本文涉及知识点
第一节 不定积分的概念性质
一,原函数和不定积分的概念
定义一 :如果再区间I上,可导函数F(x)的导函数为f(x),即 ∀ x ∈ I \forall x \in I ∀x∈I,都有F'(x)=f(x)或dF(x)=f(x)dx。那么函数F(x)就称为f(x)在区间I上的一个原函数。
原函数存在定理:连续函数一定存在原函数。
证明:令F(a)=C,令 F ( x ) = ( ∫ a x f ( t ) d t ) + C F(x)=(\int_a^xf(t)dt)+C F(x)=(∫axf(t)dt)+C 即 F ( x + Δ ) = F ( x ) + f ( x ) × Δ F(x+\Delta)=F(x)+f(x)\times \Delta F(x+Δ)=F(x)+f(x)×Δ 即f(x)= F ( x + Δ ) − f ( X ) Δ \frac{F(x+\Delta)-f(X)}{\Delta} ΔF(x+Δ)−f(X),由于F(x)连续,故 ∀ ϵ , 都存在 ∣ F ( x + Δ x ) − F ( x ) ∣ < ϵ ÷ 2 , 即任意 ∣ f ( x ) ∣ < ϵ ÷ 2 → 任意 f ( x ) 的差都小于 ϵ , 即 f ( x ) 连续 \forall \epsilon,都存在|F(x+\Delta x)-F(x)|<\epsilon\div 2,即任意|f(x)|<\epsilon \div 2 \to 任意f(x)的差都小于\epsilon,即f(x)连续 ∀ϵ,都存在∣F(x+Δx)−F(x)∣<ϵ÷2,即任意∣f(x)∣<ϵ÷2→任意f(x)的差都小于ϵ,即f(x)连续
F ′ ( x ) = lim h → 0 F ( x + h ) − F ( h ) h 连续 → 函数值等于极限 F'(x)=\lim\limits_{h \to 0}\frac{F(x+h)-F(h)}{h} 连续\to 函数值等于极限 F′(x)=h→0limhF(x+h)−F(h)连续→函数值等于极限
= f ( x ) =f(x) =f(x)因为f(x)连续。
证毕。
定义二 :在区间I上,函数f(x)的带有任意常数项的原函数称为f(x)(或f(x)dx)在区间I上的不定积分,记作 ∫ f ( x ) d x ,其中 ∫ 是积分符号, f ( x ) 称为被积函数, f ( x ) d x 称为被积表达式, x 称为积分变量 \int f(x)dx,其中\int是积分符号,f(x)称为被积函数,f(x)dx称为被积表达式,x称为积分变量 ∫f(x)dx,其中∫是积分符号,f(x)称为被积函数,f(x)dx称为被积表达式,x称为积分变量。
二,基本积分表
一, ∫ k d x = k x + C \int kdx=kx+C ∫kdx=kx+C K是常数
二, ∫ x u = x u + 1 u + 1 , u ≠ − 1 \int x^u=\frac {x^{u+1}}{u+1},u \neq -1 ∫xu=u+1xu+1,u=−1
三, ∫ 1 x = l n ∣ x ∣ + C \int \frac 1 x=ln|x|+C ∫x1=ln∣x∣+C
四, ∫ e x = e x + C \int e^x=e^x+C ∫ex=ex+C
五, ∫ a x ÷ ln a = a x + C , a > 0 , a ≠ 1 \int a^x \div \ln a= a^x+C,a>0,a\neq 1 ∫ax÷lna=ax+C,a>0,a=1
六, ∫ cos x = sin x + C \int \cos x=\sin x +C ∫cosx=sinx+C
七, ∫ sin x = − cos x + C \int \sin x =-\cos x+C ∫sinx=−cosx+C
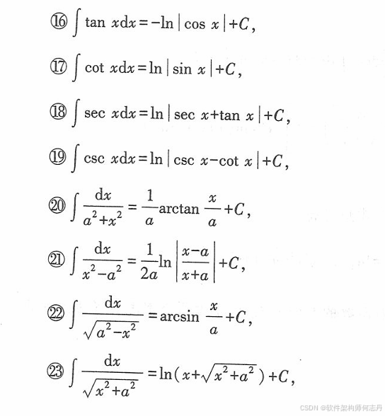
八, ∫ d x cos 2 x = ∫ sec 2 x d x = tan x + C \int \frac{dx}{\cos^2x}=\int \sec^2x dx=\tan x+C ∫cos2xdx=∫sec2xdx=tanx+C
九, ∫ d x sin 2 x = ∫ c s c 2 x d x = − cot x + C \int \frac {dx}{\sin^2x}=\int csc^2x dx=-\cot x+C ∫sin2xdx=∫csc2xdx=−cotx+C
十, ∫ d x 1 − x 2 = arcsin x + C \int \frac {dx}{\sqrt{1-x^2}}=\arcsin x+C ∫1−x2 dx=arcsinx+C
十一, ∫ d x 1 + x 2 = arctan x + C \int \frac{dx}{1+x^2}=\arctan x+C ∫1+x2dx=arctanx+C
十二: ∫ sec x tan x d x = sec x + C \int \sec x\tan x dx=\sec x+C ∫secxtanxdx=secx+C
sec ′ x = − cos ′ x c o s 2 x \sec'x=\frac{-\cos'x}{cos^2x} sec′x=cos2x−cos′x 导数的除法
