安全官(CISO)的困惑:AI 投入产出比(ROI)的衡量
你好,我是陈涉川,欢迎你来到我的专栏。在前面整整五个模块的连载中,咱们可以说是一直扎在技术的深水区里摸爬滚打,从底层大模型的运行逻辑,一路拆解到了攻防一线的实战对抗和模型自身的内生安全问题。很多一路追更的朋友反馈,说看了之后对这把硅基时代的"尖刀"有了更透彻的理解。
但真正的企业安全战场,从来就不只有代码、策略和算法。当我们试图把前沿的技术推向全网落地,真正去操盘一个企业级的 AI 安全架构时,往往会发现,最先卡住我们的不是技术瓶颈,而是财务报表。
所以,在开启第六模块"远见"之际,我想和大家暂时放下键盘,聊点更现实的商业逻辑。
引言:打破"薛定谔的算术",重估 AI 安全的商业底座
对于现代企业的首席信息安全官(CISO)而言,最大的梦魇往往并非零日漏洞(0-day)的骤然爆发,而是每个季度末面对董事会的灵魂拷问。在当下的商业语境中,AI 已经成为高管层口中的"政治正确"。当董事会兴致勃勃地追问:"我们的安全体系 AI 化了吗?防御能像 ChatGPT 一样全自动吗?"面对这种充满热情的"外行指导内行",CISO 们往往如履薄冰。
他们深知,引入 AI 绝不是采购一个贴着"AI 赋能"标签的软件授权那么轻巧。大模型的私有化部署、高昂的算力租赁、脏数据的清洗重构,以及 MLSecOps 复合人才的顶级薪酬......这些都是沉甸甸的显性与隐性成本。而安全的本质偏偏是"防患于未然",CISO 该如何向 CFO 证明:一笔动辄数百万的 AI 投资,其最高昂的价值就在于"让什么都不发生"?
当技术极客还在狂热于 F1-Score 和大模型参数量时,CISO 必须冷峻地面对 TCO(总所有成本)和 ROI(投资回报率)。本文我们将换上西装,站在高管视角的会议桌前,深度拆解 AI 安全投资的经济学账本。我们将直面 ROI 难以量化的迷局,建立一套科学的评估框架,揭示冰山之下的成本陷阱,并把那些难以捉摸的防御收益,转化为报表上掷地有声的数字。
一、 迷雾中的算账:为什么 AI 安全的 ROI 如此难测?
在传统的企业 IT 投资中,ROI 的计算相对直白。例如,引入一套自动化的财务审批系统,可以直接计算出节省了多少人力、提升了多少流转效率,从而得出明确的回报周期。但在网络安全领域,尤其是叠加了 AI 变量之后,ROI 的计算变成了一门充满玄学的"薛定谔的算术"。
1.1 收益的"反身性"与"薛定谔状态"
安全投资的经典困境在于:它最大的价值,体现在"未发生的损失"上。
当你投入巨资构建了基于深度学习的下一代防火墙(NGFW)和基于大语言模型(LLM)的智能 SOC(安全运营中心)后,公司在一年内平安无事,没有发生任何数据泄露或勒索软件感染。此时,CFO 会问:"既然什么事都没发生,我们为什么要花这么多钱买 AI?"而如果发生了数据泄露,CFO 又会问:"我们花了这么多钱买 AI,为什么还是出事了?"
