提升树 (Boosting Decision Tree )
• 思想
• 通过拟合残差的思想来进行提升
• 残差:真实值 - 预测值
• 生活中的例子
• 预测某人的年龄为100岁
• 第1次预测:对100岁预测,预测成80岁;100 -- 80 = 20(残差)
• 第2次预测:上一轮残差20岁作为目标值,预测成16岁;20 -- 16 = 4 (残差)
• 第3次预测:上一轮的残差4岁作为目标值,预测成3.2岁;4 -- 3.2 = 0.8(残差)
• 若三次预测的结果串联起来: 80 + 16 + 3.2 = 99.2
通过拟合残差可将多个弱学习器组成一个强学习器,这就是提升树的最朴素思想
梯度提升树 (Gradient Boosting Decision Tree)
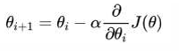
梯度提升树不再拟合残差,而是利用梯度下降的近似方法,利用损失函数的负梯度作为提升树算法中的残差近似值。
假设:
1.前一轮迭代得到的强学习器是:
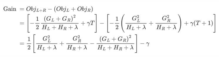
2.损失函数为平方损失是:
3.本轮迭代的目标是找到一个弱学习器:
4.让本轮的损失最小化:
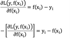
5.则要拟合的负梯度为:

GBDT 拟合的负梯度就是残差。如果我们的 GBDT 进行的是分类问题,则损失函数变为 logloss,此时拟合的 目标值就是该损失函数的负梯度值
例:

初始化弱学习器(CART树):
当模型预测值为何值时,会使得第一个弱学习器的平方误差最小,即:求损失函数对 f(𝑥𝑖) 的导数,并令导数为0.

从公式可得:初始化树桩输出值为目标值的均值时, 可使得第一个弱学习器的平方误差最小。10个样本,均值:7.31。
1、构建第1个弱学习器,根据负梯度的计算方法得到下表:

当1.5为切分点:拟合负梯度 5.56 - 7.31 = -1.75, 5.7 - 7.31 = -1.61, -1.40, -0.91, ... , 1.74
左子树:1个样本 -1.75, 右子树9个样本:-1.61,-1.40,-0.91...
左子树均值为:- 1.75/1 = -1.75;右子树均值为:((-1.61) + (-1.40)+(-0.91)+(-0.51)+(-0.26)+1.59 +1.39 + 1.69 + 1.74 )/9 = 0.19
计算平方损失:左子树(-1.75+1.75)^2 + 右子树:(-1.61-0.19)^2 + (-1.40-0.19)^2 + (-0.91-0.19)^2 + (-0.51-0.19)^2 +(-0.26-0.19)^2 + (1.59-0.19)^2 + (1.39-0.19)^2 + (1.69-0.19)^2 + (1.74-0.19)^2 = 15.72308

2、当 6.5 作为切分点时,平方损失最小,此时得到第1棵决策树
大于6.5,7~10输出:(1.59 + 1.39 + 1.69 + 1.74)/ 4 = 1.6025
小于6.5,1~6输出:(-1.75 - 1.61 - 1.4 - 0.91 - 0.51 - 0.26) / 6 = -1.07

