当RAG的"压缩包"爆了:如何检测Token溢出?
论文标题:Detecting Overflow in Compressed Token Representations for Retrieval-Augmented Generation
作者:Julia Belikova, Danila Rozhevskii, Dennis Svirin, Konstantin Polev, Alexander Panchenko
机构:Skoltech, Sber AI Lab, AIRI
会议:EACL 2026 Student Research Workshop
🎯 一句话总结
RAG系统中的软压缩(如xRAG)把整篇文档塞进一个token,但信息装不下时就会"溢出"------这篇论文给出了检测溢出的方法:一个轻量级探测分类器,不需要跑LLM推理,只用投影后的表示就能达到0.72 AUC,相当于给压缩模块装了个"压力表"。
📖 这篇论文到底想解决什么问题?
想象你有一个行李箱(压缩token),要把一间房子的东西(长文档)塞进去。压缩技术能帮你折叠、真空打包,但总有个极限------箱子装不下的时候,东西就会从缝隙里掉出来。在RAG系统中,这个"东西掉出来"的现象就是Token溢出(Token Overflow)。
具体来说,问题出在**软压缩(Soft Compression)**这条技术路线上。当前的LLM在处理长上下文时面临巨大的计算开销,RAG系统检索到的文档动辄几百个token,拼接多个文档后上下文轻松破万。软压缩的思路是:与其让LLM逐字阅读,不如把文档"蒸馏"成几个密集的向量表示------也就是压缩token。
这里面最激进的代表是xRAG (NeurIPS 2024),直接把一整篇文档压缩成一个token。没错,175个token的文档,压成1个。压缩率175倍。
但问题来了:你怎么知道这一个token还能不能代表原文的关键信息?
如果用户问"文章里提到的实验数据是多少?",而这个信息在压缩过程中被丢掉了,模型就只能瞎猜------更麻烦的是,模型不会告诉你它在瞎猜。这种"静默失败"才是最危险的。
这篇论文干的事情就是:给压缩模块加一个溢出检测器,在LLM开始生成答案之前就判断"这个压缩token还够用吗?"如果不够用,可以选择回退到完整文档,避免生成垃圾答案。
🧠 技术背景:xRAG是怎么把文档塞进一个Token的?
在深入溢出检测之前,有必要搞清楚被检测的对象------xRAG------到底是怎么工作的。
RAG的上下文困境
标准RAG的流程很直白:用户提问 → 检索相关文档 → 把文档文本拼在问题前面 → 送给LLM生成答案。问题在于,检索回来5篇文档,每篇200个token,加上问题本身,输入长度就到了1000+。这不仅慢,而且当文档数量增多时,KV Cache的显存开销也线性增长。
软压缩:把文本变成向量
软压缩的核心idea是:既然检索器已经把文档编码成了一个稠密嵌入向量(dense embedding),为什么不直接把这个向量喂给LLM,而非要解码回文本再编码一遍?
这有点像:你已经拍了一张照片(向量表示),为什么还要先把照片打印出来(解码成文本),再让另一个人重新拍一遍(LLM重新编码)?直接把照片传过去不好吗?
xRAG就是这么干的。它把检索器产生的文档嵌入向量 EEE 通过一个两层MLP投影器 W\mathbf{W}W 映射到LLM的词嵌入空间:
W(E)⊕Emb(q)\mathbf{W}(E) \oplus \text{Emb}(q)W(E)⊕Emb(q)
投影后的向量占据一个token位置,与查询的词嵌入拼接后送入LLM。投影器仅占模型总参数的0.46%(Mistral-7B场景下),训练时LLM和检索器都冻结,只训练投影器。
训练分两阶段:
- 释义预训练:给定压缩token,让模型恢复出原文档文本------相当于教LLM"读懂"这个特殊token
- 上下文感知指令微调:在QA任务上微调,并用完整文档RAG作为教师做自蒸馏
这套方案在多个QA数据集上表现接近甚至超过传统RAG,同时把输入长度从175个token压到1个。
但,175倍压缩率的代价是什么?
