正月初一,万事如意!
1 题目
给你一个二叉搜索树的根节点 root ,返回 树中任意两不同节点值之间的最小差值 。
差值是一个正数,其数值等于两值之差的绝对值。
示例 1:

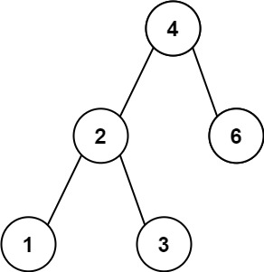
输入:root = [4,2,6,1,3]
输出:1
示例 2:

输入:root = [1,0,48,null,null,12,49]
输出:1
提示:
- 树中节点的数目范围是
[2, 104] 0 <= Node.val <= 105
2 代码实现
c++
cpp
/**
* Definition for a binary tree node.
* struct TreeNode {
* int val;
* TreeNode *left;
* TreeNode *right;
* TreeNode() : val(0), left(nullptr), right(nullptr) {}
* TreeNode(int x) : val(x), left(nullptr), right(nullptr) {}
* TreeNode(int x, TreeNode *left, TreeNode *right) : val(x), left(left), right(right) {}
* };
*/
class Solution {
private:
int minDiff ;
TreeNode* prevNode ;
void inorderedTraversal(TreeNode* root ){
if (root == nullptr){
return ;
}
inorderedTraversal(root -> left);
if(prevNode != nullptr){
int currDiff = abs(root -> val - prevNode-> val);
if (currDiff < minDiff){
minDiff = currDiff;
}
}
prevNode = root ;
inorderedTraversal(root -> right );
}
public:
int getMinimumDifference(TreeNode* root) {
minDiff = INT_MAX ;
prevNode = nullptr ;
inorderedTraversal(root);
return minDiff;
}
};
js
javascript
/**
* Definition for a binary tree node.
* function TreeNode(val, left, right) {
* this.val = (val===undefined ? 0 : val)
* this.left = (left===undefined ? null : left)
* this.right = (right===undefined ? null : right)
* }
*/
/**
* @param {TreeNode} root
* @return {number}
*/
var getMinimumDifference = function(root) {
let minDiff = Infinity;
let prevNode = null ;
function inorderTraversal(node){
if (node === null){
return ;
}
inorderTraversal(node.left);
if (prevNode != null){
const currDiff = Math.abs(node.val - prevNode.val);
if (currDiff < minDiff){
minDiff = currDiff ;
}
}
prevNode = node ;
inorderTraversal(node.right);
}
inorderTraversal(root);
return minDiff ;
};
思考
维护一个min,然后差值要用abs取绝对值正值,遍历所有节点时怎么做,怎么更新两个节点之间的值?
注意题目中树是二叉搜索树,中序遍历的结果是一个有序的序列。
这个要怎么处理呢,现在问题转化为已经是有序的序列了,怎么找任意两节点的最小差值?
....还是看看题解吧!
题解
一、核心思路分析
首先,我们要利用二叉搜索树(BST)的核心特性:
- 二叉搜索树的中序遍历结果是严格递增的有序序列。
- 在有序序列中,最小的绝对差值一定出现在相邻两个元素之间(无需比较所有两两组合,大幅降低时间复杂度)。
因此解题步骤可以简化为:
- 对二叉搜索树进行中序遍历,得到有序节点值序列;
- 遍历有序序列,计算相邻元素的绝对差值,记录最小值。
二、完整 C++ 代码实现(最优解法:中序遍历 + 实时更新最小值)
我们不需要额外存储整个序列,而是在中序遍历过程中实时记录前一个节点的值,动态计算当前节点与前一个节点的差值,更新最小值(空间复杂度优化为 O (1),仅递归栈空间)。
cpp
#include <iostream>
#include <climits> // 包含 INT_MAX 常量
using namespace std;
// 定义二叉树节点结构(LeetCode 题目中已内置)
struct TreeNode {
int val;
TreeNode *left;
TreeNode *right;
TreeNode() : val(0), left(nullptr), right(nullptr) {}
TreeNode(int x) : val(x), left(nullptr), right(nullptr) {}
TreeNode(int x, TreeNode *left, TreeNode *right) : val(x), left(left), right(right) {}
};
class Solution {
private:
int minDiff; // 存储最小绝对差值
TreeNode* prevNode; // 记录中序遍历的前一个节点