3、 构建第2个弱学习器

4、以3.5 作为切分点时,平方损失最小,此时得到第2棵决策树

5、 构建第3个弱学习器

6、以6.5 作为切分点时,平方损失最小,此时得到第3棵决策树

7、构建最终弱学习器

以x=6样本为例:输入到最终学习器中的结果 :7.31 + (-1.07) + 0.22 + 0.15 = 6.61
梯度提升树的构建流程
1 初始化弱学习器(目标值的均值作为预测值)
2 迭代构建学习器,每一个学习器拟合上一个学习器的负梯度
3 直到达到指定的学习器个数
4 当输入未知样本时,将所有弱学习器的输出结果组合起来作为强学习器的输出
例一:
python
# 1.导入依赖包
import pandas as pd
from sklearn.model_selection import train_test_split, GridSearchCV
from sklearn.tree import DecisionTreeClassifier
from sklearn.ensemble import GradientBoostingClassifier
from sklearn.metrics import accuracy_score
def dm01():
# 2.读取数据
taitan_df = pd.read_csv('./data/titanic/train.csv')
# 3.数据基本处理准备
# 3.1 获取x y
x = taitan_df[[
'Pclass',
'Age',
'Sex',
'SibSp',
'Parch',
'Fare',
'Embarked'
]].copy()
y = taitan_df['Survived'].copy()
# 3.2 缺失值处理
x['Age'].fillna(x['Age'].mean(), inplace=True)
# 3.3 pclass离散型数据需one-hot编码
x = pd.get_dummies(x)
# 3.4 数据集划分
x_train, x_test, y_train, y_test = train_test_split(x, y, random_state=22, test_size=0.2)
# 4.GBDT 训练和评估
estimator = GradientBoostingClassifier()
estimator.fit(x_train, y_train)
mysorce = estimator.score(x_test, y_test)
print("gbdt mysorce-->1", mysorce)
# 5.GBDT 网格搜索交叉验证
estimator = GradientBoostingClassifier()
param = {
"n_estimators": [100, 110, 120, 130],
"max_depth": [4, 6, 8, 10],
"random_state": [9]
}
estimator = GridSearchCV(estimator, param_grid=param, cv=3)
estimator.fit(x_train, y_train)
mysorce = estimator.score(x_test, y_test)
print("gbdt mysorce-->2", mysorce)
print(estimator.best_estimator_)
dm01()
执行结果
python
gbdt mysorce-->1 0.7988826815642458
gbdt mysorce-->2 0.8268156424581006
GradientBoostingClassifier(max_depth=4, random_state=9)
XGBoost (eXtreme Gradient Boosting)
• 极端梯度提升树,集成学习方法的王牌,在数据挖掘比赛中,大部分获胜者用了XGBoost。
• XGBoost的构建思想:

1、构建模型的方法是最小化训练数据的损失函数

训练的模型复杂度较高,易过拟合。
2、在损失函数中加入正则化项

提高对未知的测试数据的泛化性能 。
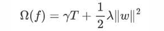
XGBoost(Extreme Gradient Boosting)是对GBDT的改进,并且在损失函数中加入了正则化项

• 正则化项用来降低模型的复杂度

• γT 中的 T 表示一棵树的叶子结点数量。
• λ||w||2中的 w 表示叶子结点输出值组成的向量,||w|| 向量的模;λ对该项的调节系数。
假设我们要预测一家人对电子游戏的喜好程度,考虑到年轻和年老相比,年轻更可能喜欢电子游戏,以及男性和女 性相比,男性更喜欢电子游戏,故先根据年龄大小区分小孩和大人,然后再通过性别区分开是男是女,逐一给各人 在电子游戏喜好程度上打分:

训练出tree1和tree2,类似之前GBDT的原理,两 棵树的结论累加起来便是最终的结论

树tree1的复杂度表示为

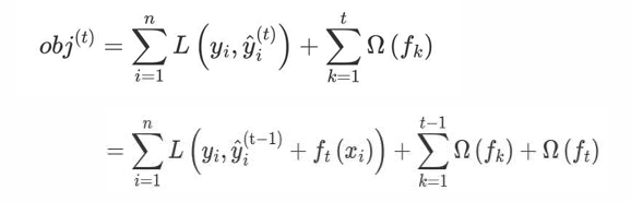
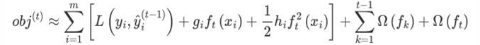
进行t次迭代的学习模型的目标函数如下为:

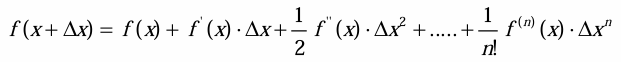
直接对目标函数求解比较困难,通过泰勒展开将目标函数换一种近似的表示方式
•泰勒展开

将一个函数在某一点处展开成无限项的多项式表达式

•一阶泰勒展开

•二阶泰勒展开

• 目标函数对
进行泰勒二阶展开,得到如下近似表示的公式

• 其中gi和 hi的分别为损失函数的一阶导、二阶导:

• 观察目标函数,发现以下两项表示t-1个弱学习器构成学习器的目标函数,都是常数,我们可以将其去掉:

从样本角度转为按照叶子节点输出角度,优化损失函数

-
gi 表示每个样本的一阶导,hi表示每个样本的二阶导
-
ft(xi) 表示样本的预测值
-
T 表示叶子结点的数目
4.||w||2 由叶子结点值组成向量的模
举个例子:请计算10样本在叶子结点上的输出表示

例如:m=10 个样本,落在 D 结点 3 个样本,落在 E 结点 2 个样本,落在 F 结点 2 个样本,落在 G 结点 3 个样本;计算 gi∗ft 𝑥3 的表达形式如下:

目标函数中的各项可以做以下转换:


• 求损失函数最小值

目标函数最终为:

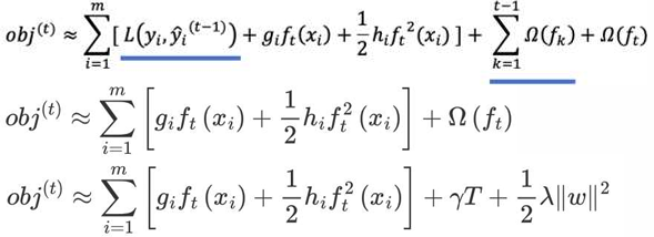
该公式也叫做打分函数 (scoring function),从损失函数、树的复杂度两个角度来衡量一棵树的优劣。当我们构建树时,可以用来 选择树的划分点,具体操作如下式所示:

根据上一页PPT中计算的Gain值:
1.对树中的每个叶子结点尝试进行分裂
2.计算分裂前 -分裂后的分数:
-
如果Gain > 0,则分裂之后树的损失更小,会考虑此次分裂
-
如果Gain< 0,说明分裂后的分数比分裂前的分数大,此时不建议分裂
3.当触发以下条件时停止分裂:
-
达到最大深度
-
叶子结点数量低于某个阈值
-
所有的结点在分裂不能降低损失
-
等等..
XGBoost详细数学计算示例
1. 数据集准备
假设我们有4个样本,一个特征值x,对应目标值y:
| 样本 | x | y |
|---|---|---|
| 1 | 1 | 15 |
| 2 | 2 | 20 |
| 3 | 3 | 25 |
| 4 | 4 | 30 |
使用平方损失函数:

2. 超参数设置
-
树的数量:2棵(K=2)
-
学习率:η = 0.3
-
正则化参数:λ = 1,γ = 0
-
每棵树的最大深度:2层
-
初始预测:所有样本预测为平均值
3. 第一棵树(t=1)的构建
3.1 初始化和梯度计算
初始预测:所有样本预测值为均值

计算一阶导数和二阶导数(对于平方损失函数):

计算结果:
| 样本 | y | y^(0) | g_i | h_i |
|---|---|---|---|---|
| 1 | 15 | 22.5 | 7.5 | 1 |
| 2 | 20 | 22.5 | 2.5 | 1 |
| 3 | 25 | 22.5 | -2.5 | 1 |
| 4 | 30 | 22.5 | -7.5 | 1 |
3.2 寻找第一个分裂点
根节点包含所有4个样本。计算根节点的统计量:

尝试在x=1.5处分裂(介于样本1和2之间):
- 左子节点(x≤1.5):样本1

- 右子节点(x>1.5):样本2,3,4

计算增益(Gain):

尝试在x=2.5处分裂(介于样本2和3之间):
-
左子节点(x≤2.5):样本1,2

-
右子节点(x>2.5):样本3,4

计算增益:

尝试在x=3.5处分裂(介于样本3和4之间):
- 左子节点(x≤3.5):样本1,2,3

- 右子节点(x>3.5):样本4

计算增益:

选择最大增益:x=2.5处增益最大(33.333),因此在此处分裂。
3.3 继续分裂左子节点
左子节点包含样本1和2,统计量:

尝试在x=3.5处分裂:
- 右左节点(x≤3.5):样本3

- 右右节点(x>3.5):样本4

计算增益:

增益为负,不分裂。右子节点成为叶子节点。
3.5 计算叶子节点权重
现在树结构已确定:根节点在x=2.5处分裂,生成两个叶子节点。
左叶子节点(样本1和2):

右叶子节点(样本3和4):

3.6 更新预测值
学习率η = 0.3
对于每个样本:
- 样本1(落入左叶子):

- 样本2(落入左叶子):

- 样本3(落入右叶子):

- 样本4(落入右叶子):

4. 第二棵树(t=2)的构建
4.1 计算梯度统计量
基于第一棵树后的预测值:
| 样本 | y | y^(1)y^(1) | g_i = y^(1)−yiy^(1)−yi | h_i = 1 |
|---|---|---|---|---|
| 1 | 15 | 21.5 | 6.5 | 1 |
| 2 | 20 | 21.5 | 1.5 | 1 |
| 3 | 25 | 23.5 | -1.5 | 1 |
| 4 | 30 | 23.5 | -6.5 | 1 |
4.2 寻找第一个分裂点
根节点统计量:

尝试在x=2.5处分裂:
- 左子节点:样本1,2

- 右子节点:样本3,4

计算增益:

4.3 继续分裂
左子节点和右子节点的进一步分裂:
- 1,2左子节点在x=1.5处分裂的增益:


增益为正,继续分裂。
- 3,4右子节点在x=3.5处分裂的增益:


增益为正,继续分裂。
4.4 计算叶子节点权重
最终树结构:根节点在x=2.5处分裂,左子节点在x=1.5处分裂,右子节点在x=3.5处分裂。
四个叶子节点的权重:

4.5 更新最终预测值
学习率η = 0.3
- 样本1

- 样本2

- 样本3

- 样本4

5. 最终结果总结
两棵树后的预测值与真实值对比:
| 样本 | x | 真实值y | 初始预测 | 第一棵树后 | 第二棵树后 |
|---|---|---|---|---|---|
| 1 | 1 | 15 | 22.5 | 21.5 | 20.525 |
| 2 | 2 | 20 | 22.5 | 21.5 | 21.275 |
| 3 | 3 | 25 | 22.5 | 23.5 | 23.725 |
| 4 | 4 | 30 | 22.5 | 23.5 | 24.475 |
损失变化:

例红酒品质分类
已知 数据集共包含 11 个特征,共计 3269 条数据. 我们通过训练模型来预测红酒的品质, 品质共有 6个类别, 分别使用数字:0、1、2、3、4、5 来表示

