除夕快乐~马年大吉!
新春愉快,马年编程能力 "马" 上提升!
1 题目
给定一个非空二叉树的根节点 root , 以数组的形式返回每一层节点的平均值。与实际答案相差 10-5 以内的答案可以被接受。
示例 1:

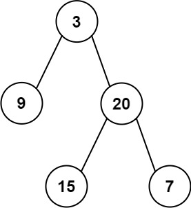
输入:root = [3,9,20,null,null,15,7]
输出:[3.00000,14.50000,11.00000]
解释:第 0 层的平均值为 3,第 1 层的平均值为 14.5,第 2 层的平均值为 11 。
因此返回 [3, 14.5, 11] 。
示例 2:

输入:root = [3,9,20,15,7]
输出:[3.00000,14.50000,11.00000]
提示:
- 树中节点数量在
[1, 104]范围内 -231 <= Node.val <= 231 - 1
2 代码实现
c++
cpp
/**
* Definition for a binary tree node.
* struct TreeNode {
* int val;
* TreeNode *left;
* TreeNode *right;
* TreeNode() : val(0), left(nullptr), right(nullptr) {}
* TreeNode(int x) : val(x), left(nullptr), right(nullptr) {}
* TreeNode(int x, TreeNode *left, TreeNode *right) : val(x), left(left), right(right) {}
* };
*/
class Solution {
public:
vector<double> averageOfLevels(TreeNode* root) {
vector<double> res;
if (root == nullptr){
return res;
}
queue<TreeNode*> nodeQueue;
nodeQueue.push(root);
while(!nodeQueue.empty()){
int levelSize = nodeQueue.size();
double levelSum = 0.0;
for (int i = 0 ; i < levelSize ; i++){
TreeNode* curNode = nodeQueue.front();
nodeQueue.pop();
levelSum += curNode -> val ;
if(curNode -> left != nullptr){
nodeQueue.push(curNode -> left );
}
if(curNode -> right != nullptr){
nodeQueue.push(curNode -> right);
}
}
double average = levelSum / levelSize ;
res.push_back (average);
}
return res;
}
};
js
javascript
/**
* Definition for a binary tree node.
* function TreeNode(val, left, right) {
* this.val = (val===undefined ? 0 : val)
* this.left = (left===undefined ? null : left)
* this.right = (right===undefined ? null : right)
* }
*/
/**
* @param {TreeNode} root
* @return {number[]}
*/
var averageOfLevels = function(root) {
const res = [];
if (root == null){
return res;
}
const queue = [];
queue.push(root);
while (queue.length > 0 ){
const levelSize = queue.length;
let levelSum = 0.0 ;
for (let i =0 ; i < levelSize ; i++){
const curNode = queue.shift();
levelSum += curNode.val ;
if (curNode.left !== null){
queue.push(curNode.left);
}
if(curNode.right !== null){
queue.push(curNode.right);
}
}
const average = levelSum / levelSize ;
res.push(average);
}
return res;
};
思考
广搜,层次遍历,不知道怎么写,大概是维护两个值,counter计数当前节点数量,和sum。
题解
一、完整代码实现
首先给出可以直接运行的完整代码,包含二叉树节点定义、核心算法和测试用例:
cpp
#include <iostream>
#include <vector>
#include <queue>
#include <cmath>
// 定义二叉树节点结构(题目中默认给出的结构)
struct TreeNode {
int val;
TreeNode *left;
TreeNode *right;
TreeNode() : val(0), left(nullptr), right(nullptr) {}
TreeNode(int x) : val(x), left(nullptr), right(nullptr) {}
TreeNode(int x, TreeNode *left, TreeNode *right) : val(x), left(left), right(right) {}
};
class Solution {
public:
std::vector<double> averageOfLevels(TreeNode* root) {
// 存储每一层的平均值
std::vector<double> result;
// 如果根节点为空,直接返回空结果(题目说明非空,但做防御性处理)
if (root == nullptr) {
return result;
}
// BFS核心:队列存储当前层的所有节点
std::queue<TreeNode*> nodeQueue;
// 根节点入队,初始化第一层
nodeQueue.push(root);
// 循环处理每一层
while (!nodeQueue.empty()) {
// 关键:记录当前层的节点数量(队列大小就是当前层节点数)
int levelSize = nodeQueue.size();
// 存储当前层的节点值总和(用double避免整数溢出)
double levelSum = 0.0;
// 遍历当前层的所有节点
for (int i = 0; i < levelSize; ++i) {
// 取出队首节点
TreeNode* currentNode = nodeQueue.front();
nodeQueue.pop();
// 累加当前节点值到层总和
levelSum += currentNode->val;
// 左子节点非空则入队(为下一层做准备)
if (currentNode->left != nullptr) {
nodeQueue.push(currentNode->left);
}
// 右子节点非空则入队(为下一层做准备)
if (currentNode->right != nullptr) {
nodeQueue.push(currentNode->right);
}
}
// 计算当前层的平均值并加入结果