这就是安全投资的"薛定谔状态"。引入 AI 进一步放大了这种反身性(Reflexivity)。传统的规则引擎(如基于黑名单的 WAF)拦截了多少次 SQL 注入是清晰可数的。但 AI 检测出的是"潜在的异常行为模式",它可能在初期阻断了一个隐蔽信道(Covert Channel)的建立,从而避免了三个月后可能发生的 APT 数据窃取。这种跨越时间周期的、基于概率的威胁阻断,极难用直接的财务数字来折算收益。
1.2 隐性成本的"冰山效应"
CISO 们往往低估了拥抱 AI 的真实成本。许多安全厂商在推销 AI 产品时,展示的只是冰山露在水面上的那一角------软件订阅费或 API 调用费。但在水面之下,隐藏着庞大的工程和运维成本:
- 数据重构的代价: AI 模型的燃料是数据。大多数企业的传统安全日志是高度碎片化、脏乱差的。为了让 AI 模型发挥作用,CISO 必须投入大量资源去建立数据湖(Data Lake),进行数据清洗、格式对齐(如转换成 OCSF 开放网络安全架构框架标准)和特征工程。这部分"脏活累活"往往占到了 AI 项目 70% 的精力和成本。
- 模型衰退与维护(Model Drift): 网络安全是一个动态对抗的过程。黑客在进化,攻击手法在翻新。一个在 2025 年初表现完美的深度学习分类器,到了 2026 年中可能因为"概念漂移"(Concept Drift)而导致误报率飙升。持续的模型微调(Fine-tuning)、知识库更新(RAG 向量重构)需要持续的人力与算力投入,这是一笔永远填不满的 OPEX。
1.3 误报(False Positives)带来的"负向 ROI"
这是 AI 安全落地中最常被掩盖的痛点。AI 模型本质上是概率机,为了追求对未知威胁(Zero-day)的高检出率(Recall),模型往往会牺牲一定的精确率(Precision),从而产生大量的误报。
每一次 AI 生成的告警,都需要安全分析师(Tier 1 / Tier 2)去人工研判。如果引入 AI 系统导致每天的告警量从 1000 条激增到 10000 条(即使其中真的包含了几个致命的未知威胁),它也会瞬间击穿现有的 SOC 团队,导致严重的"告警疲劳"(Alert Fatigue)。此时,AI 不仅没有替代人力,反而增加了人工核验的成本,形成了可怕的"负向 ROI"。计算 ROI 时,因误报而损耗的高级工程师时间成本,往往是拖垮账本的最后一根稻草。
二、 解构 AI 安全的总所有成本(TCO)模型
为了打破困局,CISO 首先需要建立一套透明、全面的 TCO(Total Cost of Ownership)财务模型。不管是购买商业化的安全 AI 助手(如 Microsoft Security Copilot),还是基于开源大模型(如 Qwen, Llama)自研企业级安全大脑,成本都必须从以下四个维度进行全生命周期的精准核算。
2.1 基础设施与算力成本(CAPEX & OPEX)
算力是 AI 的基础,在安全场景下,算力成本的计算取决于企业的部署架构。出于对核心数据(如内网拓扑、漏洞扫描报告、高管敏感信息)的隐私保护要求,很多大型金融、政府、制造企业不敢直接调用公有云 API,必须选择本地化部署(On-Premises)或私有云部署。
- 硬件采购成本(CAPEX): 部署一个具备初步推理能力的 7B 或 14B 参数级别的大模型,至少需要企业级 GPU(如 NVIDIA A100/H100 或同等算力国产芯片)的支持。单台 AI 服务器的采购成本动辄数十万至上百万人民币。如果考虑高可用性(HA)和容灾备份,硬件成本会呈指数级上升。
