数据结构-并查集
🌟🌟hello,各位读者大大们你们好呀🌟🌟
🚀🚀系列专栏:【Qt的学习】
📝📝本篇内容:并查集概念;并查集的实现
⬆⬆⬆⬆上一篇:经典排序算法(五万字详解,全网最细)
💖💖作者简介:轩情吖,请多多指教(>> •̀֊•́ ) ̖́-
1.并查集概念
在一些应用问题中,需要将n个不同的元素划分成一些不相交的集合。开始时,每个元素自成一个单元素集合,然后按一定的规律将归于同一组元素的集合合并。在此过程中要反复用到查询某一个元素归属于那个集合的运算。适合于描述这类问题的抽象数据类型称为并查集(union-find set),可以把它看做是一个森林,每一个集合是树。
例如刚开学,有好多的新同学,大家一开始都不认识,因此各自一个集合,给每个同学编号,即0-9,数组中的数字代表该小集体中具有的成员个数
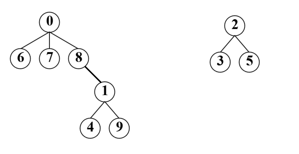
接下来随着小组作业要分组,大家就开始认识了,并且选出了组长0,1,2,下面是集合用树型表示的方法
在数组上反应就是像上图一样的情况,并且我们对它进行实现的时候,也是通过vector来实现的。
通过观察上面的数组我们可以发现:
①数组的下标对应集合中元素的编号
②数组中如果为负数,负号代表根结点,数字代表该集合中的元素个数
③数组中如果为非负数,代表该元素的双亲在数组中的下标
当然还是有可能继续合并成一个集合,这这种情况下,原本作为组长的1变成了0的组员,那么它的对应下标存储的内容应该加到0下标的位置上去,使得0成为根结点,0集合中一共有7个结点,而1下标所存储的内容应该变成它的父结点0
2.并查集的实现
cpp
#pragma once
#include <vector>
using namespace std;
class UnionFindSet
{
public:
UnionFindSet(size_t size)//构造函数
:_ufs(size, -1)//10个位置初始化为-1
{}
//找根结点
size_t FindRoot(int x)
{
int parent = x;
while (_ufs[parent] >= 0)//循环找到根
{
parent = _ufs[parent];
}
//进行压缩优化
int root = parent;
while (_ufs[x] >= 0)//将祖先结点都进行调整为根节点的子结点
{
int x_parent = _ufs[x];
_ufs[x] = root;
x = x_parent;
}
return parent;//返回根结点
}
//并集
void Union(int x1, int x2)
{
int root1 = FindRoot(x1);
int root2 = FindRoot(x2);
if (InSet(x1, x2))//如果已经在一个集合里了
{
return;
}
else
{
//优化,控制数量小的往大的集合合并
if (abs(_ufs[root1]) < abs(_ufs[root2]))
{
swap(root1, root2);
}
_ufs[root1] += _ufs[root2];
_ufs[root2] = root1;
}
}
//有几个集合
size_t setCount()
{
size_t count = 0;
for (int i = 0; i < _ufs.size(); i++)
{
if (_ufs[i] < 0)//<0的都是根
{
count++;
}
}
return count;
}
//在不在一个集合
bool InSet(int x1, int x2)
{
return FindRoot(x1) == FindRoot(x2);
}
private:
vector<int> _ufs;//并查集
};
cpp
#define _CRT_SECURE_NO_WARNINGS 1
#include <iostream>
#include "UnionFindSet.hpp"
using namespace std;
int main()
{
UnionFindSet s(10);
/*cout << s.FindRoot(7) << endl;
cout << s.FindRoot(9) << endl;
s.Union(7, 9);
cout << s.FindRoot(7) << endl;
cout << s.FindRoot(9);*/
//根结点没有变化,一直是9--没有优化
/*s.Union(9, 8);
s.Union(8, 7);
s.Union(7, 6);
s.Union(6, 5);
s.Union(5, 4);
s.Union(4, 3);
s.Union(3, 2);
s.Union(2, 1);*/
//根结点不停地发生了变化-根结点为合并本身
s.Union(8, 9);
s.Union(7, 8);
s.Union(6, 7);
s.Union(5, 6);
s.Union(4, 5);
s.Union(3, 4);
s.Union(2, 3);
s.Union(1, 2);
s.FindRoot(9);//没有合并中的优化就需要手动使用FindRoot中的优化来降低深度
return 0;
}
这里主要是要讲一下它的压缩优化情况,这个地方主要是为了优化"单支树"的情况包括深度太深,使得所有的结点变成根结点的子结点。当我们只要FindRoot这个函数就会进行优化
第二个优化的地方是为了降低深度,如下面第二张图,并且能够在FindRoot中的优化没有起效果的时候(示例中的根结点为合并本身的情况),进行优化"单支树"的情况来降低深度
如图,为的是希望在合并时,是右边合并到左边,这样就不会使得深度更深。
但是并不是说有了第二个优化就可以不需要第一个优化了,当两棵树(两个集合)都不止有一个元素时,想要更好的优化,就需要通过第一个优化方式,进行挨个压缩到与根结点进行相连,因此两个优化是相辅相成的,总得来说优化就是为了降低深度,提高查找根结点的效率。
🌸🌸数据结构-并查集大概就讲到这里啦,博主后续会继续更新更多Qt的相关知识,干货满满,如果觉得博主写的还不错的话,希望各位小伙伴不要吝啬手中的三连哦!如有小伙伴需要Qt的安装包可以私信我,你们的支持是博主坚持创作的动力!💪💪







