中等
提示
给你二叉树的根结点 root ,请你将它展开为一个单链表:
- 展开后的单链表应该同样使用
TreeNode,其中right子指针指向链表中下一个结点,而左子指针始终为null。 - 展开后的单链表应该与二叉树 先序遍历 顺序相同。
示例 1:

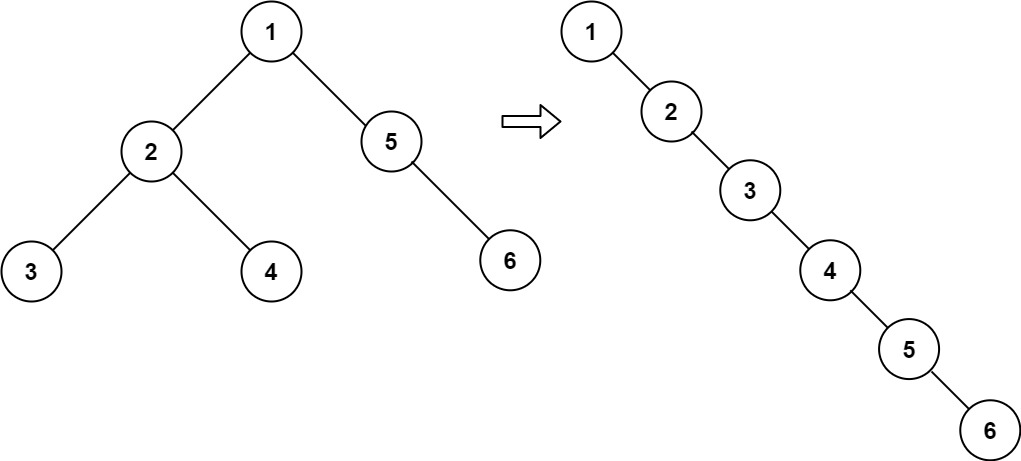
输入:root = [1,2,5,3,4,null,6]
输出:[1,null,2,null,3,null,4,null,5,null,6]
示例 2:
输入:root = []
输出:[]
示例 3:
输入:root = [0]
输出:[0]
提示:
- 树中结点数在范围
[0, 2000]内 -100 <= Node.val <= 100
📝 核心笔记:二叉树展开为链表 (Flatten Binary Tree to Linked List)
1. 核心思想 (一句话总结)
"倒着织毛衣:既然要求结果是 1->2->3->4**,那我就先找到 4,再把 3 接在 4 前面,再把 2 接在 3 前面......"**
- 目标顺序:前序遍历 (Root -> Left -> Right)。
- 构建顺序 :Right -> Left -> Root (逆后序)。
- 技巧 :维护一个全局变量
head,它永远指向当前已经拉直的链表的头节点 。当前节点root只需要把自己连到head上,然后自己成为新的head。
2. 算法流程 (递归三步曲)
- 递归右子树:先去处理最右边的节点(因为那是链表的尾巴)。
- 递归左子树:处理左边的节点。
- 当前节点操作 (Wiring):
-
root.right = head:我的右手指着刚才处理完的那一串链表的头。root.left = null:左手必须断开(题目要求)。head = root:我也加入链表了,现在我是排头兵,下一个处理的人(我的父节点)要连我。
🔍 代码回忆清单
// 题目:LC 114. Flatten Binary Tree to Linked List
class Solution {
// 全局变量:记录"已经拉直的链表"的头节点
// 初始为 null,表示链表末尾的 next 是 null
private TreeNode head = null;
public void flatten(TreeNode root) {
// 1. Base Case
if (root == null) {
return;
}
// 2. 核心遍历顺序:右 -> 左 -> 根
// 这与前序遍历 (根->左->右) 正好相反
flatten(root.right);
flatten(root.left);
// 3. 链表拼接 (头插法)
// 此时 head 指向的是右边已经处理好的一长串
// 比如对于根节点 1,处理完左右后,head 指向 2 (2->3->4->5->6)
root.right = head; // 1 -> 2
root.left = null; // 断开左边
head = root; // 更新 head 为 1,供上一层使用
}
}
⚡ 快速复习 CheckList (易错点 & 寻找前驱解法)
-
\] **为什么是先右后左?**
-
- 如果先左后右,处理完左边后,
head指向左子树的头。此时再处理根节点,把根连向左子树,那右子树就丢了(或者接不上了)。 - 逆向顺序保证了我们总是从链表的 Tail 往 Head 建。
- 如果先左后右,处理完左边后,
-
\] **面试进阶:** **$O(1)$** **空间解法 (寻找前驱节点)?**
-
- 虽然您的递归解法空间是 O(N) (栈),但代码最简洁。
- 面试官可能问:"如果不允许用递归栈,纯 O(1) 空间怎么做?"
- 思路 (Morris 遍历变体):
-
-
- 找到当前节点左子树的 最右节点 (前驱)。
- 把当前节点的 右子树 嫁接到这个 最右节点 的右边。
- 把左子树移到右边,左边置空。
- 继续处理下一个右节点。
-
🖼️ 数字演练
树:
1
/ \
2 5
/ \ \
3 4 6
目标 :1->2->3->4->5->6
- Flatten(6) :
head=6. - Flatten(5):
-
- Right(6) done.
head=6. - Left(null).
5.right=6,head=5. (链表:5->6)
- Right(6) done.
- Flatten(4) :
head=4. (链表:4) 注:4是叶子,前面的 5->6 是在另一侧递归栈里 - Flatten(3) :
head=3. - Flatten(2):
-
- Right(4) done.
head=4. (链表:4) - Left(3) done.
head=3. (链表:3->4) 2.right=3.head=2. (链表:2->3->4)- 注意:此时 2 的右子树其实是 4,但在递归过程中我们用 head 串起来了。
- Right(4) done.
- Flatten(1):
-
- Right(5) done.
head=5. (链表:5->6) - Left(2) done.
head=2. (链表:2->3->4... 此时 4.right 其实在上一层递归还没连上 5?不对,逻辑是全局 head) - 修正逻辑:
- Right(5) done.
-
-
- 递归到 5 时,
head是 6。5->6,head=5. - 递归到 4 时,
head是 5。4->5,head=4. - 递归到 3 时,
head是 4。3->4,head=3. - 递归到 2 时,
head是 3。2->3,head=2. - 递归到 1 时,
head是 2。1->2,head=1.
- 递归到 5 时,
-
-
- 最终 :
1->2->3->4->5->6.
- 最终 :