- 模型训练与微调成本(OPEX): 安全厂商提供的预训练模型只是"通才",要变成懂企业网络架构的"专才",必须进行持续的微调(Fine-tuning)或强化学习。每一次微调周期的算力租赁、电力消耗和机房制冷费用,都需要按月计入成本。
- 推理 API 成本(OPEX): 如果选择 SaaS 模式调用云端大模型,虽然省去了硬件采购,但安全流量和日志的体量是极其庞大的。每天数以亿计的 DNS 请求、数百万条 HTTP 流量日志如果都输入给 LLM 进行分析,Token 的消耗量将是一个天文数字,API 计费会迅速失控。
2.2 数据治理与工程管线成本
很多 CISO 误以为买来 AI 就能直接"吃"日志并吐出"洞察"。事实是,AI 只吃高质量的结构化或半结构化数据。
- 数据汇聚与存储: 将分布在端点(EDR)、网络边界(NDR)、云原生环境(CWPP)中的多源异构数据统一汇聚,需要建立昂贵的高速数据管道(如 Kafka 集群)和 PB 级的数据存储体系。
- 打标与清洗的人力成本: 为了训练或微调专注于特定企业业务逻辑的异常检测模型,需要对历史流量进行清洗,并由资深安全专家进行数据标注(Data Labeling)。这是一项劳动密集且极其昂贵的知识型工作。
- RAG(检索增强生成)基础设施成本: 为了防止大模型在安全分析时"幻觉"(Hallucination),必须构建基于企业内部资产库、历史漏洞库、应急响应预案的向量数据库(Vector Database)。向量数据的嵌入(Embedding)、存储和检索查询性能的优化,都需要额外的工具和运维支出。
2.3 组织转型与人才梯队成本
AI 永远不会单打独斗,它需要使用它的人。引入 AI 会导致安全团队技能栈的强制迭代,这也伴随着高昂的人力成本转型。
- 新型人才溢价: 传统的逆向工程师、渗透测试员依然重要,但 SOC 团队现在急需既懂网络安全(Sec)又懂机器学习(ML)和开发(Ops)的复合型人才------MLSecOps 工程师。这类人才在当前市场上的薪资溢价极高。此外,还需要安全提示词工程师(Security Prompt Engineer)来优化与 LLM 的交互。
- 现有团队的再培训与过渡成本: 在系统上线的过渡期,旧的分析流程和新的 AI 驱动流程会并行运行。一线分析师需要花费大量时间学习如何与 AI 助手协作,如何辨别 AI 的误报,如何审核 AI 生成的封堵脚本。在学习曲线爬坡期,团队的整体效率反而会出现短暂的下降。
2.4 试错、合规与风险兜底成本
引入 AI 带来的不仅仅是防御力的提升,也引入了新的攻击面和合规风险敞口。
- AI 系统的红队测试(Red Teaming)成本: 正如我们在第四模块所讨论的,大模型本身面临着提示词注入(Prompt Injection)、数据投毒(Data Poisoning)等新型威胁。CISO 必须拨出专门的预算,定期聘请外部第三方或内部红队,对企业部署的 AI 安全系统进行专项的安全评估和攻防演练,以防止"保护安全的系统本身被黑客利用"。
- 隐私与合规治理成本: 当 AI 系统开始吞吐海量内网数据时,极易触碰数据合规的红线(如 GDPR、个人信息保护法)。如果员工的正常通信日志被 AI 抓取并用于模型训练而未脱敏,可能会面临高额的监管罚款。建立完善的数据隔离沙箱、差分隐私计算层等合规护栏(Guardrails),都需要真金白银的投入。
- "幻觉"引发的灾难恢复成本: 如果 AI 安全系统拥有了自动化响应(SOAR)的执行权限,一次因为模型"幻觉"导致的误判操作(例如错误地隔离了核心业务数据库的 IP),可能导致整个企业业务中断数小时。这种由 AI 决策失误带来的潜在业务宕机损失,必须作为风险拨备计入 ROI 的综合考量中。