• 需求:对红酒品质进行多分类
• 分析:从数据可知 1、目标是多分类 2、数据存在样本不均衡问题
代码
python
# 1.导入依赖包
import joblib
import numpy as np
import pandas as pd
from xgboost import XGBClassifier
from collections import Counter
from sklearn.model_selection import train_test_split
from sklearn.metrics import classification_report
from sklearn.model_selection import StratifiedKFold
def dm01():
# 2.数据读取及基本数据处理
# 2.1 加载训练集
data = pd.read_csv('./data/红酒品质分类.csv')
# 2.2 数据预处理
x = data.iloc[:, :-1]
y = data.iloc[:, -1] - 3
# 2.3 数据集划分
x_train, x_test, y_train, y_test = train_test_split(x, y, test_size=0.2, random_state=40)
# 2.4 数据存储,axis=1按列水平拼接
pd.concat([x_train, y_train], axis=1).to_csv('data/红酒品质分类-train.csv')
pd.concat([x_test, y_test], axis=1).to_csv('data/红酒品质分类-test.csv')
def dm02():
# 2.数据读取及预处理
# 2.1 加载数据集
train_data = pd.read_csv('./data/红酒品质分类-train.csv')
test_data = pd.read_csv('./data/红酒品质分类-test.csv')
# 2.2 准备数据 训练集测试集
x_train = train_data.iloc[:, :-1]
y_train = train_data.iloc[:, -1]
x_test = test_data.iloc[:, :-1]
y_test = test_data.iloc[:, -1]
print(x_train.shape, y_train.shape, x_test.shape, y_test.shape)
# 3.XGBoost模型训练
estimator = XGBClassifier(
n_estimators=100,
objective='multi: softmax',
eval_metric='merror',
eta=0.1,
# use_label_encoder=False,
random_state=22,
)
estimator.fit(x_train, y_train)
# 4.XGBoost模型预测及评估
y_pred = estimator.predict(x_test)
print(classification_report(y_true=y_test, y_pred=y_pred, zero_division=0))
print(estimator.score(x_test, y_test))
# 5.模型保存
joblib.dump(estimator, './data/mymodelxgboost.pth')
# 1.导入依赖包
from sklearn.utils import class_weight
def dm03():
# 2.数据读取及数据预处理
# 2.1 加载数据集
train_data = pd.read_csv('./data/红酒品质分类-train.csv')
test_data = pd.read_csv('./data/红酒品质分类-test.csv')
# 2.2 准备数据 训练集测试集
x_train = train_data.iloc[:, :-1]
y_train = train_data.iloc[:, -1]
x_test = test_data.iloc[:, :-1]
y_test = test_data.iloc[:, -1]
print(x_train.shape, y_train.shape, x_test.shape, y_test.shape)
# 2.3 样本不均衡问题处理
classes_weights = class_weight.compute_sample_weight(class_weight='balanced', y=y_train)
# 3.XGBoost模型训练
estimator = XGBClassifier(
# n_estimators=150,
# objective='multi: softmax',
# eval_metric='merror',
# eta=0.1,
# # use_label_encoder=False,
# random_state=22,
)
# 训练的时候,指定样本的权重
estimator.fit(x_train, y_train, sample_weight=classes_weights)
# estimator.fit(x_train, y_train)
# 4.XGBoost模型预测及评估
y_pred = estimator.predict(x_test)
print(classification_report(y_true=y_test, y_pred=y_pred, zero_division=0))
# 1.导入依赖包
from sklearn.model_selection import StratifiedKFold
from sklearn.model_selection import GridSearchCV
def dm04():
# 2.读取数据及数据预处理
# 2.1 加载数据集
train_data = pd.read_csv('./data/红酒品质分类-train.csv')
test_data = pd.read_csv('./data/红酒品质分类-test.csv')
# 2.2 准备数据 训练集测试集
x_train = train_data.iloc[:, :-1]
y_train = train_data.iloc[:, -1]
x_test = test_data.iloc[:, :-1]
y_test = test_data.iloc[:, -1]
print(x_train.shape, y_train.shape, x_test.shape, y_test.shape)
# 2.3 交叉验证时,采用分层抽取
spliter = StratifiedKFold(n_splits=5, shuffle=True)
# 3.模型训练
# 3.1 定义超参数
param_grid = {
'max_depth': np.arange(3, 5, 1),
'n_estimators': np.arange(50, 150, 50),
'eta': np.arange(0.1, 1, 0.3)
}
# 3.2实例化XGBoost
estimator = XGBClassifier(
learning_rate=0.05,
n_estimators=100,
objective='multi: softmax',
eval_metric='merror',
eta=0.1,
random_state=22
)
# 3.3 实例化cv工具
estimator = GridSearchCV(
estimator=estimator,
param_grid=param_grid,
cv=spliter
)
# 3.4 训练模型
estimator.fit(x_train, y_train)
# 4.模型预测及评估
y_pred = estimator.predict(x_test)
print(classification_report(y_true=y_test, y_pred=y_pred, zero_division=0))
print('estimator.best_estimator_ -->', estimator.best_estimator_)
print('estimator.best_params_ -->', estimator.best_params_)
dm01()
dm02()
dm03()
dm04()
执行结果
(1279, 12) (1279,) (320, 12) (320,)
precision recall f1-score support
0 0.00 0.00 0.00 3
1 0.00 0.00 0.00 8
2 0.77 0.86 0.82 136
3 0.68 0.74 0.71 125
4 0.70 0.50 0.58 42
5 0.00 0.00 0.00 6
accuracy 0.72 320
macro avg 0.36 0.35 0.35 320
weighted avg 0.69 0.72 0.70 320
0.721875
(1279, 12) (1279,) (320, 12) (320,)
precision recall f1-score support
0 0.00 0.00 0.00 3
1 0.00 0.00 0.00 8
2 0.77 0.79 0.78 136
3 0.66 0.70 0.68 125
4 0.58 0.52 0.55 42
5 0.00 0.00 0.00 6
accuracy 0.68 320
macro avg 0.34 0.34 0.34 320
weighted avg 0.66 0.68 0.67 320
(1279, 12) (1279,) (320, 12) (320,)
precision recall f1-score support
0 0.00 0.00 0.00 3
1 0.00 0.00 0.00 8
2 0.72 0.83 0.77 136
3 0.63 0.70 0.66 125
4 0.60 0.36 0.45 42
5 0.00 0.00 0.00 6
accuracy 0.67 320
macro avg 0.33 0.31 0.31 320
weighted avg 0.63 0.67 0.65 320
estimator.best_estimator_ --> XGBClassifier(base_score=None, booster=None, callbacks=None,
colsample_bylevel=None, colsample_bynode=None,
colsample_bytree=None, device=None, early_stopping_rounds=None,
enable_categorical=False, eta=0.1, eval_metric='merror',
feature_types=None, gamma=None, grow_policy=None,
importance_type=None, interaction_constraints=None,
learning_rate=0.05, max_bin=None, max_cat_threshold=None,
max_cat_to_onehot=None, max_delta_step=None, max_depth=4,
max_leaves=None, min_child_weight=None, missing=nan,
monotone_constraints=None, multi_strategy=None, n_estimators=100,
n_jobs=None, num_parallel_tree=None, ...)
estimator.best_params_ --> {'eta': 0.1, 'max_depth': 4, 'n_estimators': 100}