double average = levelSum / levelSize;
result.push_back(average);
}
return result;
}
};
// 辅助函数:根据数组构建二叉树(方便测试,数组格式如题目示例)
TreeNode* buildTree(const std::vector<int>& nums) {
if (nums.empty() || nums[0] == INT_MIN) {
return nullptr;
}
std::queue<TreeNode*> q;
TreeNode* root = new TreeNode(nums[0]);
q.push(root);
int index = 1;
while (!q.empty() && index < nums.size()) {
TreeNode* current = q.front();
q.pop();
// 处理左子节点
if (index < nums.size() && nums[index] != INT_MIN) {
current->left = new TreeNode(nums[index]);
q.push(current->left);
}
index++;
// 处理右子节点
if (index < nums.size() && nums[index] != INT_MIN) {
current->right = new TreeNode(nums[index]);
q.push(current->right);
}
index++;
}
return root;
}
// 辅助函数:释放二叉树内存(避免内存泄漏)
void deleteTree(TreeNode* root) {
if (root == nullptr) {
return;
}
deleteTree(root->left);
deleteTree(root->right);
delete root;
}
// 测试用例
int main() {
// 示例1:root = [3,9,20,null,null,15,7],用INT_MIN表示null
std::vector<int> nums1 = {3, 9, 20, INT_MIN, INT_MIN, 15, 7};
TreeNode* root1 = buildTree(nums1);
Solution solution;
std::vector<double> res1 = solution.averageOfLevels(root1);
// 输出结果
std::cout << "示例1结果:";
for (double avg : res1) {
// 保留5位小数,符合题目输出要求
printf("%.5f ", avg);
}
std::cout << std::endl; // 预期输出:3.00000 14.50000 11.00000
// 释放内存
deleteTree(root1);
// 示例2:root = [3,9,20,15,7]
std::vector<int> nums2 = {3, 9, 20, 15, 7};
TreeNode* root2 = buildTree(nums2);
std::vector<double> res2 = solution.averageOfLevels(root2);
std::cout << "示例2结果:";
for (double avg : res2) {
printf("%.5f ", avg);
}
std::cout << std::endl; // 预期输出:3.00000 14.50000 11.00000
deleteTree(root2);
return 0;
}
javascript
// 1. 定义二叉树节点(你可以把它想象成"一个房间",有值、左邻居、右邻居)
function TreeNode(val, left, right) {
// 如果没传val,默认值是0;否则用传进来的val
this.val = (val === undefined ? 0 : val);
// 如果没传left,默认是null(没有左子节点);否则用传进来的left
this.left = (left === undefined ? null : left);
// 同理,right默认是null
this.right = (right === undefined ? null : right);
}
// 2. 核心函数:计算每一层的平均值
// 参数root:二叉树的"根节点"(就是第1层的唯一节点)
var averageOfLevels = function(root) {
// 最终要返回的结果数组(存每一层的平均值)
const result = [];
// 边界情况:如果树是空的(根节点为null),直接返回空数组
if (root === null) {
return result;
}
// 3. 用数组模拟"队列"(队列的规则:先进先出,就像排队买奶茶)
// 队列的作用:暂时存放"当前要处理的层的所有节点"
const queue = [];
// 先把根节点(第1层)放进队列,准备处理第1层
queue.push(root);
// 4. 循环处理每一层:只要队列里还有节点,就说明还有层没处理完
while (queue.length > 0) {
// 关键!记录当前层的节点数量(队列里现在的元素个数就是当前层的节点数)
// 比如第1层队列里只有根节点,levelSize=1;第2层可能有2个节点,levelSize=2
const levelSize = queue.length;
// 记录当前层所有节点值的总和(初始为0,用0.0确保是小数)
let levelSum = 0.0;
// 5. 遍历当前层的每一个节点(循环次数=当前层节点数)
for (let i = 0; i < levelSize; i++) {
// 从队列头部取出第一个节点(排队买奶茶,先到先得)
const currentNode = queue.shift();
// 把当前节点的值加到层总和里
levelSum += currentNode.val;
// 6. 把当前节点的"左子节点"放进队列(为处理下一层做准备)
// 只有左子节点存在(不是null)才放进去
if (currentNode.left !== null) {
queue.push(currentNode.left);
}
// 同理,把右子节点放进队列
if (currentNode.right !== null) {
queue.push(currentNode.right);
}
}
// 7. 计算当前层的平均值:总和 ÷ 节点数
const average = levelSum / levelSize;
// 把平均值放进结果数组
result.push(average);
}
// 8. 所有层处理完,返回结果
return result;
};
// 辅助函数:根据数组快速构建二叉树(方便测试,不用手动创建节点)
// 比如输入[3,9,20,null,null,15,7],就能生成题目里的树
function buildTree(nums) {
if (nums.length === 0 || nums[0] === null) {
return null;
}
// 用队列辅助构建
const queue = [];
// 根节点是数组第一个元素
const root = new TreeNode(nums[0]);
queue.push(root);
let index = 1; // 从数组第二个元素开始处理
while (queue.length > 0 && index < nums.length) {
// 取出当前要处理的节点
