中等
给你一个二叉树的根节点 root ,判断其是否是一个有效的二叉搜索树。
有效 二叉搜索树定义如下:
- 节点的左子树只包含严格小于 当前节点的数。
- 节点的右子树只包含 严格大于 当前节点的数。
- 所有左子树和右子树自身必须也是二叉搜索树。
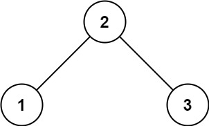
示例 1:

输入:root = [2,1,3]
输出:true
示例 2:

输入:root = [5,1,4,null,null,3,6]
输出:false
解释:根节点的值是 5 ,但是右子节点的值是 4 。
提示:
- 树中节点数目范围在
[1, 104]内 -231 <= Node.val <= 231 - 1
📝 核心笔记:验证二叉搜索树 (Validate BST)
1. 核心思想 (一句话总结)
"给每个节点画一个圈:你必须活在祖先给你划定的界限(min, max)里。"
- BST 的定义 :不仅左儿子要小于爸爸,左子树的所有节点都要小于爸爸。
- 策略:
-
- 往 左 走:上界变紧(不能超过当前节点值),下界不变。
- 往 右 走:下界变紧(必须大于当前节点值),上界不变。
2. 算法流程 (区间收缩)
- 初始化 :根节点的范围是无穷大
(Long.MIN, Long.MAX)。 - 当前检查:
-
node.val必须严格大于left。node.val必须严格小于right。- 如果不满足,直接
false。
- 递归传递:
-
isValidBST(node.left, left, node.val):左孩子的最大值被限制在node.val。isValidBST(node.right, node.val, right):右孩子的最小值被限制在node.val。
🔍 代码回忆清单
// 题目:LC 98. Validate Binary Search Tree
class Solution {
public boolean isValidBST(TreeNode root) {
// 1. 初始范围:使用 Long 防止 int 溢出
// 如果树里有一个节点是 Integer.MAX_VALUE,用 int 作为边界就会判断错误
return isValidBST(root, Long.MIN_VALUE, Long.MAX_VALUE);
}
private boolean isValidBST(TreeNode node, long left, long right) {
// 2. Base Case: 空节点被认为是合法的 BST
if (node == null) {
return true;
}
long x = node.val;
// 3. 核心判断:当前值是否在 (min, max) 开区间内
// 注意 BST 通常定义为严格小于/大于,所以不能有等号
return left < x && x < right &&
// 4. 递归检查左右子树,同时更新边界
isValidBST(node.left, left, x) && // 往左走,天花板变成 x
isValidBST(node.right, x, right); // 往右走,地板变成 x
}
}
⚡ 快速复习 CheckList (易错点)
-
\] **为什么用** **long****?**
-
- 面试必问 。如果根节点是
2147483647(Integer.MAX_VALUE)。 - 如果用
int max = Integer.MAX_VALUE,那么右子树的判断逻辑val < max对于最大整数会失效(或者很难区分是边界还是节点值)。用long可以轻松包容所有int。
- 面试必问 。如果根节点是
-
\] **局部 vs 全局?**
-
-
初学者最容易犯的错是只写
if (root.left.val < root.val)。 -
反例:
5
/
1 4 <-- 4 比 5 小,但它在右边!错误!
/
3 6
-
-
- 您的代码通过传递
left和right参数,成功阻止了4出现在5的右边(因为右边节点的下界必须是 5)。
- 您的代码通过传递
🖼️ 数字演练
树:
5
/ \
1 7
/ \
4 8
- Check 5 : Range
(-inf, +inf). OK.
-
- Recurse Left: Range
(-inf, 5). - Recurse Right: Range
(5, +inf).
- Recurse Left: Range
- Check 7 (Right) : Range
(5, +inf).5 < 7 < inf. OK.
-
- Recurse Left (Node 4): Range (5, 7).
- Check 4:
-
- Is
5 < 4 < 7? NO! - Return
false.
- Is