这正是这篇论文要回答的问题。xRAG的投影器是一个固定容量的瓶颈,当文档信息量超过这个瓶颈所能承载的上限时,信息就会丢失。更关键的是,丢失的信息可能恰好是回答当前查询所需要的那部分。
🏗️ 方法详解:从"压力表"到"溢出检测器"
论文围绕三个研究问题(RQ)展开,层层递进:
| 研究问题 | 核心关切 |
|---|---|
| RQ1 | 溢出在压缩表示中长什么样?有什么统计特征? |
| RQ2 | 能否不跑LLM推理,用轻量级方法高效检测溢出? |
| RQ3 | 只看压缩token够不够?还是必须结合查询信息? |
溢出的形式化定义
作者给"溢出"下了个干净的操作性定义。设 M\mathcal{M}M 是冻结的LLM,C\mathcal{C}C 是压缩模块。对于一条样本 (qi,xi,ai)(q_i, x_i, a_i)(qi,xi,ai)(查询、上下文、答案),定义任务正确性指标 T\mathcal{T}T:
Oi={1,if T(无压缩)=1 且 T(有压缩)=00,otherwise\mathcal{O}_i = \begin{cases} 1, & \text{if } \mathcal{T}(\text{无压缩}) = 1 \text{ 且 } \mathcal{T}(\text{有压缩}) = 0 \\ 0, & \text{otherwise} \end{cases}Oi={1,0,if T(无压缩)=1 且 T(有压缩)=0otherwise
翻译成人话:如果模型看完整文档能答对,看压缩token答错了,那就是溢出。 这个定义很巧妙地排除了"文档本身就没有答案"和"模型本来就不会"的干扰。
第一层检测:上下文复杂性度量(查询无关)
最朴素的想法:文档越复杂、越长,压缩就越容易丢信息。作者测试了三个指标:
- 上下文长度 NctxN_{ctx}Nctx:原始token数量,越长越难压
- 语言模型困惑度 PPL:内容越"出人意料",越难压缩
- 统计可压缩性 RiR_iRi:用gzip压缩比衡量,重复内容多的文档压缩比高
这些指标完全不看查询,纯粹衡量"文档本身有多难压"。
第二层检测:Token饱和统计(查询无关)
更进一步,直接分析压缩后的token向量的统计特性。作者假设:溢出的token会像噪声,而信息保留完好的token应该有结构化的能量分布。
三个统计量:
Hoyer稀疏度------衡量向量能量是否集中在少数维度上。信息丰富的token通常稀疏度更高(能量集中),而溢出的token能量分散,趋近均匀分布。
谱熵------对向量做离散余弦变换(DCT),然后计算能量分布的熵。低熵意味着能量集中在几个频率分量上(有结构),高熵接近白噪声。这就好比听音乐和听收音机的"沙沙"声------前者有明确的频率结构,后者是均匀噪声。
峰度------衡量分布的"尖峰胖尾"程度。高斯分布的峰度为0,高峰度说明有少数维度值特别大。溢出token的维度值趋于均匀,峰度趋近0。
第三层检测:注意力特征(查询感知,需LLM推理)
这一层需要跑LLM的前向传播,分析模型在生成答案时如何"关注"压缩token:
- 对压缩token的平均注意力权重:如果模型几乎不看这个token,说明信息可能已经丢了
- 注意力比率:压缩token vs 普通token获得的注意力比值
- 注意力熵:注意力分布越散,说明模型越"困惑"
核心武器:学习型探测分类器
前面的手工特征效果有限(后面实验会看到),真正起作用的是基于表示的学习探测(Learned Probing)。