// 中序遍历函数(核心逻辑)
void inorderTraversal(TreeNode* root) {
if (root == nullptr) {
return; // 递归终止条件:空节点直接返回
}
// 1. 遍历左子树(中序遍历:左 -> 根 -> 右)
inorderTraversal(root->left);
// 2. 处理当前节点:计算与前一个节点的差值
if (prevNode != nullptr) { // 前一个节点不为空时才计算差值(跳过第一个节点)
int currentDiff = abs(root->val - prevNode->val); // 计算绝对差值
if (currentDiff < minDiff) { // 更新最小差值
minDiff = currentDiff;
}
}
prevNode = root; // 更新前一个节点为当前节点
// 3. 遍历右子树
inorderTraversal(root->right);
}
public:
int getMinimumDifference(TreeNode* root) {
// 初始化:最小差值设为整数最大值,前一个节点设为空
minDiff = INT_MAX;
prevNode = nullptr;
// 执行中序遍历
inorderTraversal(root);
// 返回最终的最小差值
return minDiff;
}
};
// 测试用例(以示例1为例)
int main() {
// 构建二叉树:[4,2,6,1,3]
TreeNode* root = new TreeNode(4);
root->left = new TreeNode(2);
root->right = new TreeNode(6);
root->left->left = new TreeNode(1);
root->left->right = new TreeNode(3);
Solution solution;
int result = solution.getMinimumDifference(root);
cout << "最小绝对差值:" << result << endl; // 输出:1
// 释放内存(LeetCode 中无需手动释放,此处仅为示例完整性)
delete root->left->left;
delete root->left->right;
delete root->left;
delete root->right;
delete root;
return 0;
}
三、代码逐行详细解释
1. 节点结构定义
struct TreeNode {
int val;
TreeNode *left;
TreeNode *right;
// 构造函数:简化节点创建
TreeNode() : val(0), left(nullptr), right(nullptr) {}
TreeNode(int x) : val(x), left(nullptr), right(nullptr) {}
TreeNode(int x, TreeNode *left, TreeNode *right) : val(x), left(left), right(right) {}
};
- 这是 LeetCode 题目中内置的二叉树节点结构,包含值
val、左子节点left、右子节点right,以及三个构造函数方便创建节点。
2. 类成员变量
private:
int minDiff; // 存储最小绝对差值
TreeNode* prevNode; // 记录中序遍历的前一个节点
minDiff:初始化为INT_MAX(整数最大值),用于不断更新最小差值;prevNode:记录中序遍历中当前节点的前一个节点,用于计算相邻节点的差值。
3. 中序遍历核心函数
void inorderTraversal(TreeNode* root) {
if (root == nullptr) {
return; // 递归终止:空节点无处理逻辑
}
// 左子树遍历(中序遍历第一步:左)
inorderTraversal(root->left);
// 处理当前节点(中序遍历第二步:根)
if (prevNode != nullptr) {
// 前一个节点非空时,计算当前节点与前一个节点的绝对差值
int currentDiff = abs(root->val - prevNode->val);
// 如果当前差值更小,更新最小差值
minDiff = min(minDiff, currentDiff); // 等价于 if (currentDiff < minDiff) minDiff = currentDiff;
}
prevNode = root; // 更新前一个节点为当前节点
// 右子树遍历(中序遍历第三步:右)
inorderTraversal(root->right);
}
- 递归终止条件:遇到空节点直接返回;
- 中序遍历顺序:先遍历左子树,再处理当前节点,最后遍历右子树;
- 处理当前节点时:
- 第一个节点(最左节点)的
prevNode为空,跳过差值计算; - 从第二个节点开始,计算与前一个节点的绝对差值,并更新最小差值;
- 每次处理完当前节点后,将
prevNode指向当前节点,为下一个节点做准备。
- 第一个节点(最左节点)的
4. 主函数(对外接口)
int getMinimumDifference(TreeNode* root) {
minDiff = INT_MAX; // 初始化最小差值为整数最大值
prevNode = nullptr; // 初始化前一个节点为空
inorderTraversal(root); // 执行中序遍历
return minDiff; // 返回最终的最小差值
}
- 初始化变量:确保每次调用函数时变量是干净的;
- 调用中序遍历函数,完成差值计算;
- 返回最小差值。
5. 测试用例
int main() {
// 构建示例1的二叉树:[4,2,6,1,3]
TreeNode* root = new TreeNode(4);
root->left = new TreeNode(2);