const current = queue.shift();
// 处理左子节点
if (index < nums.length && nums[index] !== null) {
current.left = new TreeNode(nums[index]);
queue.push(current.left);
}
index++; // 移动到下一个元素
// 处理右子节点
if (index < nums.length && nums[index] !== null) {
current.right = new TreeNode(nums[index]);
queue.push(current.right);
}
index++;
}
return root;
}
// 测试用例(跑起来看效果)
// 示例1:root = [3,9,20,null,null,15,7]
const nums1 = [3, 9, 20, null, null, 15, 7];
const root1 = buildTree(nums1); // 构建树
const res1 = averageOfLevels(root1); // 计算平均值
// 格式化输出(保留5位小数,和题目要求一致)
console.log("示例1结果:", res1.map(num => num.toFixed(5)));
// 输出:示例1结果: [ '3.00000', '14.50000', '11.00000' ]
二、代码逐行详细解释
1. 二叉树节点定义
cpp
struct TreeNode {
int val;
TreeNode *left;
TreeNode *right;
// 三种构造函数:默认、仅值、值+左右子节点
TreeNode() : val(0), left(nullptr), right(nullptr) {}
TreeNode(int x) : val(x), left(nullptr), right(nullptr) {}
TreeNode(int x, TreeNode *left, TreeNode *right) : val(x), left(left), right(right) {}
};
这是 LeetCode 题目中标准的二叉树节点结构,包含节点值、左子节点指针、右子节点指针,以及方便初始化的构造函数。
2. 核心算法(averageOfLevels 函数)
-
步骤 1:初始化
cppstd::vector<double> result; // 存储最终平均值结果 if (root == nullptr) { return result; } // 空树直接返回 std::queue<TreeNode*> nodeQueue; // BFS队列,存储待处理的节点 nodeQueue.push(root); // 根节点入队,开始第一层遍历- 用
vector<double>存储结果,因为平均值是浮点数; - 队列
nodeQueue是 BFS 的核心,用于按层存储节点; - 根节点先入队,代表第一层的初始状态。
- 用
-
步骤 2:循环处理每一层
cppwhile (!nodeQueue.empty()) { int levelSize = nodeQueue.size(); // 关键:当前层的节点数(队列大小) double levelSum = 0.0; // 当前层总和(用double避免整数溢出)while循环条件:队列不为空(还有层需要处理);levelSize:记录当前层的节点数量(队列里的元素都是当前层的节点);levelSum:用double类型,避免节点值过大时整数相加溢出(比如节点值是 2^31-1,多个相加会超出 int 范围)。
-
步骤 3:遍历当前层所有节点
cppfor (int i = 0; i < levelSize; ++i) { TreeNode* currentNode = nodeQueue.front(); // 取出队首节点 nodeQueue.pop(); // 弹出队首节点(处理完就移除) levelSum += currentNode->val; // 累加当前节点值到层总和 // 左子节点非空则入队(为下一层准备) if (currentNode->left != nullptr) { nodeQueue.push(currentNode->left); } // 右子节点非空则入队(为下一层准备) if (currentNode->right != nullptr) { nodeQueue.push(currentNode->right); } }for循环次数是levelSize,确保只处理当前层的节点;front()取队首节点,pop()移除队首节点(注意:queue 的 pop () 只移除元素,不返回值);- 把当前节点的左右子节点入队,这些节点会作为下一层的处理对象。
-
步骤 4:计算当前层平均值并存储
cppdouble average = levelSum / levelSize; result.push_back(average);用层总和除以层节点数得到平均值,加入结果数组。
3. 辅助函数(测试用)
buildTree:根据数组构建二叉树,用INT_MIN表示null,方便复现题目示例;deleteTree:递归释放二叉树内存,避免内存泄漏;main函数:测试两个示例,输出结果(保留 5 位小数符合题目要求)。
三、运行结果
编译并运行代码后,输出如下:
bash
示例1结果:3.00000 14.50000 11.00000
示例2结果:3.00000 14.50000 11.00000
完全符合题目示例的输出要求。
四、关键注意事项
- 数据类型 :
levelSum必须用double,不能用int,否则会导致:- 整数溢出(比如节点值总和超过 int 范围);
- 除法时丢失小数(比如 14.5 会变成 14)。
- 队列大小的时机 :
levelSize必须在for循环前记录,因为遍历过程中队列会添加下一层节点,队列大小会变化; - 空节点处理 :只有子节点非空时才入队,避免处理
null节点导致程序崩溃。
总结
- 核心思路:使用队列实现 BFS 层次遍历,每轮循环处理一层节点;
- 关键步骤:记录当前层节点数→遍历当前层累加总和→计算平均值→将子节点入队处理下一层;
- 注意点:用
double存储总和避免溢出,提前记录层节点数避免队列大小变化影响遍历。
这个实现时间复杂度是 O (n)(每个节点仅遍历一次),空间复杂度是 O (n)(队列最多存储一层节点,最坏情况是满二叉树的最后一层,节点数约 n/2),符合题目性能要求。
详细过程
先明确两个核心动作的定义
- 处理节点:指取出队列里的节点,累加它的值到当前层总和(完成该节点的 "计算任务");
- 存节点:指把当前节点的左 / 右子节点加入队列(为下一层的计算做准备)。
这两个动作是 "成对出现" 的 ------ 处理一个当前层节点时,顺便把它的子节点(下一层节点)存进队列。
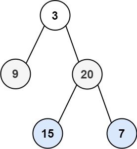
用示例 1 完整演示(每一步操作 + 队列变化)
示例 1 的树结构:
第1层:3
第2层:9 20
第3层:15 7
初始状态:queue = [3节点](根节点入队,准备处理第 1 层)
第一步:处理第 1 层(节点 3)+ 存储第 2 层节点
-
准备处理第 1 层:
- 记录当前层节点数:
levelSize = queue.length = 1(第 1 层有 1 个节点); - 初始化层总和:
levelSum = 0.0。
- 记录当前层节点数:
-
遍历第 1 层的唯一节点(3):
