目录
前言
本文主要讲解力扣203题移除链表元素和206题反转链表的解题思路和代码实现
对于链表的操作重点在于指针的使用,这两道题都需要用到指针,不过一个是单指针,一个是双指针,其中有一些异同点,因此放在一起分析
下文会先分别讲解这两道题,最后放在一起总结
移除链表元素
题目描述
给你一个链表的头节点 head 和一个整数 val ,请你删除链表中所有满足 Node.val == val 的节点,并返回 新的头节点
示例1

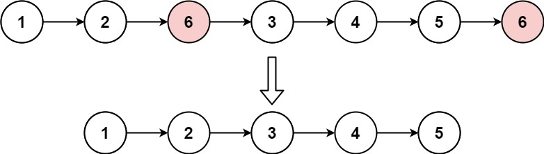
输入: head = [1,2,6,3,4,5,6], val = 6
输出:[1,2,3,4,5]
示例 2
输入: head = [], val = 1
输出:[]
示例 3
输入: head = [7,7,7,7], val = 7
输出:[]
解题思路
这道题本身思路很简单,用指针遍历链表中的每一个节点
(1)若节点值不等于val则什么也不用做,改变指针指向下一个节点即可
(2)若节点值等于val,需要控制节点的 next 指针跳过紧挨的下一个节点
需要注意的是,用单指针就可以解决而不用用双指针
若用双指针,p指向当前节点,pnext指向下一个节点,则pnext.val==val时:
p.next=pnext.next,pnext=pnext.next
若用单指针,p指向某一节点,则p.next.val==val时:
p.next=p.next.next即可
显然用单指针是更高效的
另外,为了避免判断头节点是否为空,以及头节点是否需要删除等复杂的异常情况,设计一个虚头节点,就可以实现操作的统一,具体实现代码如下
代码
python
from typing import Optional
class ListNode:
def __init__(self, val=0, next=None):
self.val = val
self.next = next
#单指针即可,不需要前后双指针
class Solution:
def removeElements(self, head: Optional[ListNode], val: int) -> Optional[ListNode]:
virtualNode = ListNode(0, head)#虚的头节点
p = virtualNode
while p.next:
if p.next.val == val:
p.next = p.next.next
else:
p = p.next
return virtualNode.next
反转链表
题目描述
给你单链表的头节点 head ,请你反转链表,并返回反转后的链表
示例1

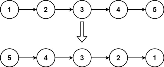
输入: head = [1,2,3,4,5]
输出:[5,4,3,2,1]
示例2
输入: head = []
输出:[]
解题思路
这道题就相对复杂一些,我们很容易想到用双指针 解决,但难点在于双指针的变化顺序,如果处理不当就会出现无法继续遍历或死循环等问题
这里给出一个例子,若p指向某节点,pnext指向下一个节点,现在要将pnext的指向反转,如果这样写:
pnext.next=p
p=pnext
然后就会出现一个问题:pnext的指向是反转了,但是发现无法指向下一个新节点了,因为pnext的指向已经反转,无法用pnext=pnext.next,如果真这样写了就会死循环,在两个节点之间出不来
当然,用三指针可以很容易的解决这个问题,若pre指向上一个节点,p指向当前节点,pnext指向下一个节点,则:
p.next=pre
pre=p
p=pnext
pnext=pnext.next(因为pnext的指向没有变,变的是p的指向)
不过如果用三指针,力扣中测评时会内存超限...
因此我们只能改进双指针法:在改变pnext指向之前先用一个变量保存一下下一个节点的地址,最后让pnext指向这个保存好的地址
具体实现代码如下
代码
python
from typing import Optional
class ListNode:
def __init__(self, val=0, next=None):
self.val = val
self.next = next
class Solution:
def reverseList(self, head: Optional[ListNode]) -> Optional[ListNode]:
p, pnext = None, head
while pnext:
temp = pnext.next #暂存下一个节点地址,要不然指针改了后就不能到达新节点了
pnext.next = p
p = pnext
pnext = temp
return p
总结
对比这两道题目可以发现,最主要的区别是链表的指向是否改变
在第一道题中,指向没有改变,则不管用多少层p.next.next...都是没有关系的,都能正确找到想要指向的新节点
而第二道题中,因为指向发生了改变,用p.next.next就会循环回来,此时不得不用另一个指针保存next地址,以找到下一个新节点