三、 量化 AI 安全的直接收益(Return on Security Investment)
如果说梳理成本是让 CISO "保持清醒",那么量化收益则是让 CISO 能够在董事会上"理直气壮"。
在财务模型中,传统的安全投资回报率通常使用 ROSI(Return on Security Investment)公式进行计算:

- ALE_{baseline} (Annualized Loss Expectancy): 基线年度预期损失(在没有 AI 安全系统的情况下的预期风险敞口)。
- ALE_{mitigated}: 缓解后的年度预期损失(引入 AI 后的风险敞口)。
- Cost_{AI}: 前文提到的 AI 总所有成本 (TCO)。
评估 AI 的收益,核心在于准确测算它如何大幅降低 ALE_{mitigated},并提升现有资源的利用效率。我们可以将收益拆解为以下几个可量化的硬指标(Hard Metrics)。
3.1 降本增效:MTTD 与 MTTR 的指数级缩减
在安全运营中,时间就是金钱,更是生命线。MTTD(平均检测时间)和 MTTR(平均响应时间)是衡量 SOC 效能的黄金标准。
- 情报关联与威胁狩猎的极速化: 过去,一名 L2(二级)安全分析师处理一个复杂的跨平台 APT 告警,可能需要在 EDR、防火墙、邮件网关的各种孤立仪表盘中切换,手动拉取数十天的日志,编写复杂的 SQL/SPL 查询语句进行关联分析,耗时可能长达数小时甚至数天。
引入基于大模型的智能分析后,分析师只需用自然语言提问:"提取过去 48 小时内与该可疑 IP 有过通信的内部主机,并分析其进程调用链中是否存在无文件落地攻击特征。" AI 可以在几分钟内生成关联图谱、代码反混淆分析结果和攻击上下文。
- 响应脚本的自动化生成: 当确认威胁后,传统的封堵需要跨多个系统编写脚本(如更新防火墙黑名单、隔离终端终端、清除注册表)。AI Agent(智能体)可以直接基于决策生成并下发剧本(Playbook),将 MTTR 从"小时级"压缩到"分钟级"。
财务量化方法: (单个复杂告警传统处理平均时长 - AI 辅助下平均时长) × (L2/L3 资深分析师单位时间人力成本) × (年度复杂告警总数)。
这不仅直接节省了高级人才的工时,更避免了因响应迟缓导致横向移动(Lateral Movement)扩散,从而将动辄数百万的勒索软件赎金和业务停机损失(业务停机每小时损失=公司年营收/全年小时数)掐灭在萌芽阶段。
3.2 人力杠杆率的提升:"虚拟分析师"的价值
全球网络安全人才短缺是一个长期的结构性问题。CISO 面临的最大压力往往是"招不到人也留不住人"。每天应对枯燥的海量低级别告警,极易导致初级(L1)安全分析师的流失。
- 告警降噪与自动分诊(Triage): 引入深度学习模型处理原始网络流量,通过多维特征向量的异常检测过滤掉 90% 的已知无效扫描和误报。随后,通过大语言模型自动为每一条告警生成摘要和置信度打分。
- L1 工作流的替代: 一个成熟调优的 AI 安全系统,实际上扮演了无数个 7x24 小时全天候在线、不知疲倦的"Tier 1 虚拟分析师"。它们能够独立完成所有初始的研判、背景信息收集和初步确证工作。
财务量化方法:
这就相当于 CISO 用服务器的电费和 API 费用,变相"雇佣"了一个百人规模的初级外包团队。收益可以量化为:(避免增加的初级分析师 Headcount 数量 × 单人薪酬包) + (因告警疲劳离职导致的人员重置成本/招聘成本下降)。更重要的是,这释放了现有的高级工程师资源,让他们从枯燥的"翻日志"中解脱出来,转而去执行高价值的威胁狩猎(Threat Hunting)、架构加固和红蓝对抗,极大地提升了团队整体的人力资本 ROI。