作者从不同阶段提取查询和上下文的嵌入向量,构建联合特征:
ϕi=[xi(sc);qi(sq)]\phi_i = [x_i^{(s_c)}; q_i^{(s_q)}]ϕi=[xi(sc);qi(sq)]
其中 scs_csc 和 sqs_qsq 分别是上下文和查询的表示阶段(预投影、后投影、LLM中间层、LLM最后层)。
三种分类器架构:
- 线性探针:测试溢出是否线性可分
- MLP探针:引入非线性交互
- MLP + 监督对比学习(SCL):混合损失函数,推动同类样本聚拢、异类样本远离

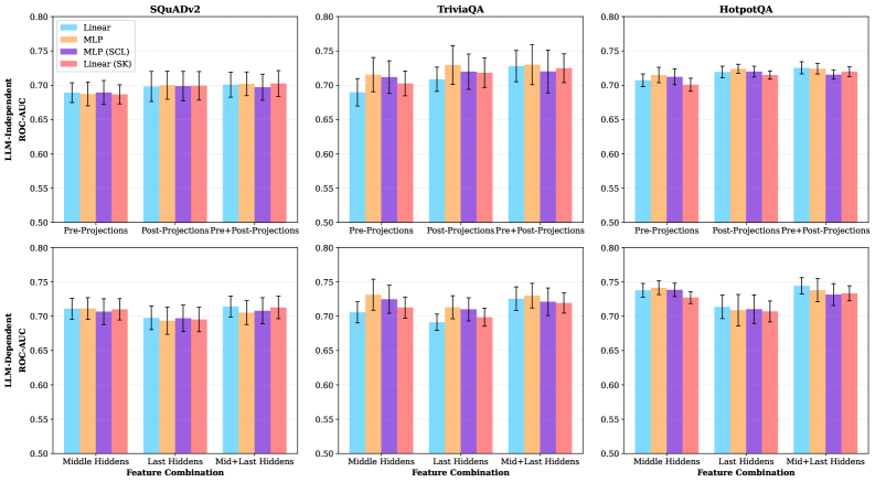
图1:不同分类器架构和特征组合的溢出检测性能(ROC-AUC)。上排是LLM-Independent(不依赖LLM推理),下排是LLM-Dependent(使用LLM隐藏层状态)。三列对应SQuADv2、TriviaQA和HotpotQA三个数据集。可以看到上下两排的性能基本持平,说明LLM推理并未提供额外信号。
🧪 实验设置与结果
实验配置
| 配置项 | 具体设置 |
|---|---|
| 基座LLM | xRAG-7B(基于Mistral-7B-Instruct-v0.2) |
| 检索器 | SFR-Embedding-Mistral |
| 数据集 | SQuADv2, TriviaQA, HotpotQA |
| 评估指标 | ROC-AUC(溢出检测是二分类任务) |
| 数据筛选 | 仅保留无压缩时能正确回答的样本 |
数据筛选这一步值得注意:作者过滤掉了"模型本来就答不对"的样本,确保研究的是纯粹由压缩引起的性能下降。
主结果(Table 1)
| 检测阶段 | 特征类型 | TriviaQA | SQuADv2 | HotpotQA | 说明 |
|---|---|---|---|---|---|
| 压缩前 | 上下文复杂性 | 0.589 | 0.605 | 0.541 | 长度、PPL等,几乎不管用 |
| 推理前 | 饱和统计 | 0.568 | 0.529 | 0.533 | 能分辨token类型,但预测不了溢出 |
| 推理前 | 联合表示探测 | 0.725 | 0.703 | 0.720 | 不需要跑LLM,平均AUC 0.72 |
| 推理后 | 联合表示探测 | 0.719 | 0.713 | 0.733 | 跑了LLM反而没提升 |
| 推理后 | 注意力特征 | 0.589 | 0.599 | 0.576 | 注意力特征帮助不大 |
RQ1:溢出长什么样?
饱和统计是个好工具,但用错了场景。
作者发现了一个有趣的"分离悖论":谱熵、峰度等饱和统计量可以极其准确地区分xRAG压缩token和普通文本token(AUC > 0.95,接近完美分类)。压缩token的谱熵比文本token低7-14%,峰度高35-87%------它们在统计上确实长得不一样。
但对于区分"溢出的压缩token"和"没溢出的压缩token",这些统计量几乎无能为力(AUC仅0.52-0.58,和抛硬币差不多)。
这说明什么?溢出不是压缩token本身的"体质问题",而是压缩token与特定查询之间的"匹配问题"。 同一个压缩token,对于问题A可能信息足够,对于问题B就不够用了。就像同一个行李箱,装冬天的衣服可能塞不下,但装夏天的衣服绰绰有余。
RQ2:能不能不跑LLM就检测溢出?
