27
给你一个数组 nums和一个值 val,你需要 原地 移除所有数值等于 val的元素。元素的顺序可能发生改变。然后返回 nums 中与 val 不同的元素的数量。
假设 nums 中不等于 val 的元素数量为 k,要通过此题,您需要执行以下操作:
- 更改
nums数组,使nums的前k个元素包含不等于val的元素。nums的其余元素和nums的大小并不重要。 - 返回
k。
用户评测:
评测机将使用以下代码测试您的解决方案:
int[] nums = [...]; // 输入数组
int val = ...; // 要移除的值
int[] expectedNums = [...]; // 长度正确的预期答案。
// 它以不等于 val 的值排序。
int k = removeElement(nums, val); // 调用你的实现
assert k == expectedNums.length;
sort(nums, 0, k); // 排序 nums 的前 k 个元素
for (int i = 0; i < actualLength; i++) {
assert nums[i] == expectedNums[i];
}
如果所有的断言都通过,你的解决方案将会 通过。
示例 1:
输入:nums = [3,2,2,3], val = 3
输出:2, nums = [2,2,_,_]
解释:你的函数应该返回 k = 2, 并且 nums 中的前两个元素均为 2。
你在返回的 k 个元素之外留下了什么并不重要(因此它们并不计入评测)。
示例 2:
输入:nums = [0,1,2,2,3,0,4,2], val = 2
输出:5, nums = [0,1,4,0,3,_,_,_]
解释:你的函数应该返回 k = 5,并且 nums 中的前五个元素为 0,0,1,3,4。
注意这五个元素可以任意顺序返回。
你在返回的 k 个元素之外留下了什么并不重要(因此它们并不计入评测)。
python
class Solution(object):
def removeElement(self, nums, val):
"""
:type nums: List[int]
:type val: int
:rtype: int
"""
right = len(nums)-1
left = 0
while left<=right:
if nums[left]==val:
if nums[right] != val:
nums[left] = nums[right]
nums[right] = val
left += 1
right -= 1
if nums[right] == val:
right -= 1
else:
left += 1
return left
26
给你一个数组 nums和一个值 val,你需要 原地 移除所有数值等于 val的元素。元素的顺序可能发生改变。然后返回 nums 中与 val 不同的元素的数量。
假设 nums 中不等于 val 的元素数量为 k,要通过此题,您需要执行以下操作:
- 更改
nums数组,使nums的前k个元素包含不等于val的元素。nums的其余元素和nums的大小并不重要。 - 返回
k。
用户评测:
评测机将使用以下代码测试您的解决方案:
int[] nums = [...]; // 输入数组
int val = ...; // 要移除的值
int[] expectedNums = [...]; // 长度正确的预期答案。
// 它以不等于 val 的值排序。
int k = removeElement(nums, val); // 调用你的实现
assert k == expectedNums.length;
sort(nums, 0, k); // 排序 nums 的前 k 个元素
for (int i = 0; i < actualLength; i++) {
assert nums[i] == expectedNums[i];
}
如果所有的断言都通过,你的解决方案将会 通过。
示例 1:
输入:nums = [3,2,2,3], val = 3
输出:2, nums = [2,2,_,_]
解释:你的函数应该返回 k = 2, 并且 nums 中的前两个元素均为 2。
你在返回的 k 个元素之外留下了什么并不重要(因此它们并不计入评测)。
示例 2:
输入:nums = [0,1,2,2,3,0,4,2], val = 2
输出:5, nums = [0,1,4,0,3,_,_,_]
解释:你的函数应该返回 k = 5,并且 nums 中的前五个元素为 0,0,1,3,4。
注意这五个元素可以任意顺序返回。
你在返回的 k 个元素之外留下了什么并不重要(因此它们并不计入评测)。
python
class Solution(object):
def removeDuplicates(self, nums):
"""
:type nums: List[int]
:rtype: int
"""
i = 0
for j in range(len(nums)):
if nums[j]!=nums[i]:
i+=1
nums[i]=nums[j]
return i+1
283
代码
代码
通过
测试用例
测试用例
测试结果
给定一个数组 nums,编写一个函数将所有 0 移动到数组的末尾,同时保持非零元素的相对顺序。
请注意 ,必须在不复制数组的情况下原地对数组进行操作。
示例 1:
输入: nums = [0,1,0,3,12]
输出: [1,3,12,0,0]
示例 2:
输入: nums = [0]
输出: [0]
python
class Solution(object):
def moveZeroes(self, nums):
"""
:type nums: List[int]
:rtype: None Do not return anything, modify nums in-place instead.
"""
if nums==[0] or not nums:
return nums
i = -1
for j in range(len(nums)):
if nums[j] != 0:
i+=1
nums[i]=nums[j]
for j in range(i+1,len(nums)):
nums[j]=0
844
给定 s 和 t 两个字符串,当它们分别被输入到空白的文本编辑器后,如果两者相等,返回 true 。# 代表退格字符。
**注意:**如果对空文本输入退格字符,文本继续为空。
示例 1:
输入:s = "ab#c", t = "ad#c"
输出:true
解释:s 和 t 都会变成 "ac"。
示例 2:
输入:s = "ab##", t = "c#d#"
输出:true
解释:s 和 t 都会变成 ""。
示例 3:
输入:s = "a#c", t = "b"
输出:false
解释:s 会变成 "c",但 t 仍然是 "b"。
python
class Solution(object):
def backspaceCompare(self, s, t):
"""
:type s: str
:type t: str
:rtype: bool
"""
list1=[]
list2 = []
for i in range(len(s)):
if s[i] == '#':
if list1:
list1.pop()
else:
list1.append(s[i])
for i in range(len(t)):
if t[i] == '#':
if list2:
list2.pop()
else:
list2.append(t[i])
if list1==list2:
return True
else:
return False
977
给你一个按 非递减顺序 排序的整数数组 nums,返回 每个数字的平方 组成的新数组,要求也按 非递减顺序 排序。
示例 1:
输入:nums = [-4,-1,0,3,10]
输出:[0,1,9,16,100]
解释:平方后,数组变为 [16,1,0,9,100]
排序后,数组变为 [0,1,9,16,100]
示例 2:
输入:nums = [-7,-3,2,3,11]
输出:[4,9,9,49,121]
python
class Solution(object):
def sortedSquares(self, nums):
"""
:type nums: List[int]
:rtype: List[int]
"""
i=0
j=len(nums)-1
num=[]
while i<=j:
if nums[i]**2>nums[j]**2:
num.append(nums[i]**2)
i+=1
else:
num.append(nums[j]**2)
j-=1
nums = list(reversed(num))
return nums
344
编写一个函数,其作用是将输入的字符串反转过来。输入字符串以字符数组 s 的形式给出。
不要给另外的数组分配额外的空间,你必须**原地修改输入数组**、使用 O(1) 的额外空间解决这一问题。
示例 1:
输入:s = ["h","e","l","l","o"]
输出:["o","l","l","e","h"]
示例 2:
输入:s = ["H","a","n","n","a","h"]
输出:["h","a","n","n","a","H"]
python
class Solution(object):
def reverseString(self, s):
"""
:type s: List[str]
:rtype: None Do not return anything, modify s in-place instead.
"""
left = 0
right = len(s)-1
while left<right:
mid = s[left]
s[left] = s[right]
s[right] = mid
right -= 1
left += 1
return s
LCR 122
假定一段路径记作字符串 path,其中以 "." 作为分隔符。现需将路径加密,加密方法为将 path 中的分隔符替换为空格 " ",请返回加密后的字符串。
示例 1:
输入:path = "a.aef.qerf.bb"
输出:"a aef qerf bb"
python
class Solution(object):
def pathEncryption(self, path):
"""
:type path: str
:rtype: str
"""
left = 0
s1 = ''
for right in range(len(path)):
if path[right] == '.':
s2 = path[left:right]
s1 += s2
s1 += ' '
left = right + 1
if s1 == '':
return path
s1 += path[left:len(path)]
return s1
151
给你一个字符串 s ,请你反转字符串中 单词 的顺序。
单词 是由非空格字符组成的字符串。s 中使用至少一个空格将字符串中的 单词 分隔开。
返回 单词 顺序颠倒且 单词 之间用单个空格连接的结果字符串。
注意: 输入字符串 s中可能会存在前导空格、尾随空格或者单词间的多个空格。返回的结果字符串中,单词间应当仅用单个空格分隔,且不包含任何额外的空格。
示例 1:
输入:s = "the sky is blue"
输出:"blue is sky the"
示例 2:
输入:s = " hello world "
输出:"world hello"
解释:反转后的字符串中不能存在前导空格和尾随空格。
示例 3:
输入:s = "a good example"
输出:"example good a"
解释:如果两个单词间有多余的空格,反转后的字符串需要将单词间的空格减少到仅有一个。
python
class Solution(object):
def reverseWords(self, s):
"""
:type s: str
:rtype: str
"""
re = []
count = 0
for i in range(len(s)):
# 跳过连续的空格,但确保单词之间保留一个空格
if i > 0 and s[i] == ' ' and s[i-1] == ' ':
count = i + 1
continue
if s[i] == ' ':
# 只有当有实际单词时才添加
if count < i:
re.append(s[count:i][::-1])
re.append(" ")
count = i + 1
re.append(s[count:][::-1])
a = "".join(re)
b = a[:][::-1]
while b and b[0]==' ':
c = b[1:]
b = c
while b and b[len(b)-1]==' ':
c = b[:len(b)-1]
b = c
return b
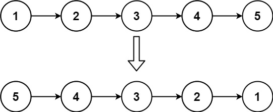
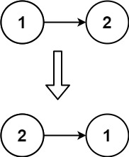
206
给你单链表的头节点 head ,请你反转链表,并返回反转后的链表。
示例 1:

输入:head = [1,2,3,4,5]
输出:[5,4,3,2,1]
示例 2:

输入:head = [1,2]
输出:[2,1]
示例 3:
输入:head = []
输出:[]
python
# Definition for singly-linked list.
# class ListNode(object):
# def __init__(self, val=0, next=None):
# self.val = val
# self.next = next
class Solution(object):
def reverseList(self, head):
"""
:type head: Optional[ListNode]
:rtype: Optional[ListNode]
"""
h = head
if h is None or h.next is None:
return h
pre = h
nx = h.next
if nx.next is None:
nx.next = pre
pre.next = None
return nx
pre.next = None
while nx.next :
h = nx
mid = nx.next
nx.next = pre
pre = nx
nx = mid
nx.next = pre
h = nx
return h
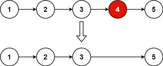
19
给你一个链表,删除链表的倒数第 n个结点,并且返回链表的头结点。
示例 1:

输入:head = [1,2,3,4,5], n = 2
输出:[1,2,3,5]
示例 2:
输入:head = [1], n = 1
输出:[]
示例 3:
输入:head = [1,2], n = 1
输出:[1]
python
# Definition for singly-linked list.
# class ListNode(object):
# def __init__(self, val=0, next=None):
# self.val = val
# self.next = next
class Solution(object):
def removeNthFromEnd(self, head, n):
"""
:type head: Optional[ListNode]
:type n: int
:rtype: Optional[ListNode]
"""
first = head
second = head
if first is None or first.next is None:
return None
m = n
pre = ListNode(0)
pre.next = head
node = pre
while first.next:
m -= 1
if m <= 0:
pre = pre.next
second = second.next
first = first.next
pre.next = second.next
return node.next
02.07
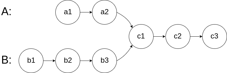
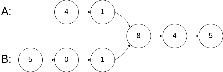
给你两个单链表的头节点 headA 和 headB ,请你找出并返回两个单链表相交的起始节点。如果两个链表没有交点,返回 null 。
图示两个链表在节点 c1 开始相交**:**