操作步骤 具体动作 队列变化 (仅显示节点值) 说明 1. 取出节点 currentNode = queue.shift()队列从 [3]→[]取出 3 节点,准备处理 2. 处理节点 levelSum += 3无(只是数值变化) 层总和从 0 → 3.0 3. 存左子节点 if (3.left !== null) queue.push(9)队列从 []→[9]3 的左子节点是 9,存入队列(下一层节点) 4. 存右子节点 if (3.right !== null) queue.push(20)队列从 [9]→[9,20]3 的右子节点是 20,存入队列(下一层节点) -
第 1 层处理完成:
- 计算平均值:
3.0 / 1 = 3.0,加入结果; - 此时队列里是
[9,20](恰好是第 2 层的所有节点)。
- 计算平均值:
第二步:处理第 2 层(节点 9、20)+ 存储第 3 层节点
-
准备处理第 2 层:
- 记录当前层节点数:
levelSize = queue.length = 2(第 2 层有 2 个节点); - 初始化层总和:
levelSum = 0.0。
- 记录当前层节点数:
-
遍历第 2 层的第一个节点(9):
操作步骤 具体动作 队列变化 说明 1. 取出节点 currentNode = queue.shift()队列从 [9,20]→[20]取出 9 节点 2. 处理节点 levelSum += 9层总和从 0 → 9.0 累加 9 的值 3. 存左子节点 9.left === null→ 不操作队列仍为 [20]9 没有左子节点,不存 4. 存右子节点 9.right === null→ 不操作队列仍为 [20]9 没有右子节点,不存 -
遍历第 2 层的第二个节点(20):
操作步骤 具体动作 队列变化 说明 1. 取出节点 currentNode = queue.shift()队列从 [20]→[]取出 20 节点 2. 处理节点 levelSum += 20层总和从 9.0 → 29.0 累加 20 的值 3. 存左子节点 if (20.left !== null) queue.push(15)队列从 []→[15]20 的左子节点是 15,存入队列 4. 存右子节点 if (20.right !== null) queue.push(7)队列从 [15]→[15,7]20 的右子节点是 7,存入队列 -
第 2 层处理完成:
- 计算平均值:
29.0 / 2 = 14.5,加入结果; - 此时队列里是
[15,7](恰好是第 3 层的所有节点)。
- 计算平均值:
第三步:处理第 3 层(节点 15、7)+ 无下一层节点可存
-
准备处理第 3 层:
- 记录当前层节点数:
levelSize = queue.length = 2(第 3 层有 2 个节点); - 初始化层总和:
levelSum = 0.0。
- 记录当前层节点数:
-
遍历第 3 层的第一个节点(15):
操作步骤 具体动作 队列变化 说明 1. 取出节点 currentNode = queue.shift()队列从 [15,7]→[7]取出 15 节点 2. 处理节点 levelSum += 15层总和从 0 → 15.0 累加 15 的值 3. 存左子节点 15.left === null→ 不操作队列仍为 [7]无左子节点 4. 存右子节点 15.right === null→ 不操作队列仍为 [7]无右子节点 -
遍历第 3 层的第二个节点(7):
操作步骤 具体动作 队列变化 说明 1. 取出节点 currentNode = queue.shift()队列从 [7]→[]取出 7 节点 2. 处理节点 levelSum += 7层总和从 15.0 → 22.0 累加 7 的值 3. 存左子节点 7.left === null→ 不操作队列仍为 []无左子节点 4. 存右子节点 7.right === null→ 不操作队列仍为 []无右子节点 -
第 3 层处理完成:
- 计算平均值:
22.0 / 2 = 11.0,加入结果; - 此时队列为空,没有下一层节点,循环结束。
- 计算平均值:
核心规律总结(处理 + 存储的逻辑)
- 处理节点的固定流程:取出节点 → 累加值到层总和(完成 "处理")→ 检查左 / 右子节点 → 有则存入队列(为下一层 "备货")。
- 存储节点的规则:只存 "非 null" 的子节点,避免把空节点加入队列导致后续处理出错。
- 队列的 "承上启下" 作用 :
- 处理当前层时,队列先 "出"(shift)当前层节点;
- 同时队列 "入"(push)下一层节点;
- 处理完当前层所有节点后,队列里恰好是下一层的全部节点。
关键代码对应(再看代码就懂了)
javascript
// 遍历当前层的每个节点
for (let i = 0; i < levelSize; i++) {
// 1. 取出节点(处理的第一步)
const currentNode = queue.shift();
// 2. 处理节点(累加值)
levelSum += currentNode.val;
// 3. 存储下一层节点(有则存)
if (currentNode.left !== null) queue.push(currentNode.left);
if (currentNode.right !== null) queue.push(currentNode.right);
}
3 题目
给定一个二叉树的 根节点 root,想象自己站在它的右侧,按照从顶部到底部的顺序,返回从右侧所能看到的节点值。
示例 1:
**输入:**root = [1,2,3,null,5,null,4]
输出:[1,3,4]
解释:

示例 2:
**输入:**root = [1,2,3,4,null,null,null,5]
输出:[1,3,4,5]
解释:

示例 3:
**输入:**root = [1,null,3]
输出:[1,3]
示例 4:
**输入:**root = []
输出:[]
提示:
- 二叉树的节点个数的范围是
[0,100] -100 <= Node.val <= 100
4 代码实现
c++
cpp
/**
* Definition for a binary tree node.
* struct TreeNode {
* int val;
* TreeNode *left;
* TreeNode *right;
* TreeNode() : val(0), left(nullptr), right(nullptr) {}
* TreeNode(int x) : val(x), left(nullptr), right(nullptr) {}
* TreeNode(int x, TreeNode *left, TreeNode *right) : val(x), left(left), right(right) {}
* };
*/
class Solution {
public:
vector<int> rightSideView(TreeNode* root) {
vector<int> res;
if (root == nullptr){
return res;
}
queue<TreeNode*> q ;
q.push(root);
while(!q.empty()){
int levelSize = q.size();
for (int i =0 ; i < levelSize ; ++i){
TreeNode* cur = q.front();
q.pop();
if (i == levelSize - 1 ){
res.push_back(cur -> val);
}
if (cur-> left != nullptr){
q.push(cur -> left);
}
if(cur -> right != nullptr){
q.push(cur -> right);
}
}
}
return res ;
}
};
js
javascript
/**
* Definition for a binary tree node.