3.3 补丁与漏洞管理的自动化:重塑防护曲线
漏洞修复(Patch Management)一直是企业的痛点。传统的修复流程冗长:漏洞通报 -> 资产清点 -> 业务部门沟通确认 -> 停机测试 -> 手动打补丁。在这个时间差内(往往长达数周),企业处于极度脆弱的"敞口期"。
- AI 驱动的动态防御与修复方案生成: 在最新漏洞(如 Log4j 级别的核弹级漏洞)爆发的几小时内,大模型系统可以迅速摄取外部威胁情报,比对内部资产特征库,精准定位受影响的业务模块,并直接生成临时缓解措施(如特定的 WAF 正则表达式拦截规则),甚至针对自研代码的漏洞自动生成修复代码补丁供研发团队审核。
财务量化方法:
计算企业暴露在严重漏洞(CVSS 评分 > 8.0)下的平均时间(Window of Exposure)缩减量。结合历史漏洞利用引发安全事件的统计概率,计算出因"抢在黑客行动前完成封堵"而避免的合规罚款、数据恢复成本以及品牌声誉损失。
四、 无形资产的守护:AI 带来的隐性战略收益
在 CISO 的算盘上,除了可以直接通过工时和事件频次来计算的硬性指标外,AI 在网络安全领域的真正威力,往往体现在那些难以精确量化、但对企业生死攸关的"无形资产"和战略收益上。这些隐性收益(Intangible Benefits)往往是打动 CEO 和董事会的最终筹码。
4.1 安全左移(Shift Left)与业务摩擦的消除
传统的安全流程往往被业务开发团队视为"绊脚石"。在敏捷开发(Agile)和 DevOps 流程中,安全测试(如 DAST、SAST)通常被安排在代码即将上线前。一旦发现中高危漏洞,开发团队不得不返工重写,这不仅拖延了产品发布(Time-to-Market),更引发了研发与安全团队之间无休止的内部摩擦。
引入代码级大语言模型(如专门针对安全优化的编码助手)后,安全迎来了真正的"左移"。
- 实时纠偏: 当开发人员在 IDE 中敲下一段可能引发 SQL 注入或跨站脚本(XSS)的代码时,AI 侧显插件会立刻高亮并提示:"检测到不安全的输入拼接,建议使用预编译语句(Prepared Statements),点击此处自动替换代码。"
- 消除技术债务: 这种在代码孕育阶段就将其扼杀在摇篮里的能力,极大地降低了后期的修复成本。在软件工程中有一个著名的"1-10-100 规则":在需求阶段修复一个缺陷的成本为 1,在测试阶段修复的成本为 10,而在生产环境中修复的成本为 100。AI 实现了这 10 到 100 倍的成本节约。
安全不再是研发流水线末端的质检员,而是内嵌在研发过程中的导航仪。这种从"阻力"到"推力"的转变,为企业节省的机会成本是不可估量的。
4.2 降低网络安全保险(Cyber Insurance)的保费溢价
近年来,随着勒索软件(Ransomware)即服务(RaaS)的泛滥,全球网络安全保险的理赔率飙升,导致承保机构纷纷收紧政策,大幅提高保费,甚至拒保。保险公司在评估企业的可保性时,越来越看重企业是否具备"下一代、智能化的持续威胁检测与响应能力"。
- 合规与风控背书: 如果 CISO 能够向保险公司证明,企业已经部署了基于机器学习的 UEBA(用户实体行为分析)系统、具备自动化隔离能力的 AI 驱动型 EDR,并且通过大模型实现了安全态势的 7x24 小时可观测性,这在精算师眼中就意味着极低的出险概率。
- 保费折扣: 这种高阶的安全成熟度往往能为企业争取到 10% 甚至更高的保费折扣。对于大型跨国企业而言,这部分省下来的年度保费,甚至可以直接覆盖当年部署 AI 安全工具的软件授权许可费。
