(root->_left);
Destroy(root->_right);
delete root;
}
Node* Copy(Node* root)
{
if (root == nullptr)
return nullptr;
Node* newRoot = new Node(root->_key, root->_value);
newRoot->_left = Copy(root->_left);
newRoot->_right = Copy(root->_right);
return newRoot;
}
private:
Node* _root = nullptr;
};
//类型 1
int main()
{
BSTree<string, string> dict;
//BSTree<string, string> copy = dict;
dict.Insert("left", "左边");
dict.Insert("right", "右边");
dict.Insert("insert", "插⼊");
dict.Insert("string", "字符串");
string str;
while (cin>>str)
{
auto ret = dict.Find(str);
if (ret)
{
cout << "->" << ret->_value << endl;
}
else
{
cout << "⽆此单词,请重新输⼊" << endl;
}
}
return 0;
}
// 类型 2
int main()
{
string arr[] = { "苹果", "西⽠", "苹果", "西⽠", "苹果", "苹果", "西⽠", "苹果", "⾹蕉", "苹果", "⾹蕉" };
BSTree<string, int> countTree;
for (const auto& str : arr)
{
// 先查找⽔果在不在搜索树中
// 1、不在,说明⽔果第⼀次出现,则插⼊<⽔果, 1>
// 2、在,则查找到的结点中⽔果对应的次数++
//BSTreeNode<string, int>* ret = countTree.Find(str);
auto ret = countTree.Find(str);
if (ret == NULL)
{
countTree.Insert(str, 1);
}
else
{
ret->_value++;
}
}
countTree.InOrder();
return 0;
}