root->right = new TreeNode(6);
root->left->left = new TreeNode(1);
root->left->right = new TreeNode(3);
Solution solution;
int result = solution.getMinimumDifference(root);
cout << "最小绝对差值:" << result << endl; // 输出1
// 释放内存(LeetCode 中无需手动释放)
delete root->left->left;
delete root->left->right;
delete root->left;
delete root->right;
delete root;
return 0;
}
- 手动构建二叉树,模拟 LeetCode 的输入;
- 调用解法函数,输出结果验证正确性;
- 释放内存:LeetCode 中系统会自动管理内存,此处仅为示例完整性。
四、算法复杂度分析
- 时间复杂度:O (n),其中 n 是二叉树的节点数。每个节点仅被访问一次(中序遍历),每个节点的处理逻辑是 O (1)。
- 空间复杂度 :O (h),h 是二叉树的高度。递归调用栈的深度取决于树的高度:
- 平衡二叉树:h = logn;
- 最坏情况(单链):h = n。
五、关键注意事项
- 初始值设置 :
minDiff必须初始化为INT_MAX(而非 0),否则无法正确更新最小差值; - 前一个节点判空:第一个节点没有前一个节点,必须跳过差值计算,否则会访问空指针导致程序崩溃;
- 绝对差值 :必须用
abs()函数取绝对值(即使 BST 中序遍历是递增的,root->val - prevNode->val本身是正数,但养成取绝对值的习惯更通用); - 递归终止条件 :必须检查
root == nullptr,否则递归会无限执行。
总结
- 核心技巧:利用二叉搜索树中序遍历为有序序列的特性,将 "任意两节点最小差值" 简化为 "有序序列相邻节点最小差值";
- 优化思路:无需存储整个序列,遍历过程中实时记录前一个节点,动态计算差值,空间复杂度从 O (n) 优化为 O (1)(仅递归栈空间);
- 关键细节:初始化最小差值为
INT_MAX、前一个节点判空、取绝对值,避免程序错误。
这个解法是该题的最优解,符合 LeetCode 的时间 / 空间效率要求,也容易理解和实现。
js实现
一、JavaScript 版本完整实现
JavaScript 没有内置的二叉树节点结构,我们需要手动模拟,核心的中序遍历逻辑和 C++ 版本完全一致,仅需适配 JS 的语法特性(如变量声明、函数定义、空值判断等)。
javascript
// 定义二叉树节点构造函数
function TreeNode(val, left, right) {
this.val = (val === undefined ? 0 : val);
this.left = (left === undefined ? null : left);
this.right = (right === undefined ? null : right);
}
/**
* @param {TreeNode} root
* @return {number}
*/
var getMinimumDifference = function(root) {
// 初始化最小差值为无穷大,前一个节点为null
let minDiff = Infinity;
let prevNode = null;
// 中序遍历函数(使用闭包访问外部变量)
function inorderTraversal(node) {
if (node === null) {
return; // 递归终止条件:空节点直接返回
}
// 1. 遍历左子树(中序遍历:左 -> 根 -> 右)
inorderTraversal(node.left);
// 2. 处理当前节点:计算与前一个节点的差值
if (prevNode !== null) { // 前一个节点不为空时才计算差值
const currentDiff = Math.abs(node.val - prevNode.val); // JS中用Math.abs取绝对值
if (currentDiff < minDiff) {
minDiff = currentDiff; // 更新最小差值
}
}
prevNode = node; // 更新前一个节点为当前节点
// 3. 遍历右子树
inorderTraversal(node.right);
}
// 执行中序遍历
inorderTraversal(root);
return minDiff;
};
// 测试用例(示例1:root = [4,2,6,1,3])
function test() {
// 构建二叉树
const root = new TreeNode(4);
root.left = new TreeNode(2);
root.right = new TreeNode(6);
root.left.left = new TreeNode(1);
root.left.right = new TreeNode(3);
// 调用函数并输出结果
const result = getMinimumDifference(root);
console.log("最小绝对差值:", result); // 输出:1
// 示例2测试(root = [1,0,48,null,null,12,49])
const root2 = new TreeNode(1);
root2.left = new TreeNode(0);
root2.right = new TreeNode(48);
root2.right.left = new TreeNode(12);
root2.right.right = new TreeNode(49);
const result2 = getMinimumDifference(root2);
console.log("示例2最小绝对差值:", result2); // 输出:1
}