4.3 品牌声誉的护城河与客户信任溢价
在数字经济时代,数据泄露事件对企业品牌声誉的打击是毁灭性的。一旦企业的核心客户数据(如信用信息、医疗记录)被拖库并在暗网兜售,随之而来的不仅是监管部门的天价罚单(如 GDPR 规定的全球年营业额 4% 的罚款),更是股价的暴跌和客户的挤兑性流失。
AI 安全系统在这里扮演了"黑天鹅事件"缓冲器的角色。通过对海量暗网情报的自动化情感分析和自然语言提取(NLP),AI 能够在攻击者发起正式攻击前,或者在内部员工试图进行大规模数据外传(DLP 异常)的瞬间进行阻断。维持企业"从未发生过重大数据泄露"的清白记录,本身就是对品牌价值最大的投资。
五、 构建 CISO 的专属 AI ROI 评估框架
为了将上述模糊的成本与收益转化为财务报表上清晰的数字,CISO 必须摒弃拍脑袋的决策方式,构建一套严谨的 AI 安全 ROI 评估数学模型与流程框架。
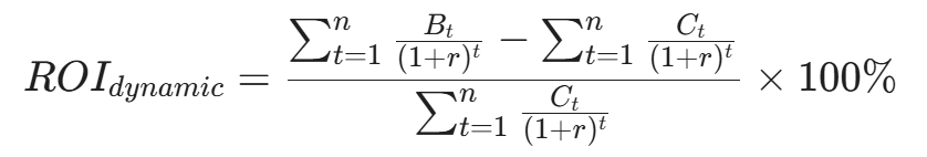
这里我们可以借鉴经济学中著名的网络安全投资模型,并将其与 AI 变量相结合。传统的 Gordon-Loeb 模型指出,企业在保护特定信息集时的最优安全投资额,不应超过预期损失的特定比例。引入 AI 后,我们利用净现值(NPV)的理念来计算动态 ROI:

其中:
- B_t 代表第 t 年的 AI 安全总收益(包括降本增效、损失规避等)。
- C_t 代表第 t 年的 AI 安全总成本(软硬件采购、算力消耗、微调维护、人员培训)。
- r 代表折现率(企业资金的资本成本)。
- n 代表投资的生命周期(通常 AI 模型的有效衰退周期按 3 到 5 年计算)。
为了让上述公式落地,CISO 需要执行以下三个阶段的评估工程:
5.1 阶段一:建立无 AI 环境的"绝对基线"(Baseline)
没有度量,就没有管理。在引入任何 AI 安全产品之前,CISO 必须对现有的安全运营效能进行精准切片,留下"案底"。
- MTTD / MTTR 基线: 过去 12 个月内,从告警触发到人工确认为真实威胁的平均耗时是多少?从确认威胁到完成隔离封堵的平均耗时是多少?
- 信噪比(Signal-to-Noise Ratio): 每天数万条告警中,真正的 True Positives(真阳性)占比是多少?人工研判一条告警的平均成本(元/条)是多少?
- 资产盲区率: 定期红队演练中,有多少内部资产(如影子 IT、未纳管的 API)未能被现有基于规则的扫描器发现?
5.2 阶段二:场景化拆解与量化对标矩阵
不要试图去计算一个笼统的"AI 安全 ROI",而应该将 AI 落地拆解为具体的业务场景,逐一计算其价值。以下是一个典型的场景对标评估矩阵:
| 评估维度 | 传统模式(基于规则/人力) | AI 驱动模式(基于 ML/LLM) | ROI 量化指标与计算路径 |
|---|---|---|---|
| 告警分诊研判 | L1 分析师手动查询多个系统,耗时 15 分钟/条。极易产生告警疲劳。 | LLM 自动提取 IOC,总结攻击上下文,耗时 30 秒/条。 | 省下的 L1 分析师时薪总和 - 大模型 API 调用费/算力费。 |
| 未知威胁检测 | 依赖静态特征码与黑名单。面对免杀恶意软件和零日漏洞形同虚设。 | 基于自编码器检测流量特征偏差;用图神经网络挖掘异常调用链。 | 预估的 APT 攻击规避损失(按历史均值折算)× 检出率提升百分比。 |
| 安全策略制定 | 防火墙、WAF 规则由工程师手动编写,复杂且极易出错,可能阻断业务。 | 自然语言交互,AI 根据意图自动生成正则或防护策略,预估业务影响。 | 因错误配置导致的业务中断时长减少量× 单位时间业务营收。 |