题目数据 保证 整个链式结构中不存在环。
注意 ,函数返回结果后,链表必须 保持其原始结构 。
示例 1:

输入:intersectVal = 8, listA = [4,1,8,4,5], listB = [5,0,1,8,4,5], skipA = 2, skipB = 3
输出:Intersected at '8'
解释:相交节点的值为 8 (注意,如果两个链表相交则不能为 0)。
从各自的表头开始算起,链表 A 为 [4,1,8,4,5],链表 B 为 [5,0,1,8,4,5]。
在 A 中,相交节点前有 2 个节点;在 B 中,相交节点前有 3 个节点。
示例 2:

输入:intersectVal = 2, listA = [0,9,1,2,4], listB = [3,2,4], skipA = 3, skipB = 1
输出:Intersected at '2'
解释:相交节点的值为 2 (注意,如果两个链表相交则不能为 0)。
从各自的表头开始算起,链表 A 为 [0,9,1,2,4],链表 B 为 [3,2,4]。
在 A 中,相交节点前有 3 个节点;在 B 中,相交节点前有 1 个节点。
示例 3:

输入:intersectVal = 0, listA = [2,6,4], listB = [1,5], skipA = 3, skipB = 2
输出:null
解释:从各自的表头开始算起,链表 A 为 [2,6,4],链表 B 为 [1,5]。
由于这两个链表不相交,所以 intersectVal 必须为 0,而 skipA 和 skipB 可以是任意值。
这两个链表不相交,因此返回 null 。
python
# Definition for singly-linked list.
# class ListNode(object):
# def __init__(self, x):
# self.val = x
# self.next = None
class Solution(object):
def getIntersectionNode(self, headA, headB):
"""
:type head1, head1: ListNode
:rtype: ListNode
"""
lenA = 0
lenB = 0
a = headA
b = headB
while a:
lenA += 1
a = a.next
while b:
lenB += 1
b = b.next
n = abs(lenA-lenB)
a = headA
b = headB
if lenA > lenB:
while n > 0:
n -= 1
a = a.next
else:
while n > 0:
n -= 1
b = b.next
while a and b:
if a==b:
return a
a = a.next
b = b.next
return None
142
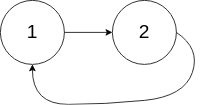
给定一个链表的头节点 head ,返回链表开始入环的第一个节点。 如果链表无环,则返回 null。
如果链表中有某个节点,可以通过连续跟踪 next 指针再次到达,则链表中存在环。 为了表示给定链表中的环,评测系统内部使用整数 pos 来表示链表尾连接到链表中的位置(索引从 0 开始 )。如果 pos 是 -1,则在该链表中没有环。注意:pos 不作为参数进行传递 ,仅仅是为了标识链表的实际情况。不允许修改链表。
示例 1:

输入:head = [3,2,0,-4], pos = 1
输出:返回索引为 1 的链表节点
解释:链表中有一个环,其尾部连接到第二个节点。
示例 2:

输入:head = [1,2], pos = 0
输出:返回索引为 0 的链表节点
解释:链表中有一个环,其尾部连接到第一个节点。
示例 3:

输入:head = [1], pos = -1
输出:返回 null
解释:链表中没有环。
python
# Definition for singly-linked list.
# class ListNode(object):
# def __init__(self, x):
# self.val = x
# self.next = None
class Solution(object):
def detectCycle(self, head):
"""
:type head: ListNode
:rtype: ListNode
"""
faster = head
slow = head
if not faster or not faster.next or not faster.next.next:
return None
while faster and faster.next:
faster = faster.next.next
slow = slow.next
if faster == slow:
break
first = faster
second = head
while first and first.next:
if first==second:
return first
first = first.next
second = second.next
return None
15
给你一个整数数组 nums ,判断是否存在三元组 [nums[i], nums[j], nums[k]] 满足 i != j、i != k 且 j != k ,同时还满足 nums[i] + nums[j] + nums[k] == 0 。请你返回所有和为 0 且不重复的三元组。
**注意:**答案中不可以包含重复的三元组。
示例 1:
输入:nums = [-1,0,1,2,-1,-4]
输出:[[-1,-1,2],[-1,0,1]]
解释:
nums[0] + nums[1] + nums[2] = (-1) + 0 + 1 = 0 。
nums[1] + nums[2] + nums[4] = 0 + 1 + (-1) = 0 。
nums[0] + nums[3] + nums[4] = (-1) + 2 + (-1) = 0 。
不同的三元组是 [-1,0,1] 和 [-1,-1,2] 。
注意,输出的顺序和三元组的顺序并不重要。
示例 2:
输入:nums = [0,1,1]
输出:[]
解释:唯一可能的三元组和不为 0 。
示例 3:
输入:nums = [0,0,0]
输出:[[0,0,0]]
解释:唯一可能的三元组和为 0 。
python
class Solution(object):
def threeSum(self, nums):
"""
:type nums: List[int]
:rtype: List[List[int]]
"""
if len(nums) < 3:
return []
nums.sort()
result = []
n = len(nums)
for i in range(n - 2): # 只需要遍历到倒数第三个元素
# 跳过重复的i
if i > 0 and nums[i] == nums[i - 1]:
continue
# 如果当前最小值已经大于0,不可能有和为0的三元组
if nums[i] > 0:
break
left = i + 1
right = n - 1
while left < right:
total = nums[i] + nums[left] + nums[right]
if total < 0:
left += 1
elif total > 0:
right -= 1
else:
# 找到一组解
result.append([nums[i], nums[left], nums[right]])
# 跳过重复的left和right
while left < right and nums[left] == nums[left + 1]:
left += 1
while left < right and nums[right] == nums[right - 1]:
right -= 1
# 移动指针寻找下一组
left += 1
right -= 1
return result
18
给你一个由 n 个整数组成的数组 nums ,和一个目标值 target 。请你找出并返回满足下述全部条件且不重复 的四元组 [nums[a], nums[b], nums[c], nums[d]] (若两个四元组元素一一对应,则认为两个四元组重复):
0 <= a, b, c, d < na、b、c和d互不相同nums[a] + nums[b] + nums[c] + nums[d] == target
你可以按 任意顺序 返回答案 。
示例 1:
输入:nums = [1,0,-1,0,-2,2], target = 0
输出:[[-2,-1,1,2],[-2,0,0,2],[-1,0,0,1]]
示例 2:
输入:nums = [2,2,2,2,2], target = 8
输出:[[2,2,2,2]]
python
class Solution(object):
def fourSum(self, nums, target):
"""
:type nums: List[int]
:type target: int
:rtype: List[List[int]]
"""
re = []
nums.sort()
for i in range(0,len(nums)-3):
if i > 0 and nums[i] == nums[i - 1]:
continue
for j in range(i+1,len(nums)-2):
if j > i + 1 and nums[j] == nums[j - 1]:
continue
left = j+1
right = len(nums)-1
while left<right:
p = nums[i] + nums[j]+nums[left]+nums[right]
if p>target:
right-=1
elif p<target:
left+=1
else:
re.append([nums[i],nums[j],nums[left],nums[right]])
while left<right and nums[left]==nums[left+1]:
left+=1
while left<right and nums[right]==nums[right-1]:
right-=1
right-=1
left+=1
return re
想混吃等死的第N天
