二叉树进阶
前言
在学完线性数据结构(如数组、链表、栈、队列)之后,我们自然会进入更复杂的非线性结构------树。其中二叉树是最基本且最重要的树形结构之一。
本文将带你从"什么是二叉树"讲起,重点深入讲解 二叉搜索树(Binary Search Tree,BST) 的概念、操作、实现与性能分析,帮助你构建完整的知识体系,为后续学习 AVL 树、红黑树等平衡树打下坚实基础。
一、二叉树
二叉树是一种每个节点最多有两个子节点的树形数据结构。这两个子节点分别称为左孩子和右孩子。
特点:
- 每个节点至多有两个子树;
- 左右子树有顺序之分,不可颠倒;
- 即使只有一个子节点,也必须明确是左还是右。
二叉树的存储结构,通常使用链式结构来表示二叉树节点。

cpp
struct TreeNode {
int val;
TreeNode* left;
TreeNode* right;
// 构造函数
TreeNode(int x) : val(x), left(nullptr), right(nullptr) {}
};
//也可以封装成类
class BinaryTree {
private:
struct Node {
int data;
Node* left;
Node* right;
Node(int val) : data(val), left(nullptr), right(nullptr) {}
};
Node* root;
public:
BinaryTree() : root(nullptr) {}
~BinaryTree();
// 其他操作...
};
二、二叉搜索树
1、二叉搜索树概念
二叉搜索树又称二叉排序树,它或者是一棵空树,或者是具有以下性质的二叉树:
- 若它的左子树不为空,则左子树上所有节点的值都小于根节点的值;
- 若它的右子树不为空,则右子树所有节点上的值都大于根节点的值;
- 它的左右子树也分别为二叉搜索树。
2、二叉搜索树操作

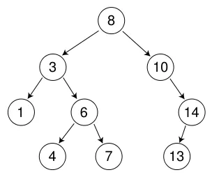
int arr[] = {8,3,1,10,6,4,7,14,13};
(1)二叉树的查找
a、从根开始比较,查找,比根大则往右边走查找,比根小则往左边走查找
b、最多查找高度次,走到空,还没找到,这个值不存在
(2)二叉树的插入
插入的具体过程:
a、树为空,则直接新增节点,赋值给root指针
b、树不为空,按二叉搜索树性质找插入位置,插入新节点

(3)二叉树的删除
首先查找元素是否在二叉搜索树中,如果不存在,则返回,否则要删除的节点可能分下面四种情况:
a、要删除的节点无孩子节点
b、要删除的节点只有左孩子节点
c、要删除的节点只有右孩子节点
d、要删除的节点有左、右孩子节点
看起来有待删除节点有四种情况,实际情况a可以与情况b或者c合并起来,因此真正的删除过程如下:
b、删除该节点且使被删除节点的双亲节点指向被删除节点的左孩子节点--直接删除
c、删除该节点且被删除节点的双亲节点指向被删除节点的右孩子节点--直接删除
d、在它的右子树中寻找中序下的第一个节点,用它的值填补到被删除节点中,再来处理该节点的删除问题--替换法删除

