题目:
给你两个单链表的头节点 headA 和 headB ,请你找出并返回两个单链表相交的起始节点。如果两个链表不存在相交节点,返回 null 。
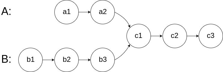
图示两个链表在节点 c1 开始相交**:**

题目数据 保证 整个链式结构中不存在环。
注意 ,函数返回结果后,链表必须 保持其原始结构 。
思路:
简单来说,就是求两个链表交点节点的指针
要注意:不是数值相等,而是指针相等
代码实现:
方法一:长度差
①先分别计算两个链表的长度,将curA指向长的链表,curB指向短的链表
②再将两个链表长度相减,得到差值
③让curA先走差值大小的长度,再同时移动两个指针
④最后返回相交的节点
cpp
class Solution {
public:
ListNode *getIntersectionNode(ListNode *headA, ListNode *headB) {
ListNode* curA = headA;
ListNode* curB = headB;
int lenA = 0, lenB = 0;
while (curA != NULL) { // 求链表A的长度
lenA++;
curA = curA->next;
}
while (curB != NULL) { // 求链表B的长度
lenB++;
curB = curB->next;
}
curA = headA;
curB = headB;
// 让curA为最长链表的头,lenA为其长度
if (lenB > lenA) {
swap (lenA, lenB);
swap (curA, curB);
}
// 求长度差
int gap = lenA - lenB;
// 让curA和curB在同一起点上(末尾位置对齐)
while (gap--) {
curA = curA->next;
}
// 遍历curA 和 curB,遇到相同则直接返回
while (curA != NULL) {
if (curA == curB) {
return curA;
}
curA = curA->next;
curB = curB->next;
}
return NULL;
}
};
但是这种方法要遍历链表两次,一次得到长度,一次寻找节点,我们可以使用哈希表来存储遍历过的节点,如果当前节点已经在哈希表中存在,就直接返回
方法2:哈希表
①先遍历一遍其中一个链表,将里面的节点存入哈希表中
②再遍历另一个链表,判断链表中的节点是否存在哈希表中
③如果存在就说明相交,全部遍历完还没找到相交节点说明不相交
cpp
class Solution {
public:
ListNode *getIntersectionNode(ListNode *headA, ListNode *headB) {
if (!headA || !headB) return nullptr;
unordered_set<ListNode*> visited;
ListNode* curr = headA;
// 第一遍遍历链表A,将所有节点加入哈希表
while (curr) {
visited.insert(curr);
curr = curr->next;
}
// 第二遍遍历链表B,检查节点是否已在哈希表中
curr = headB;
while (curr) {
if (visited.find(curr) != visited.end()) {
return curr; // 找到第一个公共节点
}
curr = curr->next;
}
return nullptr; // 没有交点
}
};
哈希表的方法比较清晰简单,但是需要使用到额外的空间,可以使用双指针的方式,避免额外空间的使用
方法3.双指针
①将两个指针分别指向两个链表的头节点
②当两个指针不相同时,分别移动两个指针
③当其中一个指针指向当前链表结尾时,将其移动到另一个链表的头节点,继续遍历
④若相交,两个指针一定会在相交节点相遇,若不相交,两个指针一定会同时指向最后的NULL节点
cpp
class Solution {
public:
ListNode *getIntersectionNode(ListNode *headA, ListNode *headB) {
if(headA==nullptr||headB==nullptr)return nullptr;
ListNode* h1 = headA;
ListNode* h2 = headB;
while(h1!=h2){
//如果遍历完当前链表,就将其移动到另一个链表的头节点
if(h1==nullptr){
h1 = headB;
}else{
h1 = h1->next;
}
if(h2==nullptr){
h2 = headA;
}else{
h2=h2->next;
}
}
return h1;
}
};
双指针的方法没有使用到额外的空间,并且时间复杂度是O(n+m),属于是较优的解法了
这题我们从最开始的两次遍历,到使用额外空间的一次遍历,再到不使用额外空间的一次遍历,多次优化代码,说明一道题不只有一种解法,可以进行不断的优化,找到最优解