* function TreeNode(val, left, right) {
* this.val = (val===undefined ? 0 : val)
* this.left = (left===undefined ? null : left)
* this.right = (right===undefined ? null : right)
* }
*/
/**
* @param {TreeNode} root
* @return {number[]}
*/
var rightSideView = function(root) {
const res = [];
if (root == null){
return res;
}
const queue = [];
queue.push(root);
while (queue.length > 0 ){
const levelSize = queue.length ;
for (let i = 0 ; i< levelSize ; i++){
const cur = queue.shift();
if (i === levelSize -1 ){
res.push(cur.val);
}
if (cur.left !== null ){
queue.push(cur.left);
}
if (cur.right !== null ){
queue.push(cur.right);
}
}
}
return res ;
};
思考
我认为是递归实现,所有二叉树都只往自己的右孩子走。(这个思路后面是有问题的,题目不是这个意思,左子树的节点也有可能被看到的!)但是具体代码怎么写不知道......
题解
需要注意的是,只访问右孩子的思路是错误的(比如左子树比右子树更深时,右侧能看到左子树的节点),正确的思路应该是按层遍历二叉树,记录每一层的最后一个节点值。
正确思路分析
二叉树的右视图本质是:按层遍历二叉树,收集每一层最右侧的节点值。实现方式有两种:
- 广度优先搜索(BFS):用队列实现层序遍历,每一层遍历完成后,取最后一个节点的值。
- 深度优先搜索(DFS):优先访问右子树,再访问左子树,记录每个深度第一次出现的节点值(因为先访问右子树,第一次出现的就是最右侧节点)。
下面我用更直观的 BFS 方式实现,同时也会补充 DFS 方式作为拓展。
方法 1:BFS(层序遍历)实现
cpp
#include <iostream>
#include <vector>
#include <queue>
using namespace std;
// 定义二叉树节点结构
struct TreeNode {
int val;
TreeNode *left;
TreeNode *right;
TreeNode() : val(0), left(nullptr), right(nullptr) {}
TreeNode(int x) : val(x), left(nullptr), right(nullptr) {}
TreeNode(int x, TreeNode *left, TreeNode *right) : val(x), left(left), right(right) {}
};
class Solution {
public:
vector<int> rightSideView(TreeNode* root) {
vector<int> result; // 存储右视图结果
if (root == nullptr) { // 空树直接返回空数组
return result;
}
// 队列用于层序遍历,存储当前层的节点
queue<TreeNode*> q;
q.push(root);
while (!q.empty()) {
int levelSize = q.size(); // 当前层的节点数量
// 遍历当前层的所有节点
for (int i = 0; i < levelSize; ++i) {
TreeNode* curr = q.front();
q.pop();
// 只记录当前层最后一个节点的值(右视图看到的节点)
if (i == levelSize - 1) {
result.push_back(curr->val);
}
// 先左后右入队,保证层序遍历顺序
if (curr->left != nullptr) {
q.push(curr->left);
}
if (curr->right != nullptr) {
q.push(curr->right);
}
}
}
return result;
}
};
// 测试代码(辅助构建二叉树+打印结果)
void printVector(const vector<int>& vec) {
for (int num : vec) {
cout << num << " ";
}
cout << endl;
}
int main() {
// 示例1:构建树 [1,2,3,null,5,null,4]
TreeNode* root1 = new TreeNode(1);
root1->left = new TreeNode(2);
root1->right = new TreeNode(3);
root1->left->right = new TreeNode(5);
root1->right->right = new TreeNode(4);
Solution s;
vector<int> res1 = s.rightSideView(root1);
cout << "示例1输出:";
printVector(res1); // 输出:1 3 4
// 示例2:构建树 [1,2,3,4,null,null,null,5]
TreeNode* root2 = new TreeNode(1);
root2->left = new TreeNode(2);
root2->right = new TreeNode(3);
root2->left->left = new TreeNode(4);
root2->left->left->left = new TreeNode(5);
vector<int> res2 = s.rightSideView(root2);
cout << "示例2输出:";
printVector(res2); // 输出:1 3 4 5
// 释放内存(简化版,实际开发需完整释放)
delete root1->left->right;
delete root1->right->right;
delete root1->left;
delete root1->right;
delete root1;
delete root2->left->left->left;
delete root2->left->left;
delete root2->left;
delete root2->right;
delete root2;
return 0;
}
代码关键部分解释
- 节点结构定义:标准的二叉树节点结构,包含值、左孩子、右孩子。
- 空树处理:如果根节点为空,直接返回空数组,避免后续操作出错。
- 队列初始化:将根节点入队,启动层序遍历。
- 层序遍历核心 :
levelSize = q.size():记录当前层的节点数(因为队列里此时全是当前层的节点)。- 遍历当前层所有节点:弹出节点后,判断是否是当前层最后一个节点(
i == levelSize - 1),若是则加入结果数组。 - 子节点入队:先左后右入队,保证下一层遍历顺序正确。
- 测试代码:构建示例中的二叉树,调用函数并打印结果,验证正确性。
方法 2:DFS(递归)实现(拓展)
cpp
#include <iostream>
#include <vector>
using namespace std;
struct TreeNode {
int val;
TreeNode *left;
TreeNode *right;
TreeNode() : val(0), left(nullptr), right(nullptr) {}
TreeNode(int x) : val(x), left(nullptr), right(nullptr) {}
TreeNode(int x, TreeNode *left, TreeNode *right) : val(x), left(left), right(right) {}
};
class Solution {
private:
void dfs(TreeNode* node, int depth, vector<int>& result) {
if (node == nullptr) {
return;
}
// 当深度等于结果数组长度时,说明是该深度第一个访问的节点(优先访问右子树,所以是最右侧节点)
