文章摘要:
本文介绍了验证二叉搜索树(BST)的两种解法。解法一通过中序遍历存入数组检查有序性,但因内存消耗大被否决。解法二采用全局变量记录前驱节点值,递归判断左右子树和当前节点是否符合BST定义,并通过剪枝优化提前终止无效递归。关键点在于初始化前驱值为极小值(Long.MIN_VALUE)以避免边界问题,最终实现高效验证。
一、题目解析
根据所学,二叉搜索树(Binary Search Tree,后文的BST即代表二叉搜索树)的定义是:或者是一个空树/空节点,或者是满足以下性质的二叉树:
- 节点的左子树的值小于根节点的值
- 节点的右子树的值大于根节点的值
- 每一个节点的左子树和右子树都是二叉搜索树
而且BST的一个重要特性就是中序遍历的结果是一个有序的序列。

二、算法原理与代码实现
解法一(数组)
利用前面提到的性质,我们可以试着解这道题目:
- 中序遍历二叉树,将遍历到的节点的值存入数组中
- 遍历完成后,检查一下数组中的元素是否有序,若有序则返回true,否则返回false
这个解法看似可行,实则不然~

题目所给的节点数量将会非常大 ,这意味着,为了检查中序遍历的结果而创建的数组的长度也会非常大 ,这样非常消耗内存空间,因此该解法不可行。
解法二(全局变量)
我们采用维护全局变量的方式来解决。
定义一个全局变量prev,用于记录中序遍历时某节点的前驱节点的值,然后在递归过程中,对自身的值进行判断的时候(顺序:左 -> 自身 -> 右)就将节点的值与prev进行比较即可(就像前后双指针),当val > prev,该子树是BST,否则不是BST。
具体细节如下:
- 初始化prev为无穷小值,注意数据的范围
- 中序遍历:按照左中右的顺序,先判断左子树是否为BST,接着判断自身(比较val和prev的大小),然后判断右子树是否为BST
- 判断自身的细节:将prev与val比较,若val > prev,表示当前节点是BST,
然后将prev的值更新成val;若val < prev,则当前节点不是BST,返回false。 - 当遇到空节点的时候,认为是BST,返回true

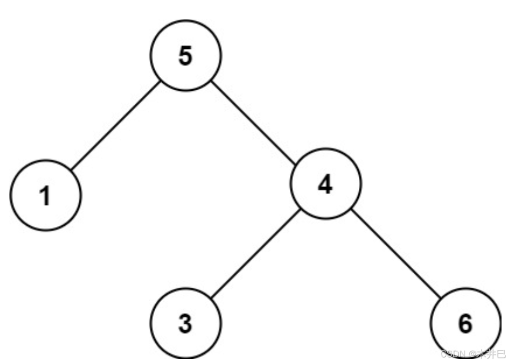
模拟过程:
- 从根节点5开始进行中序遍历,此时将prev初始化为无穷小值。对于根节点5,先判断其左子树是否为BST
- 来到第一层根节点5的左子节点1,对于该节点1,先判断其左子树是否为BST
- 来到第二层节点1的左子节点null,此时遇到空节点,返回true
- 回到第二层节点1处,接下来判断自身,将prev(无穷小)与节点1的val进行比较,显然节点1的值 > prev,则节点1是BST,然后将prev的值更新为节点1的val,返回true
- 回到第一层根节点5处,此时其左子节点1已接受判断并确认为BST,接下来判断自身,将prev(1)与根节点5的val进行比较,根节点5的val > prev(1),则根节点5是BST,记录为true,然后将prev的值更新为根节点5的val。接着判断根节点5的右子树是否为BST
- 来到第一层根节点5的右子节点4,对于该节点先判断左子树是否为BST
- 来到第二层节点4的左子节点3,对于该节点先判断左子树是否为BST
- 来到第三层节点3的左子节点null,此时遇到空节点,返回true
- 回到第三层节点3处,接下来判断自身,将prev(5)与节点3的val进行比较,显然节点3的值 < prev(5),故节点3不是BST,返回false
- 回到第二层节点4处,此时其左子节点3已接受判断并已确认不是BST,接下来判断自身,将prev(5)与节点4的val进行比较,节点4的val < prev(5),故节点4也不是BST,记录为false。接着判断节点4的右子树是否为BST
- 来到第二层节点4的右子节点6,对于该节点先判断其左子树,为null,是BST。接下来判断自身,将prev(5)与节点6的val进行比较,节点6的val > prev(5),记录为true,并返回true
- 回到第二层节点4处,需要返回最终判断结果,当左子树、自身和右子树都满足BST的条件才返回true,否则返回false。对于节点4,其左子节点3不是BST,因此最终返回false
- 回到第一层根节点5处,需要返回最终判断结果。其右子树4不是BST,因此最终返回false
- 遍历完成,结果是false
需要注意的细节是数据的范围,prev我们初始化为Integer的最小值的时候,发现并不能够通过题目,原因是val可能刚好也是Integer的最小值(即-2³¹):

将prev改成Long的最小值(-2⁶³)即可。
代码实现如下:
Java
class Solution {
long prev = Long.MIN_VALUE;
public boolean isValidBST(TreeNode root) {
// 递归出口
if (root == null) return true;
// 判断左子树
boolean left = isValidBST(root.left);
// 判断自身val
boolean cur = false;
if (root.val > prev) cur = true;
prev = root.val;
// 判断右子树
boolean right = isValidBST(root.right);
// 返回
return (left && cur && right);
}
}
解法三(剪枝)
在刚刚的例子中,有两个情况可以直接得出结果:就是节点3和节点4不是BST的时候,可以直接一直返回false。因为一旦有一个节点不是BST,整个二叉树就不是BST,剩余的节点不管是否BST都不会影响到最终结果。
我们称已知某些情况下的操作无需再进行,以加快搜索的效率 这个操作为剪枝。
对解法二进行剪枝优化:
- 当判断完左子树时,检查一下返回值,若为false表示节点不是BST,这时候无需再判断自身val和右子树,可以直接返回到最终结果
- 当左子树已经确定是BST,并且判断完成自身时,检查一下记录的布尔值,若为false表示该节点不是BST,同样也无需再判断右子树,直接返回到最终结果
剪枝优化代码如下:
Java
class Solution {
long prev = Long.MIN_VALUE;
public boolean isValidBST(TreeNode root) {
// 递归出口
if (root == null) return true;
// 判断左子树
boolean left = isValidBST(root.left);
// 剪枝
if (left == false) return false;
// 判断自身val
boolean cur = false;
if (root.val > prev) cur = true;
prev = root.val;
// 剪枝
if (cur == false) return false;
// 判断右子树
boolean right = isValidBST(root.right);
// 返回
return (left && cur && right);
}
}
完