3、二叉搜索树的实现
cpp
template<class T>
struct BSTNode
{
BSTNode(const T& data = T())
: _pLeft(nullptr) , _pRight(nullptr), _data(data)
{}
BSTNode<T>* _pLeft;
BSTNode<T>* _pRight;
T _data;
};
template<class T>
class BSTree
{
typedef BSTNode<T> Node;
typedef Node* PNode;
public:
BSTree(): _pRoot(nullptr)
{}
// 同学们自己实现,与二叉树的销毁类似
~BSTree();
// 根据二叉搜索树的性质查找:找到值为data的节点在二叉搜索树中的位置
PNode Find(const T& data);
bool Insert(const T& data)
{
// 如果树为空,直接插入
if (nullptr == _pRoot)
{
_pRoot = new Node(data);
return true;
}
// 按照二叉搜索树的性质查找data在树中的插入位置
PNode pCur = _pRoot;
// 记录pCur的双亲,因为新元素最终插入在pCur双亲左右孩子的位置
PNode pParent = nullptr;
while (pCur)
{
pParent = pCur;
if (data < pCur->_data)
pCur = pCur->_pLeft;
else if (data > pCur->_data)
pCur = pCur->_pRight; // 元素已经在树中存在
else
return false;
}
// 插入元素
pCur = new Node(data);
if (data < pParent->_data)
pParent->_pLeft = pCur;
else
pParent->_pRight = pCur;
return true;
}
bool Erase(const T& data)
{
// 如果树为空,删除失败
if (nullptr == _pRoot)
return false;
// 查找在data在树中的位置
PNode pCur = _pRoot;
PNode pParent = nullptr;
while (pCur)
{
if (data == pCur->_data)
break;
else if (data < pCur->_data)
{
pParent = pCur;
pCur = pCur->_pLeft;
}
else
{
pParent = pCur;
pCur = pCur->_pRight;
}
}
// data不在二叉搜索树中,无法删除
if (nullptr == pCur)
return false;
// 分以下情况进行删除,同学们自己画图分析完成
if (nullptr == pCur->_pRight)
{
// 当前节点只有左孩子或者左孩子为空---可直接删除
}
else if (nullptr == pCur->_pRight)
{
// 当前节点只有右孩子---可直接删除
}
else
{
// 当前节点左右孩子都存在,直接删除不好删除,可以在其子树中找一个替代结点,
比如:
// 找其左子树中的最大节点,即左子树中最右侧的节点,或者在其右子树中最小的节点,即右子树中最小的节点
// 替代节点找到后,将替代节点中的值交给待删除节点,转换成删除替代节点
}
return true;
}
// 同学们自己实现
void InOrder();
private:
PNode _pRoot;
};
4、二叉搜索的应用
(1)、K模型:K模型即只有key作为关键码,结构中只需要存储key即可,关键码即为需要搜索到的值。
比如:给入一个单词。判断该单词是否拼写正确,具体方式如下:
- 以词库中所有单词集合中的每个单词作为key,构建一棵二叉搜索树
- 在二叉搜索树中检索该单词是否存在,存在则拼写正确,不存在则拼写错误
(2)、KV模型:每个关键码key,都有与之对应的值value,即<key,value>的键值对。该种方式在现实生活中非常常见: - 比如英汉词典就是英文与中文的对应关系,通过英文可以快速找到与其对应的中文,英文单词与其对应的中文<word,chinese>就构成一种键值对;
- 再比如统计单词次数,统计成功后,给定单词就可快速找到其出现的次数,单词与其出现次数就是<word,count>就构成一种键值对。
cpp
// 改造二叉搜索树为KV结构
template<class K, class V>
struct BSTNode
{
BSTNode(const K& key = K(), const V& value = V())
: _pLeft(nullptr) , _pRight(nullptr), _key(key), _Value(value)
{}
BSTNode<T>* _pLeft;
BSTNode<T>* _pRight;
K _key;
V _value
};
template<class K, class V>
class BSTree
{
typedef BSTNode<K, V> Node;
typedef Node* PNode;
public:
BSTree(): _pRoot(nullptr){}
PNode Find(const K& key);
bool Insert(const K& key, const V& value)
bool Erase(const K& key)
private:
PNode _pRoot;
};
void TestBSTree3()
{
// 输入单词,查找单词对应的中文翻译
BSTree<string, string> dict;
dict.Insert("string", "字符串");
dict.Insert("tree", "树");
dict.Insert("left", "左边、剩余");
dict.Insert("right", "右边");
dict.Insert("sort", "排序");
// 插入词库中所有单词
string str;
while (cin>>str)
{
BSTreeNode<string, string>* ret = dict.Find(str);
if (ret == nullptr)
{
cout << "单词拼写错误,词库中没有这个单词:" <<str <<endl;
}
else
{
cout << str << "中文翻译:" << ret->_value << endl;
}
}
}
void TestBSTree4()
{
// 统计水果出现的次数
string arr[] = { "苹果", "西瓜", "苹果", "西瓜", "苹果", "苹果", "西瓜",
"苹果", "香蕉", "苹果", "香蕉" };
BSTree<string, int> countTree;
for (const auto& str : arr)
{
// 先查找水果在不在搜索树中
// 1、不在,说明水果第一次出现,则插入<水果, 1>
// 2、在,则查找到的节点中水果对应的次数++
//BSTreeNode<string, int>* ret = countTree.Find(str);
auto ret = countTree.Find(str);
if (ret == NULL)
{
countTree.Insert(str, 1);
}
else
{
ret->_value++;
}
}
countTree.InOrder();
}
5、二叉搜索树的性能分析
插入和删除操作都必须先查找,查找效率代表了二叉搜索树中各个操作的性能。
对有n个节点的二叉搜索树,若每个元素查找的概率相等,则二叉树平均查找长度是节点在二叉树的深度的函数,即节点越深,则比较次数越多。
但对于同一个关键码集合,如果各关键码插入的次序不同,可能得到不同结构的二叉搜索树:

a、最优情况下,二叉搜索树为完全二叉树(或者接近完全二叉树),其平均比较次数为: l o g 2 N log_2N log2N
b、最差情况下,二叉搜索树退化为单支树(或者类似单支),其平均比较次数: N 2 \frac{N}{2} 2N
问题:如果退化成单支树,二叉搜索树的性能就失去了。那能否进行改进,不论按照什么次序插入关键码,二叉搜索树的性能都能达到最优?那么我们后续章节学习的AVL树和红黑树就可以上场了。
总结
二叉搜索树是连接基础数据结构与高级算法的重要桥梁。它不仅体现了"分治"思想的魅力,也为理解现代容器底层原理提供了入口。
虽然普通 BST 存在退化风险,但它的简洁性和逻辑清晰性使其成为学习平衡树的绝佳起点。