能,而且跑了LLM也没有额外收益。
学习探测分类器在后投影阶段(xRAG投影器输出之后、LLM前向传播之前)就达到了平均0.72的AUC。这意味着压缩造成的信息损失在投影完成的那一刻就已经"写在脸上"了。
更有意思的是,使用LLM中间层甚至最后层的隐藏状态来做检测,性能并没有提升(从图1可以看到上下两排的柱状图高度基本一致)。LLM的深层处理并没有把溢出信号放大或改变。
这对工程落地来说是个好消息:检测器可以作为LLM推理的前置门控(pre-LLM gate),计算开销几乎可以忽略不计。
RQ3:必须看查询吗?
必须。
联合查询-上下文表示模型(0.70-0.73 AUC)显著优于仅使用上下文表示的模型(0.64-0.69 AUC)。差距不算巨大但统计上显著,而且在所有三个数据集上一致。
更值得玩味的是:线性分类器的表现和MLP差不多。 这意味着在联合表示空间中,溢出和非溢出样本大致可以用一个超平面分开------溢出信号有简单的线性结构,不需要复杂的非线性建模就能捕捉。
消融实验细节
从图1还能读出几个有价值的细节:
-
Pre-Projections vs Post-Projections:在LLM-Independent场景下(上排),Post-Projections略优于Pre-Projections,说明xRAG投影器在映射过程中引入了某些有助于溢出区分的信号变化。
-
监督对比学习(SCL)没有明显帮助:MLP(SCL)的柱子并没有显著高于普通MLP。这可能是因为数据量有限,SCL的正则化效果被稀疏样本的方差掩盖了。
-
数据集差异:HotpotQA上的性能整体更好(0.72-0.73),这可能是因为多跳推理任务对信息完整性更敏感,溢出的"症状"更明显。
🔬 深入讨论:为什么这个问题重要?
软压缩的信任问题
xRAG号称175倍压缩、性能不降,但这是在测试集平均意义上的。落到每一条具体查询上,有多大比例会因为压缩而答错?论文的数据告诉我们:这个比例不可忽视。 否则溢出检测就没有研究的必要了。
这揭示了一个更深层的问题:压缩模型的平均性能掩盖了个体层面的不可靠性。 如果你部署xRAG来做客服问答,用户问10个问题,可能有7个答得很好,但剩下3个因为溢出给了完全错误的答案。而你无法从平均指标中预见这一点。
和信息瓶颈理论的联系
论文没有显式提到信息瓶颈(Information Bottleneck),但溢出本质上就是一个信息瓶颈问题。xRAG的投影器把高维文档表示映射到固定维度的"瓶颈",信息论告诉我们这个过程必然有信息损失。问题不在于"有没有信息损失"------答案是一定有------而在于"损失的是不是任务关键信息"。
这也解释了为什么查询无关的检测方法效果差:信息损失是与查询无关的(取决于压缩器和文档),但损失是否致命是与查询相关的。
和多模态模型的类比
xRAG把检索文档当作一种"模态",用投影器做模态融合------这和LLaVA等多模态模型的思路如出一辙。LLaVA用一个投影器把视觉编码器的输出映射到语言模型空间,xRAG用同样的方式处理检索嵌入。
那么一个自然的追问是:多模态模型中是否也存在类似的"视觉溢出"? 当图片信息过于复杂时,投影器的固定容量可能也无法完整传递所有视觉细节。这篇论文的检测方法或许可以迁移过去。
💡 实际工程启示
自适应压缩策略
0.72的AUC听起来不算高,但已经足够支撑一种实用的架构模式:
检索文档 → xRAG压缩 → 溢出检测器
├── 不溢出 → 用压缩token,省资源
└── 溢出 → 回退到完整文档
这种**自适应门控(Adaptive Gating)**策略可以在大部分"简单"查询上享受压缩带来的效率提升,只在"困难"查询上付出完整文档的计算代价。假设70%的查询不需要回退,系统整体仍然能获得可观的加速。
前置检测的成本
探测分类器本身有多轻?一个线性分类器就能达到和MLP接近的性能,计算量几乎可以忽略。即使使用MLP探针,相比一次LLM前向传播,开销也微不足道。
与其他压缩方法的适用性
论文只研究了xRAG,但检测思路应该可以推广到其他软压缩方法(如AutoCompressor、ICAE、Gist Tokens)。这些方法虽然不是压缩到一个token,但本质上都面临"压缩表示容量有限"的问题。差异只在于溢出发生的概率和阈值不同。