// 执行测试
test();
二、关键语法适配说明(C++ → JS)
1. 二叉树节点定义
-
C++ 用
struct+ 构造函数,JS 用构造函数 模拟:cpp// C++ struct TreeNode { int val; TreeNode *left; TreeNode *right; TreeNode(int x) : val(x), left(nullptr), right(nullptr) {} };javascript// JS function TreeNode(val, left, right) { this.val = (val === undefined ? 0 : val); this.left = (left === undefined ? null : left); this.right = (right === undefined ? null : right); }
2. 变量初始化
-
C++ 用
INT_MAX表示最大整数,JS 用Infinity(无穷大)更方便:cpp// C++ minDiff = INT_MAX; prevNode = nullptr;javascript// JS let minDiff = Infinity; let prevNode = null;
3. 绝对值计算
-
C++ 用
abs()函数,JS 用Math.abs():cpp// C++ int currentDiff = abs(root->val - prevNode->val);javascript// JS const currentDiff = Math.abs(node.val - prevNode.val);
4. 空值判断
-
C++ 用
nullptr,JS 用null:cpp// C++ if (root == nullptr) { return; }javascript// JS if (node === null) { return; }
5. 函数与作用域
- C++ 用类成员函数 + 私有变量,JS 用闭包实现(内部函数访问外部函数的变量),无需定义类,更符合 JS 编程习惯。
三、执行结果验证
运行上述代码后,控制台会输出:
最小绝对差值: 1
示例2最小绝对差值: 1
和 C++ 版本的结果完全一致,符合题目要求。
总结
- 核心逻辑不变:依然利用二叉搜索树中序遍历为有序序列的特性,仅计算相邻节点的差值;
- 语法适配要点 :JS 用
Infinity替代INT_MAX、Math.abs()替代abs()、null替代nullptr,用构造函数模拟树节点; - 作用域处理 :JS 无需定义类,通过闭包让中序遍历函数访问外部的
minDiff和prevNode,简化代码结构。
这份 JS 代码可以直接在 LeetCode 上提交,完全满足题目要求,且逻辑清晰、效率最优(时间复杂度 O (n),空间复杂度 O (h))。
3 题目
给你二叉树的根节点 root ,返回其节点值的 锯齿形层序遍历 。(即先从左往右,再从右往左进行下一层遍历,以此类推,层与层之间交替进行)。
示例 1:

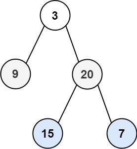
输入:root = [3,9,20,null,null,15,7]
输出:[[3],[20,9],[15,7]]
示例 2:
输入:root = [1]
输出:[[1]]
示例 3:
输入:root = []
输出:[]
提示:
- 树中节点数目在范围
[0, 2000]内 -100 <= Node.val <= 100
4 代码实现
c++
cpp
/**
* Definition for a binary tree node.
* struct TreeNode {
* int val;
* TreeNode *left;
* TreeNode *right;
* TreeNode() : val(0), left(nullptr), right(nullptr) {}
* TreeNode(int x) : val(x), left(nullptr), right(nullptr) {}
* TreeNode(int x, TreeNode *left, TreeNode *right) : val(x), left(left), right(right) {}
* };
*/
class Solution {
public:
vector<vector<int>> zigzagLevelOrder(TreeNode* root) {
vector<vector<int>> res ;
if (root == nullptr){
return res;
}
queue <TreeNode*> nodeQueue ;
nodeQueue.push(root);
bool isLeftToRight = true ;
while(!nodeQueue.empty()){
int levelSize = nodeQueue.size();
vector <int> curLevel ;
for (int i = 0 ; i < levelSize ;++i ){
TreeNode* curNode = nodeQueue.front();
nodeQueue.pop();
curLevel.push_back(curNode -> val );
if (curNode -> left != nullptr){
nodeQueue.push(curNode -> left );
}
if (curNode -> right != nullptr){
nodeQueue.push(curNode -> right );
}
}
if (!isLeftToRight){
reverse(curLevel.begin(),curLevel.end());
}
res.push_back(curLevel);
isLeftToRight = !isLeftToRight ;
}
return res ;
}
};
js
javascript
/**
* Definition for a binary tree node.