| 应急响应追踪 | 攻击发生后,需资深专家花费数周逆向分析、还原攻击时间线。 | Agent 智能体自动拉取全网日志串联时间线,秒级生成溯源报告。 | 外部应急响应专家(如 IR 团队)的昂贵咨询外包支出的削减。 |
5.3 阶段三:FinSecOps------持续的成本监测与效益漂移管理
部署上线仅仅是开始,AI 的成本和收益是动态变化的。大模型存在"灾难性遗忘"(Catastrophic Forgetting)和"幻觉风险",这就要求 CISO 引入 FinSecOps(安全财务运维) 的理念。
- Token 消耗审计: 如果使用外部 API,安全日志的不可控增长会导致 Token 费用暴涨。必须建立数据过滤网关,只有被传统规则标记为"可疑"的高价值日志,才被送入 LLM 进行深度推理。
- 模型性能监控(Model Observability): 持续监控 AI 模型的准确率(Accuracy)、精确率(Precision)和召回率(Recall)。如果发现模型因为攻击手法的进化导致误报率再次攀升(性能漂移),这就意味着需要重新投入 OPEX 进行数据标注和模型微调。此时,当前的 ROI 会出现短暂下滑,需要向管理层做出预期管理。
5.4 案例推演:某中型金融机构的 AI SOC 改造账本
为了让框架更具实操性,我们来看一个简化的推演案例。某中型银行(年营收 50 亿元,安全团队 15 人)决定引入基于 LLM 的智能 SOC 助手。
- 年度成本评估 (C_t): 私有化部署 14B 模型服务器折旧与电费(40万) + API/向量数据库维护费(20万) + 外部红队 AI 专项测试(15万) + 数据清洗工程人力(30万) = 105 万元/年。
- 年度直接收益评估 (B_t): 降本: 过滤 90% 误报,省去外包 L1 分析师团队 3 人编制 = 45 万元。
- 增效: MTTR 从平均 4 小时降至 15 分钟。按历史数据,每年平均发生 2 起因响应迟缓导致的局部业务停机(预估每次停机损失 100 万),如今被提前阻断。折算预期损失规避 = 200 万 × 80% (阻断成功率) = 160 万元。
- 无形收益(不计入硬性公式但用于汇报): 保险公司年度保费折扣 10%(约节省 15 万);安全左移使研发返工率下降 20%。
- ROI 试算(首年): 按最保守的硬性收益计算,
。
通过这种"硬性指标算回本,无形收益谈战略"的拆解,CISO 的提案将具备极强的说服力。
六、 避坑指南:CISO 在 AI 投资中的常见误区
在衡量 ROI 的过程中,许多 CISO 因为对 AI 技术的认知偏差,容易掉入一些昂贵的陷阱,导致原本期望的正向回报彻底沦为沉没成本。
6.1 盲目追求"全知全能"的大一统模型
很多高管有一种错觉,认为只要买一个参数量足够大、最先进的大模型(如 GPT-4 级别的私有化部署),就能解决安全领域的所有问题。
事实真相: 在网络安全中,特定场景下的"小模型"往往比"大模型"更具性价比。例如,对于海量网络流量的 DGA(域名生成算法)检测或加密流量分类,使用轻量级的随机森林(Random Forest)或决策树(XGBoost)算法,其推理速度远超 LLM,且算力成本微乎其微。
避坑建议: CISO 应该采取"混合 AI 架构"(Hybrid AI Architecture)。用低成本的传统机器学习算法做一线的粗筛和分类(脏活累活),用昂贵的大语言模型做二线的逻辑推理、上下文关联和报告生成(脑力活)。好钢必须用在刀刃上。
6.2 忽视了数据基础设施的"技术债务"
