排序链表
给你链表的头结点 head ,请将其按 升序 排列并返回 排序后的链表 。
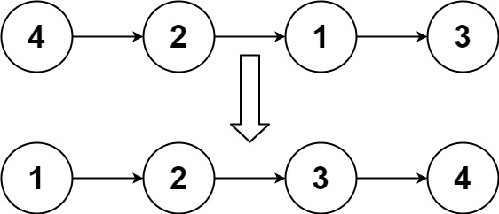
示例 1:

输入:head = [4,2,1,3]
输出:[1,2,3,4]
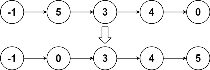
示例 2:

输入:head = [-1,5,3,4,0]
输出:[-1,0,3,4,5]
示例 3:
输入:head = []
输出:[]
提示:
链表中节点的数目在范围 [0, 5 * 104] 内
-105 <= Node.val <= 105
思路分析
首先需要理解题目,题目是给出了一个单链表,需要你去把它排序之后给出来。 核心思路是分而治之,把复杂问题变为小问题解决,再合并解决。
关键是如何去拆链表呢?用快慢指针去找中点,慢指针之走一步,快指针走两步,快指针快到末尾的时候,慢指针就在中点。比如在这个图书中的中点就是5.
如何去合并呢?使用虚拟头节点去凭借两个有序的链表就可以,每次选着一个更小的节点连接上去。

最终演示
cpp
/**
* Definition for singly-linked list.
* struct ListNode {
* int val;
* ListNode *next;
* ListNode() : val(0), next(nullptr) {}
* ListNode(int x) : val(x), next(nullptr) {}
* ListNode(int x, ListNode *next) : val(x), next(next) {}
* };
*/
class Solution {
public:
ListNode* sortList(ListNode* head) {
// 归并排序入口:排序范围是 [head, nullptr)(即从head到链表末尾)
return sortList(head, nullptr);
}
// 递归函数:排序范围是 [head, tail)(左闭右开,tail是终止边界,不包含)
ListNode* sortList(ListNode* head, ListNode* tail) {
// 错误1:赋值号= 改成 判断相等==(核心语法错误)
// 边界条件1:如果当前区间只有0个节点,直接返回null
if (head == nullptr) {
return head;
}
// 错误2:赋值号= 改成 判断相等==(核心语法错误)
// 边界条件2:如果当前区间只有1个节点(head->next == tail),断开后续链接并返回
if (head->next == tail) {
head->next = nullptr; // 断开与tail的链接,避免后续merge时出现环
return head;
}
// 快慢指针找中间节点(mid):慢指针走1步,快指针走2步
ListNode* slow = head, *fast = head;
// 循环条件:快指针未到边界tail
while (fast != tail) {
slow = slow->next; // 慢指针走1步
fast = fast->next; // 快指针走1步
if (fast != tail) { // 快指针未到边界时,再走1步(总共2步)
fast = fast->next;
}
}
ListNode* mid = slow; // 找到中间节点,将链表分为 [head, mid) 和 [mid, tail)
// 递归排序左半部分和右半部分,然后合并
return merge(sortList(head, mid), sortList(mid, tail));
}
// 合并两个已排序的链表,返回合并后的头节点
ListNode* merge(ListNode* head1, ListNode* head2) {
ListNode* dummyHead = new ListNode(0); // 虚拟头节点(简化链表拼接逻辑)
ListNode* temp = dummyHead; // 临时指针,用于构建新链表
ListNode* temp1 = head1; // 遍历第一个链表的指针
ListNode* temp2 = head2; // 遍历第二个链表的指针
// 循环:同时遍历两个链表,每次取较小值的节点拼接到新链表
while (temp1 != nullptr && temp2 != nullptr) {
if (temp1->val <= temp2->val) {
temp->next = temp1; // 拼接temp1节点
temp1 = temp1->next; // temp1后移
} else {
temp->next = temp2; // 拼接temp2节点
temp2 = temp2->next; // temp2后移
}
temp = temp->next; // 临时指针后移,准备拼接下一个节点
}
// 处理剩余节点:如果第一个链表还有剩余,直接拼接
if (temp1 != nullptr) {
temp->next = temp1;
}
// 处理剩余节点:如果第二个链表还有剩余,直接拼接(注意这里用else即可,无需else if)
else {
temp->next = temp2;
}
// 返回合并后链表的真实头节点(跳过虚拟头节点)
return dummyHead->next;
}
};
遇到的问题
使用虚拟头结点dummyHead可以不用处理空链表的情况,一定要学会使用,还是就是每次接完一个节点,指针必须往后走,不然容易陷入死循环。最后一个节点也需要注意贴到最后.
总结
链表归并排序的核心是分治,拆分成小链表然后排序再合并其中合并两个有序的链表是基础.
需要项目中图解的可以私信我哦