🤔 我的看法与局限性分析
0.72 AUC够不够?
坦白说,0.72的AUC在实际部署中还差点意思。假设溢出率为20%,0.72 AUC的检测器可能会漏掉相当一部分溢出案例,同时把一些正常的压缩token误判为溢出。
不过作为一篇Student Research Workshop论文,这项工作的价值更多在于问题定义而非解法本身。"Token溢出"这个概念的提出和形式化,比0.72还是0.82的AUC数字更有意义。后续工作可以在这个框架上继续改进检测器。
xRAG以外的适用范围
论文的实验全部在xRAG上做的,而xRAG的压缩比是极端的(175:1)。在更温和的压缩比(比如16:1的AutoCompressor)下,溢出可能更少发生,检测也可能更困难或更简单------这个问题留给了未来工作。
查询感知检测的矛盾
论文证明了"必须看查询才能有效检测溢出",但在真实RAG pipeline中,查询在检索阶段就已经可用了。真正的工程问题不是"要不要看查询",而是:你已经有了查询,为什么不直接用查询来判断该不该压缩? 比如,简单的事实查询("什么时候成立的?")可能只需要文档中的一个数字,压缩丢了不影响;但复杂推理查询需要文档的多个细节,压缩就容易出问题。一个基于查询复杂度的启发式方法可能比训练检测器更简单实用。
溢出标签的获取成本
溢出的ground truth标签需要同时跑"无压缩推理"和"有压缩推理",然后比较结果。这意味着训练检测器需要大量的标注数据,而获取这些数据的代价不低。如何降低标注成本,或者做少样本/零样本的溢出检测,是一个值得探索的方向。
📊 关键结论回顾
| 发现 | 启示 |
|---|---|
| 饱和统计能区分token类型(AUC>0.95)但不能预测溢出 | 溢出是查询相关的,不是token本身的属性 |
| 联合表示探测在推理前就达到0.72 AUC | 可以做低成本的前置门控 |
| LLM推理不提供额外检测信号 | 压缩损失在投影完成时就已确定 |
| 线性分类器表现接近MLP | 溢出信号在联合表示空间中结构简单 |
🔗 相关工作速览
| 方法 | 类型 | 压缩粒度 | 特点 |
|---|---|---|---|
| xRAG (NeurIPS 2024) | 软压缩 | 1个token/文档 | 极端压缩,投影器仅0.46%参数 |
| AutoCompressor | 软压缩 | ~50 tokens/段落 | 递归压缩,保留更多细节 |
| ICAE | 软压缩 | 可变 | 基于AE架构的上下文压缩 |
| Gist Tokens | 软压缩 | 固定gist长度 | 需要存储额外KV Cache |
| LLMLingua | 硬压缩 | 变长 | 基于困惑度的token剪枝 |
| FlexRAG | 混合压缩 | 自适应 | 选择性压缩+重要性估计 |
这篇论文的独特之处在于:它不是在提出新的压缩方法,而是给现有压缩方法配上了一个安全阀。无论压缩方法多先进,都存在信息丢失的风险,检测机制才能让系统知道什么时候该"放弃压缩"。
📝 总结
这篇论文切入了一个被普遍忽视的问题:软压缩方法在什么时候会失效? 通过严格定义Token溢出、系统性地比较从查询无关到查询感知的检测方法,作者揭示了几个有价值的洞察:
- 压缩token在统计特征上确实和普通token不一样,但这种差异不等于溢出
- 溢出是一个查询条件化的现象------同一个压缩token对不同查询的可用性不同
- 溢出信号在压缩完成那一刻就可以被捕捉,不需要等LLM处理完
对于正在考虑在RAG系统中使用软压缩的工程师来说,这篇论文传递了一个明确的信息:压缩可以用,但需要配合检测机制来兜底。 盲目相信压缩后的表示,就像把所有行李都塞进一个登机箱然后不检查拉链------迟早会在飞机上"炸开"。