中等
给定两个整数数组 preorder 和 inorder ,其中 preorder 是二叉树的先序遍历 , inorder 是同一棵树的中序遍历,请构造二叉树并返回其根节点。
示例 1:

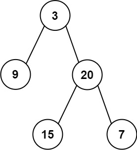
输入: preorder = [3,9,20,15,7], inorder = [9,3,15,20,7]
输出: [3,9,20,null,null,15,7]
示例 2:
输入: preorder = [-1], inorder = [-1]
输出: [-1]
提示:
1 <= preorder.length <= 3000inorder.length == preorder.length-3000 <= preorder[i], inorder[i] <= 3000preorder和inorder均 无重复 元素inorder均出现在preorderpreorder保证 为二叉树的前序遍历序列inorder保证 为二叉树的中序遍历序列
📝 核心笔记:从前序与中序遍历构造二叉树 (Construct Tree from Preorder & Inorder)
1. 核心思想 (一句话总结)
"前序定根,中序分左右。"
- 前序遍历 ( Root -> Left -> Right**)** :告诉我们谁是根节点(永远是第一个元素)。
- 中序遍历 ( Left -> Root -> Right**)** :告诉我们左右子树有多大(找到根节点的位置,左边就是左子树,右边就是右子树)。
- 利用这个性质,我们可以把数组"切"成两半,递归地去构建左子树和右子树。
2. 算法流程 (分治切割)
- 找根 (Locate Root):
-
rootVal = preorder[0]。
- 算大小 (Calculate Size):
-
- 去
inorder数组里找到rootVal的下标i。 leftSize = i - 0(中序数组中,根节点左边的元素个数)。
- 去
- 切数组 (Slice & Recurse):
-
- 左子树:
-
-
- 前序:
[1, 1 + leftSize] - 中序:
[0, leftSize]
- 前序:
-
-
- 右子树:
-
-
- 前序:
[1 + leftSize, end] - 中序:
[leftSize + 1, end]
- 前序:
-
- 连接 (Link) :
root.left = recurse(...),root.right = recurse(...)。
3. ⚠️ 性能优化的进阶 (面试必考)
您的写法虽然逻辑完美,但存在两个性能瓶颈:
- 时间 :
indexOf每次都是 O(N) 扫描,总复杂度退化为 O(N\^2)。 - 空间 :
Arrays.copyOfRange每次都开辟新数组,空间消耗巨大。
优化方案:
- 哈希表优化 :一开始把
inorder的元素和下标存入HashMap,实现 找根。 - 指针优化 :不切数组,而是传递 下标范围 (
preStart,preEnd,inStart,inEnd)。
🔍 代码回忆清单
// 题目:LC 105. Construct Binary Tree from Preorder and Inorder Traversal
class Solution {
// 缓存中序遍历的 (值 -> 下标),加速定位
private Map<Integer, Integer> indexMap;
public TreeNode buildTree(int[] preorder, int[] inorder) {
indexMap = new HashMap<>();
for (int i = 0; i < inorder.length; i++) {
indexMap.put(inorder[i], i);
}
// 传递数组范围,而不是拷贝数组
return build(preorder, 0, preorder.length - 1,
inorder, 0, inorder.length - 1);
}
private TreeNode build(int[] preorder, int preStart, int preEnd,
int[] inorder, int inStart, int inEnd) {
// 1. Base Case: 范围无效 (左指针跑过右指针)
if (preStart > preEnd) {
return null;
}
// 2. 找根节点值
int rootVal = preorder[preStart];
TreeNode root = new TreeNode(rootVal);
// 3. 找根在中序中的位置 (O(1) 查表)
int inRootIndex = indexMap.get(rootVal);
// 4. 计算左子树的节点数量
int leftSize = inRootIndex - inStart;
// 5. 递归构建 (最容易写错下标的地方,建议画图)
// 左子树:
// Pre: [preStart + 1, preStart + leftSize] (根后面紧接着就是左子树)
// In: [inStart, inRootIndex - 1] (根左边全是左子树)
root.left = build(preorder, preStart + 1, preStart + leftSize,
inorder, inStart, inRootIndex - 1);
// 右子树:
// Pre: [preStart + leftSize + 1, preEnd] (剩下的部分)
// In: [inRootIndex + 1, inEnd] (根右边全是右子树)
root.right = build(preorder, preStart + leftSize + 1, preEnd,
inorder, inRootIndex + 1, inEnd);
return root;
}
}
⚡ 快速复习 CheckList (易错点)
-
\] **为什么前序数组也要维护** **start****和** **end****?**
-
- 虽然我们只用
preorder[preStart]找根,但在递归右子树时,我们需要计算右子树在前序数组中的起始位置(也就是跳过左子树那一段)。
- 虽然我们只用
-
\] **下标偏移量怎么算?**
-
- 左子树的前序结束位置 :
preStart + leftSize。 - 右子树的前序起始位置 :
preStart + leftSize + 1。 - 这个公式一定要理解记忆,死记硬背容易忘。
- 左子树的前序结束位置 :
-
\] **如果有重复元素怎么办?**
-
- 题目通常保证树中没有重复元素。如果有,结果不唯一,或者需要更多信息。
🖼️ 数字演练
Pre: [3, 9, 20, 15, 7]
In: [9, 3, 15, 20, 7]
- Level 1:
-
- Root =
3(pre[0]). - Inorder Index of 3 =
1. - Left Size =
1 - 0 = 1. - Left Recurse : Pre
[9], In[9]. -> Returns Node(9). - Right Recurse : Pre
[20, 15, 7], In[15, 20, 7].
- Root =
- Level 2 (Right):
-
- Root =
20. - Inorder Index of 20 =
3. - Left Size (of 20) =
3 - 2 = 1(元素 15). - Left Recurse : Pre
[15], In[15]. -> Returns Node(15). - Right Recurse : Pre
[7], In[7]. -> Returns Node(7).
- Root =