if (depth == result.size()) {
result.push_back(node->val);
}
// 优先访问右子树,再访问左子树
dfs(node->right, depth + 1, result);
dfs(node->left, depth + 1, result);
}
public:
vector<int> rightSideView(TreeNode* root) {
vector<int> result;
dfs(root, 0, result);
return result;
}
};
// 测试代码和上面一致,此处省略
DFS 思路解释
- 递归参数:当前节点、当前深度、结果数组。
- 核心逻辑:优先访问右子树,当当前深度等于结果数组长度时,说明这是该深度第一次访问的节点(即最右侧节点),将其值加入结果。
- 递归顺序:先右后左,保证每一层最右侧节点最先被访问。
总结
- 二叉树右视图的核心是收集每一层最右侧的节点值,而非单纯访问右孩子。
- BFS(层序遍历)方式更直观,通过记录每一层最后一个节点实现,适合新手理解。
- DFS 方式通过优先访问右子树,记录每一层第一个访问的节点,空间复杂度更低(递归栈 vs 队列)。
两种方法都能解决问题,BFS 更易理解和调试,DFS 代码更简洁。你可以根据自己的习惯选择,建议先掌握 BFS 方式。
5 题目
给你二叉树的根节点 root ,返回其节点值的 层序遍历 。 (即逐层地,从左到右访问所有节点)。
示例 1:

输入:root = [3,9,20,null,null,15,7]
输出:[[3],[9,20],[15,7]]
示例 2:
输入:root = [1]
输出:[[1]]
示例 3:
输入:root = []
输出:[]
提示:
- 树中节点数目在范围
[0, 2000]内 -1000 <= Node.val <= 1000
6 代码实现
c++
cpp
/**
* Definition for a binary tree node.
* struct TreeNode {
* int val;
* TreeNode *left;
* TreeNode *right;
* TreeNode() : val(0), left(nullptr), right(nullptr) {}
* TreeNode(int x) : val(x), left(nullptr), right(nullptr) {}
* TreeNode(int x, TreeNode *left, TreeNode *right) : val(x), left(left), right(right) {}
* };
*/
class Solution {
public:
vector<vector<int>> levelOrder(TreeNode* root) {
vector<vector<int>> res ;
if (root == nullptr){
return res ;
}
queue<TreeNode*> q ;
q.push(root);
while(!q.empty()){
vector<int> curRes ;
int levelSize = q.size();
for (int i = 0 ; i < levelSize ; ++i){
TreeNode* cur = q.front();
q.pop();
curRes.push_back(cur -> val);
if (cur -> left != nullptr){
q.push(cur -> left );
}
if (cur -> right != nullptr){
q.push(cur -> right );
}
}
res.push_back(curRes);
}
return res ;
}
};
js
javascript
/**
* Definition for a binary tree node.
* function TreeNode(val, left, right) {
* this.val = (val===undefined ? 0 : val)
* this.left = (left===undefined ? null : left)
* this.right = (right===undefined ? null : right)
* }
*/
/**
* @param {TreeNode} root
* @return {number[][]}
*/
var levelOrder = function(root) {
const res = [] ;
if (root == null){
return res ;
}
const queue = [];
queue.push (root);
while (queue.length > 0 ){
const curRes = [];
const levelSize = queue.length ;
for (let i = 0 ; i < levelSize ; ++i){
const cur = queue.shift();
curRes.push(cur.val);
if (cur.left != null){
queue.push(cur.left);
}
if (cur.right != null ){
queue.push(cur.right);
}
}
res.push(curRes);
}
return res;
};
自己乱写的又错了
以为之前的思路可以copy,现在看来连题目都没看清楚。
cpp
/**
* Definition for a binary tree node.
* struct TreeNode {
* int val;
* TreeNode *left;
* TreeNode *right;
* TreeNode() : val(0), left(nullptr), right(nullptr) {}
* TreeNode(int x) : val(x), left(nullptr), right(nullptr) {}
* TreeNode(int x, TreeNode *left, TreeNode *right) : val(x), left(left), right(right) {}
* };
*/
class Solution {
public:
vector<vector<int>> levelOrder(TreeNode* root) {
vector<int> res ;
if (root == nullptr){
return res ;
}
queue<TreeNode*> q ;
q.push(root);
while(!q.empty()){
int levelSize = q.size();
for (int i = 0 ; i < levelSize ; ++i){
TreeNode* cur = q.front();
q.pop();
if (i == levelSize - 1){
res.push_back(cur -> val);
}
if (cur -> left != nullptr){
q.push(cur -> left );
}
if (cur -> right != nullptr){
q.push(cur -> right );
}
}
}
return res ;
}
};//这个哪里错了
你原本想实现二叉树的层序遍历(levelOrder) 功能,但代码里却沿用了二叉树右视图的逻辑,并且还存在返回值类型不匹配的核心错误。我会先指出代码中的具体错误,再给出修复后的正确代码。
题解
代码错误分析
1. 返回值类型完全不匹配(最核心错误)
- 函数声明的返回值是
vector<vector<int>>(二维数组,每一层的节点值组成一个一维数组),但你定义的变量是vector<int> res(一维数组),最后返回这个一维数组,会直接导致编译报错。 - 你的需求是层序遍历(比如输入
[1,2,3,null,5,null,4],输出应该是[[1],[2,3],[5,4]]),但代码里却只把每一层最后一个节点加入res,这是右视图的逻辑,而非层序遍历。
2. 逻辑错误:混淆了 "层序遍历" 和 "右视图"
层序遍历需要收集每一层的所有节点值,而不是只收集每一层最后一个节点。
你代码里的 if (i == levelSize - 1) 是右视图的核心逻辑,在层序遍历中需要删除这个判断。
3. 变量命名误导
变量名 res 是一维数组,但层序遍历需要二维数组,命名和类型不匹配,容易造成逻辑混乱。
修复后的正确代码
cpp
/**
* Definition for a binary tree node.