"Garbage in, Garbage out"(垃圾进,垃圾出)是 AI 铁律。许多企业花费上百万购买了顶级的 AI 安全平台,却发现其分析结果毫无逻辑,甚至频频引发业务阻断。根源在于企业的资产数据库(CMDB)常年未更新,日志格式混乱不堪。
事实真相: AI 无法拯救混乱的基础设施。如果没有高质量、标准化的数据输入,AI 只会加速输出错误的结论。
避坑建议: 在向董事会申请 AI 安全预算时,必须将至少 30% 到 40% 的预算用于底层数据的治理、日志的标准化(如采用弹性通用架构 Elastic Common Schema)以及数据管道的升级。不要试图在泥泞的乡间小路上开保时捷。
6.3 陷入"安全工具堆砌"的怪圈
为了追求"AI 化",不断采购各种带有 AI 标签的单点工具(Point Solutions)------AI 邮件网关、AI 终端防护、AI 云安全态势管理。结果导致 SOC 屏幕上多出了十几个独立的控制台。
事实真相: 孤立的 AI 只会制造新的信息孤岛。每个 AI 系统都在用自己的算法生成告警,最终导致分析师面临更严重的"AI 告警疲劳"。
避坑建议: ROI 的最大化来自于"协同"。CISO 应该优先投资那些具备开放 API、能够与企业现有工单系统(如 Jira/ServiceNow)、威胁情报平台(TIP)深度融合的 AI 中枢。让 AI 成为连接现有安全工具的"胶水",而不是货架上一个新的独立摆件。
6.4 警惕"数据重力"与生态绑定(Vendor Lock-in)陷阱
许多 CISO 在初期为了快速见效,会全盘采用某一家头部云厂商或安全巨头提供的全家桶 AI 安全方案。随着系统摄取的海量安全日志越来越多,模型的上下文知识库越来越依赖该厂商的专有格式。 事实真相: 数据的重力是可怕的。当你的安全运营重度依赖某一个闭源大模型的特定 API 或专属的数据湖架构时,你实际上已经失去了议价权。三年后,当厂商大幅提高 API 调用费或订阅费时,将 PB 级的日志和调优好的策略迁移到另一套系统的成本(Exit Cost),甚至会超过你当年建设它的费用。 避坑建议: 坚持"架构解耦"。在规划初期,就要确保数据湖的存储层与 AI 计算层分离。尽量采用开源标准(如 OCSF)构建自己的安全数据平台,将 AI 仅仅作为"可插拔的推理引擎"。让企业始终掌握数据资产的主权,随时具备更换底层大模型供应商的能力。
结语:跨越 ROI 鸿沟,重塑硅基时代的防御杠杆
在硅基时代的攻防角力中,CISO 的核心使命正在经历深刻的重塑。他们不能再局限于做一个四处扑灭黑客大火的"消防队长",更必须蜕变为精通技术周期与商业平衡的"战略投资家"。
衡量 AI 安全的投入产出比,注定无法像衡量一条实体生产线的产能那样,精确到小数点后的绝对值。它的成本,潜伏在算力、数据、人才和合规试错的暗流之中;而它的收益,则彰显在每一次危机未遂的平静里,在敏捷开发无摩擦的代码交付中,在企业面对数字化狂潮时坚定不移的战略底气上。
AI 并没有改变网络安全作为"成本、概率与对抗"的游戏本质,但它史无前例地放大了防御方的杠杆率。对于卓越的 CISO 而言,AI 从来不是向董事会兜售的流行词汇,而是打破防守方"敌暗我明、疲于奔命"被动局面的战略级武器。当你能利用科学的量化框架,清晰地向 CFO 阐明:这笔庞大的 GPU 算力与模型微调预算,不仅买来了指数级提升的响应速度,更买来了企业在动荡数字世界中持续生存的"确定性"时,关于 ROI 的迷局便已不攻自破。
账本算清了,战术才能落地。在理顺了管理层的商业逻辑后,下一篇文章,我们将把视角重新拉回一线安全战壕:面对来势汹汹的 AI 自动化浪潮,传统的安全"打工人"是被无情淘汰,还是会借势迎来职业生涯的第二春?
陈涉川
2026年03月17日