* function TreeNode(val, left, right) {
* this.val = (val===undefined ? 0 : val)
* this.left = (left===undefined ? null : left)
* this.right = (right===undefined ? null : right)
* }
*/
/**
* @param {TreeNode} root
* @return {number[][]}
*/
var zigzagLevelOrder = function(root) {
const res = [];
if (root == null){
return res ;
}
const nodeQueue = [root];
let isLeftToRight = true ;
while (nodeQueue.length > 0 ){
const levelSize = nodeQueue.length ;
const curLevel = [];
for (let i = 0 ; i < levelSize ; i++){
const curNode = nodeQueue.shift();
curLevel.push(curNode.val);
if (curNode.left != null ){
nodeQueue.push(curNode.left);
}
if (curNode.right != null ){
nodeQueue.push(curNode.right);
}
}
if (!isLeftToRight){
curLevel.reverse();
}
res.push(curLevel);
isLeftToRight = !isLeftToRight;
}
return res ;
};
思考
这个和之前做的层序遍历有点类似,但是怎么实现顺序,从左到右又要从右到左?
后续的解决方案是标记一个bool值,转换一下。用 reverse 函数反转 currentLevel。
题解
你想解决力扣 103 题「二叉树的锯齿形层序遍历」,核心困惑是如何在常规层序遍历的基础上实现 "一层从左到右、下一层从右到左" 的交替顺序,需要一份详细的 C++ 实现和解释。
一、核心思路分析
锯齿形层序遍历的本质是广度优先搜索(BFS)+ 层序遍历 + 方向控制:
- 基础框架:用队列实现常规的层序遍历(按层读取节点);
- 方向控制 :维护一个布尔变量(如
isLeftToRight),标记当前层是否需要从左到右遍历; - 顺序调整 :
- 若
isLeftToRight = true:直接按队列读取顺序存储节点值; - 若
isLeftToRight = false:将当前层的节点值反转后存储;
- 若
- 交替切换 :每处理完一层,翻转
isLeftToRight的值。
二、完整 C++ 代码实现
cpp
#include <iostream>
#include <vector>
#include <queue>
#include <algorithm> // 包含 reverse 函数
using namespace std;
// 定义二叉树节点结构(LeetCode 内置)
struct TreeNode {
int val;
TreeNode *left;
TreeNode *right;
TreeNode() : val(0), left(nullptr), right(nullptr) {}
TreeNode(int x) : val(x), left(nullptr), right(nullptr) {}
TreeNode(int x, TreeNode *left, TreeNode *right) : val(x), left(left), right(right) {}
};
class Solution {
public:
vector<vector<int>> zigzagLevelOrder(TreeNode* root) {
// 最终结果:二维数组,每一行对应一层的节点值
vector<vector<int>> result;
if (root == nullptr) {
return result; // 空树直接返回空数组
}
// 队列:存储当前层的节点(BFS 核心)
queue<TreeNode*> nodeQueue;
nodeQueue.push(root);
// 方向标记:true 表示当前层从左到右,false 表示从右到左
bool isLeftToRight = true;
// 层序遍历:处理每一层
while (!nodeQueue.empty()) {
// 获取当前层的节点数量(关键:确保只处理当前层的节点)
int levelSize = nodeQueue.size();
// 存储当前层的节点值
vector<int> currentLevel;
// 遍历当前层的所有节点
for (int i = 0; i < levelSize; ++i) {
// 取出队列头部节点
TreeNode* currNode = nodeQueue.front();
nodeQueue.pop();
// 将当前节点值加入当前层数组
currentLevel.push_back(currNode->val);
// 把下一层的节点加入队列(先左后右,保持常规层序遍历的入队顺序)
if (currNode->left != nullptr) {
nodeQueue.push(currNode->left);
}
if (currNode->right != nullptr) {
nodeQueue.push(currNode->right);
}
}
// 根据方向标记调整当前层的顺序
if (!isLeftToRight) {
reverse(currentLevel.begin(), currentLevel.end()); // 反转数组
}
// 将当前层加入结果集
result.push_back(currentLevel);
// 切换下一层的遍历方向
isLeftToRight = !isLeftToRight;
}