* struct TreeNode {
* int val;
* TreeNode *left;
* TreeNode *right;
* TreeNode() : val(0), left(nullptr), right(nullptr) {}
* TreeNode(int x) : val(x), left(nullptr), right(nullptr) {}
* TreeNode(int x, TreeNode *left, TreeNode *right) : val(x), left(left), right(right) {}
* };
*/
class Solution {
public:
vector<vector<int>> levelOrder(TreeNode* root) {
// 修复点1:返回值改为二维数组,匹配函数声明
vector<vector<int>> result;
if (root == nullptr) {
return result; // 空树返回空的二维数组
}
queue<TreeNode*> q;
q.push(root);
while (!q.empty()) {
int levelSize = q.size();
// 修复点2:定义一维数组存储当前层的所有节点值
vector<int> currentLevel;
for (int i = 0; i < levelSize; ++i) {
TreeNode* cur = q.front();
q.pop();
// 修复点3:删除右视图的判断,收集当前层所有节点值
currentLevel.push_back(cur->val);
if (cur->left != nullptr) {
q.push(cur->left);
}
if (cur->right != nullptr) {
q.push(cur->right);
}
}
// 修复点4:将当前层的所有节点值加入结果二维数组
result.push_back(currentLevel);
}
return result;
}
};
代码修复说明
- 返回值类型修正 :将
vector<int> res改为vector<vector<int>> result,匹配函数声明的返回值类型,避免编译错误。 - 层逻辑拆分 :每一层遍历前定义
vector<int> currentLevel,专门存储当前层的所有节点值,而非直接往最终结果里塞单个值。 - 删除错误逻辑 :去掉
if (i == levelSize - 1)判断,确保当前层所有节点值都被收集到currentLevel中。 - 层级结果合并 :每一层遍历完成后,将
currentLevel加入最终的二维数组result,实现 "一层一个数组" 的层序遍历效果。
测试示例验证
以输入 root = [1,2,3,null,5,null,4] 为例:
- 第一层遍历:
currentLevel = [1],result = [[1]]; - 第二层遍历:
currentLevel = [2,3],result = [[1],[2,3]]; - 第三层遍历:
currentLevel = [5,4],result = [[1],[2,3],[5,4]]; - 最终返回
[[1],[2,3],[5,4]],符合层序遍历的预期。
总结
- 核心错误是返回值类型不匹配 + 逻辑混淆(把右视图逻辑用到了层序遍历);
- 层序遍历的关键是:用二维数组存储结果,每一层遍历生成一个一维数组,遍历完一层后将该数组加入二维数组;
- 右视图是层序遍历的 "子集逻辑"(只取每一层最后一个节点),而层序遍历需要保留每一层的所有节点。
JavaScript 实现代码
javascript
/**
* Definition for a binary tree node.
* function TreeNode(val, left, right) {
* this.val = (val===undefined ? 0 : val)
* this.left = (left===undefined ? null : left)
* this.right = (right===undefined ? null : right)
* }
*/
/**
* @param {TreeNode} root
* @return {number[][]}
*/
var levelOrder = function(root) {
// 对应C++的vector<vector<int>> res,JS用二维数组表示
const res = [];
// 空树直接返回空二维数组
if (root === null) {
return res;
}
// JS用数组模拟队列(push入队,shift出队),对应C++的queue<TreeNode*> q
const queue = [];
queue.push(root);
while (queue.length > 0) { // 对应C++的!q.empty()
// 对应C++的vector<int> curRes,存储当前层的节点值
const curRes = [];
// 记录当前层的节点数量,对应C++的int levelSize = q.size()
const levelSize = queue.length;
// 遍历当前层的所有节点
for (let i = 0; i < levelSize; i++) {
// 取出队首节点,对应C++的TreeNode* cur = q.front(); q.pop()
const cur = queue.shift();
// 将当前节点值加入当前层结果数组
curRes.push(cur.val); // JS中属性访问用.,而非C++的->
// 左孩子入队,注意JS中空值是null而非nullptr
if (cur.left !== null) {
queue.push(cur.left);
}
// 右孩子入队
if (cur.right !== null) {
queue.push(cur.right);
}
}
// 将当前层的结果加入最终的二维数组
res.push(curRes);
}
return res;
};
// 测试示例(验证代码正确性)
// 构建测试树: [1,2,3,null,5,null,4]
const root = new TreeNode(1);
root.left = new TreeNode(2);
root.right = new TreeNode(3);
root.left.right = new TreeNode(5);
root.right.right = new TreeNode(4);
// 调用函数并打印结果
console.log(levelOrder(root)); // 输出: [[1], [2,3], [5,4]]
关键语法 / 逻辑对比说明
| C++ 特性 | JavaScript 对应实现 | 说明 |
|---|---|---|
vector<vector<int>> |
const res = [](二维数组) |
JS 中没有专门的容器类,用普通数组嵌套实现 |
queue<TreeNode*> |
const queue = [](普通数组) |
用push()入队、shift()出队模拟队列 |
q.empty() |
queue.length > 0 |
数组长度为 0 即表示队列为空 |
TreeNode* cur = q.front(); q.pop() |
const cur = queue.shift() |
shift()会同时取出并删除数组第一个元素 |
cur->val |
cur.val |
JS 中对象属性访问用点语法 |
nullptr |
null |
JS 的空值关键字是 null |
int i = 0 |
let i = 0 |
JS 中循环变量用 let 声明(块级作用域) |
7 小结
主要考察的是队列实现,还有层次遍历,说实话我还没怎么会,现在都是在抄题解,自己再去看看算法笔记。
二叉树的递归/层序遍历
所以又补上一题,就是层序遍历这里补一补。
自己实现了一遍清爽多了,现在回头看题目的逻辑也很简单,就是之前不熟悉队列或者数组的处理节点的方法,现在我觉得我比之前明白一些了,如果要学透------还是第一轮刷题结束了再来一遍总结一下吧!
