【LetMeFly】1382.将二叉搜索树变平衡:分治------求得所有节点再重新建树
力扣题目链接:https://leetcode.cn/problems/balance-a-binary-search-tree/
给你一棵二叉搜索树,请你返回一棵 平衡后 的二叉搜索树,新生成的树应该与原来的树有着相同的节点值。如果有多种构造方法,请你返回任意一种。
如果一棵二叉搜索树中,每个节点的两棵子树高度差不超过 1 ,我们就称这棵二叉搜索树是 平衡的 。
示例 1:

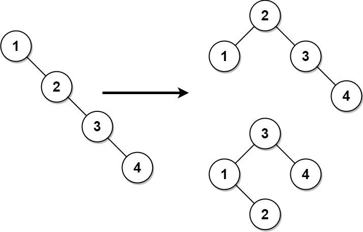
输入:root = [1,null,2,null,3,null,4,null,null]
输出:[2,1,3,null,null,null,4]
解释:这不是唯一的正确答案,[3,1,4,null,2,null,null] 也是一个可行的构造方案。
示例 2:

输入: root = [2,1,3]
输出: [2,1,3]
提示:
- 树节点的数目在
[1, 104]范围内。 1 <= Node.val <= 105
解题方法:分治
题目给定的二叉搜索树有何特征?
二叉搜索树的中序遍历结果是有序的。
平衡二叉树有何特征?
任一节点左右子树高度差不超过 1 1 1
一个有序节点数组如何建成平衡二叉树?
取数组中点作为根节点,中点左边数组作为左子树,中点右边节点作为右子树,递归建树。
Over。
- 时间复杂度 O ( s i z e ( t r e e ) ) O(size(tree)) O(size(tree))
- 空间复杂度 O ( s i z e ( t r e e ) ) O(size(tree)) O(size(tree))
AC代码
C++
cpp
/*
* @LastEditTime: 2026-02-09 23:21:12
*/
/*
1 2 3 4 5 6 7 8 9
5
2 7
1 3 6 8
4 9
*/
class Solution {
private:
vector<TreeNode*> nodes;
void dfs(TreeNode* node) {
if (!node) {
return;
}
dfs(node->left);
nodes.push_back(node);
dfs(node->right);
}
TreeNode* build(int l, int r) {
if (l >= r) {
return nullptr;
}
int mid = (l + r) >> 1;
TreeNode* root = nodes[mid];
root->left = build(l, mid);
root->right = build(mid + 1, r);
return root;
}
public:
TreeNode* balanceBST(TreeNode* root) {
dfs(root);
return build(0, nodes.size());
}
};
#if defined(_WIN32) || defined(__APPLE__)
/*
[1,null,2,null,3,null,4]
*/
int main() {
string s;
while (cin >> s) {
TreeNode* root = stringToTree(s);
cout << "original tree: " << root << endl;
Solution sol;
root = sol.balanceBST(root);
deleteTree(root);
}
return 0;
}
#endif
同步发文于CSDN和我的个人博客,原创不易,转载经作者同意后请附上原文链接哦~
千篇源码题解已开源