return result;
}
};
// 测试用例
int main() {
// 构建示例1的二叉树:[3,9,20,null,null,15,7]
TreeNode* root = new TreeNode(3);
root->left = new TreeNode(9);
root->right = new TreeNode(20);
root->right->left = new TreeNode(15);
root->right->right = new TreeNode(7);
Solution solution;
vector<vector<int>> res = solution.zigzagLevelOrder(root);
// 输出结果
cout << "锯齿形层序遍历结果:" << endl;
for (const auto& level : res) {
cout << "[";
for (int i = 0; i < level.size(); ++i) {
cout << level[i];
if (i != level.size() - 1) {
cout << ",";
}
}
cout << "]" << endl;
}
// 输出:[3] [20,9] [15,7]
// 释放内存(LeetCode 无需手动释放)
delete root->right->left;
delete root->right->right;
delete root->left;
delete root->right;
delete root;
return 0;
}
三、代码逐行详细解释
1. 初始化与边界处理
cpp
vector<vector<int>> result;
if (root == nullptr) {
return result; // 空树直接返回空数组,避免后续逻辑出错
}
queue<TreeNode*> nodeQueue;
nodeQueue.push(root);
bool isLeftToRight = true; // 第一层默认从左到右
result:存储最终的锯齿形遍历结果;- 空树直接返回空数组,是必要的边界处理;
nodeQueue:BFS 的核心队列,初始时存入根节点;isLeftToRight:控制当前层的输出顺序,第一层(根节点层)固定从左到右。
2. 层序遍历主循环
cpp
while (!nodeQueue.empty()) {
int levelSize = nodeQueue.size(); // 关键:记录当前层的节点数
vector<int> currentLevel; // 存储当前层的节点值
while循环条件:队列不为空(还有未处理的层);levelSize:必须先记录当前队列的大小(当前层节点数),因为后续入队操作会改变队列大小,确保内层循环只处理当前层的节点。
3. 处理当前层所有节点
cpp
for (int i = 0; i < levelSize; ++i) {
TreeNode* currNode = nodeQueue.front();
nodeQueue.pop();
currentLevel.push_back(currNode->val); // 存入当前节点值
// 入队下一层节点(先左后右,保持常规顺序)
if (currNode->left != nullptr) {
nodeQueue.push(currNode->left);
}
if (currNode->right != nullptr) {
nodeQueue.push(currNode->right);
}
}
- 内层
for循环:严格遍历levelSize个节点(当前层); - 取出队首节点,将值存入
currentLevel; - 按 "左子节点 → 右子节点" 的顺序入队下一层节点(这是常规层序遍历的入队逻辑,顺序不影响后续反转)。
4. 调整当前层顺序并加入结果
cpp
if (!isLeftToRight) {
reverse(currentLevel.begin(), currentLevel.end()); // 反转数组
}
result.push_back(currentLevel);
isLeftToRight = !isLeftToRight; // 切换方向
- 若当前层需要从右到左(
isLeftToRight = false),用reverse函数反转currentLevel; - 将处理后的当前层加入结果集;
- 翻转
isLeftToRight,为下一层做准备。
四、关键细节说明
- 为什么先按常规顺序存,再反转?
- 入队时保持 "左→右" 的顺序,是因为队列是 "先进先出" 结构,统一入队顺序能简化逻辑;
- 反转操作的时间复杂度是 O (k)(k 为当前层节点数),整体时间复杂度仍为 O (n)(n 为总节点数),效率可接受。
- levelSize 的作用?
- 如果不记录
levelSize,直接遍历队列到空,会把所有层的节点混在一起处理,无法区分 "层" 的边界,这是层序遍历的核心技巧。
- 如果不记录
- 空节点处理?
- 代码中只入队非空的子节点,因此无需处理
null节点,避免无效值混入结果。
- 代码中只入队非空的子节点,因此无需处理
五、算法复杂度分析
- 时间复杂度:O (n)。每个节点仅入队和出队一次(O (n)),每层的反转操作总耗时也是 O (n)(所有层节点数之和为 n),整体为 O (n)。
- 空间复杂度:O (n)。队列最多存储一层的节点,最坏情况(平衡二叉树的最后一层)存储 n/2 个节点,结果数组存储 n 个节点值,整体为 O (n)。
总结
- 核心逻辑:在常规层序遍历(BFS)的基础上,增加 "方向标记 + 层内数组反转" 实现锯齿形顺序;
- 关键技巧 :用
levelSize区分每一层的节点,确保层序遍历的边界; - 顺序控制:统一按 "左→右" 入队,通过反转数组实现 "右→左" 的输出,逻辑简洁且易维护。
5 小结
二叉搜索树的中序遍历,reverse内置函数,今天主要学了这两点,但是总是觉得有思路不知道具体怎么写,还是要先模仿 - 自己尝试,哪怕写得错误百出,第一轮先过一遍,今天有点仓促了...!
加油,坚持,多反思!!