召唤ai老师总结!
首先祝你除夕快乐,马年大吉🎆!
结合你这段时间学习的二叉树层序遍历相关题目(层平均值、右视图、层序遍历),我为你做一份结构化、易记忆的核心总结,帮你梳理清楚这类题的底层逻辑和解题模板:
一、核心考点:二叉树的层序遍历(BFS)
所有这三道题的底层逻辑都是二叉树的层序遍历(广度优先搜索 / BFS) ,核心是用队列实现 "逐层访问",区别仅在于 "每层数据的处理方式"。
| 题目 | 核心需求 | 层序遍历的差异化处理 |
|---|---|---|
| 637. 层平均值 | 求每层节点值的平均值 | 累加每层总和 → 总和 ÷ 层节点数 |
| 199. 右视图 | 取每层最右侧节点值 | 仅记录每层最后一个节点(i == levelSize-1) |
| 102. 层序遍历 | 收集每层所有节点值(二维数组) | 每层节点值存入临时数组 → 临时数组加入结果 |
二、层序遍历(BFS)通用模板(C++/JS)
这是解决这类题的 "万能框架",只需修改 "每层数据处理逻辑" 即可适配不同题目:
C++ 通用模板
cpp
vector<目标类型> solve(TreeNode* root) {
vector<目标类型> res;
if (root == nullptr) return res; // 空树直接返回
queue<TreeNode*> q;
q.push(root); // 根节点入队
while (!q.empty()) {
int levelSize = q.size(); // 关键:记录当前层节点数(避免遍历中队列变化影响)
// 【可替换】每层数据的临时存储(如:vector<int> curLevel / double levelSum)
临时变量初始化;
for (int i = 0; i < levelSize; i++) {
TreeNode* cur = q.front();
q.pop();
// 【核心修改点】处理当前节点(累加/存入/判断最后一个)
处理cur->val的逻辑;
// 固定逻辑:子节点入队(先左后右)
if (cur->left != nullptr) q.push(cur->left);
if (cur->right != nullptr) q.push(cur->right);
}
// 【可替换】将当前层处理结果加入最终结果
res.push_back(当前层处理后的结果);
}
return res;
}
JS 通用模板
javascript
var solve = function(root) {
const res = [];
if (root === null) return res; // 空树直接返回
const queue = [];
queue.push(root); // 根节点入队
while (queue.length > 0) {
const levelSize = queue.length; // 关键:记录当前层节点数
// 【可替换】每层数据的临时存储(如:let curLevel = [] / let levelSum = 0.0)
临时变量初始化;
for (let i = 0; i < levelSize; i++) {
const cur = queue.shift();
// 【核心修改点】处理当前节点
处理cur.val的逻辑;
// 固定逻辑:子节点入队(先左后右)
if (cur.left !== null) queue.push(cur.left);
if (cur.right !== null) queue.push(cur.right);
}
// 【可替换】将当前层处理结果加入最终结果
res.push(当前层处理后的结果);
}
return res;
};
三、避坑指南(你踩过的坑 + 高频错误)
-
返回值类型错误(层序遍历题的核心坑):
- 层序遍历要求返回
vector<vector<int>>(二维数组),但容易误定义为vector<int>(一维),直接导致编译报错; - 解决:先看函数声明的返回值类型,再定义结果变量(二维数组存 "层的集合",一维数组存 "单一层的节点")。
- 层序遍历要求返回
-
混淆 "右视图" 和 "只走右孩子":
- 错误思路:递归只访问右孩子(会漏掉 "左子树更深时的右侧可见节点");
- 正确逻辑:层序遍历取每层最后一个节点(无论该节点来自左 / 右子树)。
-
层节点数的时机错误:
- 错误:在 for 循环内获取
q.size()(队列会动态加入下一层节点,导致层节点数计算错误); - 正确:在 for 循环前 记录
levelSize = q.size()(此时队列全是当前层节点)。
- 错误:在 for 循环内获取
-
数据类型溢出(层平均值题):
- 错误:用
int存储层总和(节点值过大时溢出); - 正确:用
double存储总和(即使节点值是 int,除法也能保留小数)。
- 错误:用
四、关键结论
- 二叉树层序遍历类题目是 "换汤不换药":队列实现逐层遍历是固定框架,仅需修改 "每层数据的处理逻辑";
- 新手优先掌握 BFS(层序遍历):比 DFS 更直观,适配所有层相关题目;
- 解题步骤:先写通用框架 → 明确每层要收集 / 计算什么 → 替换框架中的 "临时变量" 和 "处理逻辑"。
你现在已经能复刻题解、识别错误,说明已经掌握了核心思路!第一轮刷题重在 "理解模板、踩坑复盘",后续二刷时可以对比 BFS 和 DFS 的实现差异(比如右视图的 DFS 写法),会有更通透的理解。
最后再次祝你新春愉快,马年编程能力 "马" 上提升🚀!
好,加油加油!(ง •_•)ง~