sin x cos 2 x = tan x sec x \frac{\sin x}{\cos^2x}=\tan x \sec x cos2xsinx=tanxsecx
十三: csc x cot x d x = − csc x + C \csc x\cot xdx=-\csc x+C cscxcotxdx=−cscx+C

三,不定积分的性质
性质一 :设函数f(x)及g(x)的原函数存在,则:
∫ [ f ( x ) ± g ( x ) ] d x = ∫ f ( x ) d x ± ∫ g ( x ) d x \int [f(x)\pm g(x)]dx=\int f(x)dx \pm \int g(x)dx ∫[f(x)±g(x)]dx=∫f(x)dx±∫g(x)dx
性质二 :设函数f(x)的原函数存在,k为非零常数,则:
∫ k f ( x ) d x = k ∫ f ( x ) d x \int kf(x)dx=k\int f(x) dx ∫kf(x)dx=k∫f(x)dx
第二节 换元积分法
利用中间变量的代换,得到复合函数的积分法,称为换元积分法,简称换元法。
第一类换元法
定理一 :设f(u)具有原函数,u= ϕ ( x ) \phi(x) ϕ(x)可导,则有换元公式:
∫ f [ ϕ ( x ) ] ϕ ′ ( x ) d x = [ ∫ f ( u ) d u ] u = ϕ ( x ) \int f[\phi(x)]\phi'(x)dx=[\int f(u)du]_{u=\phi(x)} ∫f[ϕ(x)]ϕ′(x)dx=[∫f(u)du]u=ϕ(x)
例一: ∫ 2 cos 2 x d x = cos 2 x .2 d x = cos 2 x . ( 2 x ) ′ d x \int 2\cos 2x dx=\cos 2x.2dx=\cos 2x.(2x)'dx ∫2cos2xdx=cos2x.2dx=cos2x.(2x)′dx
= c o s 2 x d 2 x =cos2x d2x =cos2xd2x定理一
= sin 2 x + C =\sin 2x+C =sin2x+C注意 :2x是积分变量。
例二: ∫ 1 3 + 2 x d x = 1 2 ∫ 2 3 + 2 x d x = 1 2 ∫ ( 2 x + 3 ) ′ 2 x + 3 = 1 2 ∫ 1 2 x + 3 d ( 2 x + 3 ) = 1 2 ln ∣ 2 x + 3 ∣ + C \int \frac 1 {3+2x}dx=\frac 1 2\int \frac 2 {3+2x}dx=\frac 1 2 \int \frac{(2x+3)'}{2x+3}=\frac 1 2 \int \frac 1 {2x+3} d(2x+3)=\frac 1 2 \ln|2x+3|+C ∫3+2x1dx=21∫3+2x2dx=21∫2x+3(2x+3)′=21∫2x+31d(2x+3)=21ln∣2x+3∣+C
例三: ∫ x 2 ( x + 2 ) 3 \int \frac{x^2}{(x+2)^3} ∫(x+2)3x2
令u=x+2,则x=u-2。原式= ∫ ( u − 2 ) 2 u 3 d u = ∫ ( u u − 4 u + 4 ) u − 3 d u = ln ∣ u ∣ + 4 u − 1 − 2 u − 2 \int\frac{(u-2)^2}{u^3}du=\int(uu-4u+4)u^{-3}du=\ln|u|+4u^{-1}-2u^{-2} ∫u3(u−2)2du=∫(uu−4u+4)u−3du=ln∣u∣+4u−1−2u−2
= ln ∣ x + 2 ∣ + 4 ÷ ( x + 2 ) − 2 ( x + 2 ) − 2 =\ln|x+2|+4 \div (x+2)-2(x+2)^{-2} =ln∣x+2∣+4÷(x+2)−2(x+2)−2
例五: ∫ x 1 − x 2 d x \int x \sqrt{1-x^2}dx ∫x1−x2 dx
令u=1-x^2,则du=-2xdx。
原式= − 1 2 ∫ u 1 2 ( 2 x ) d x = − 1 2 u 1 2 d u = − 1 2 2 3 u 2 3 = − 1 3 u 3 2 + C -\frac 1 2\int u^{\frac 1 2}(2x)dx=-\frac 1 2u^{\frac 1 2}du=-\frac 1 2 \frac 2 3 u^{\frac 2 3} =-\frac 1 3 u^{\frac 3 2}+C −21∫u21(2x)dx=−21u21du=−2132u32=−31u23+C
= − 1 3 ( 1 − x 2 ) 3 2 + C =-\frac 1 3(1-x^2){\frac 3 2}+C =−31(1−x2)23+C
例八: ∫ 1 x 2 − a 2 d x ( a ≠ 0 ) \int \frac 1 {x^2-a^2}dx(a\neq 0) ∫x2−a21dx(a=0)
原式= 1 2 a ∫ ( 1 x − a − 1 x + a ) d x = 1 2 a ∫ 1 x − a d ( x − a ) − 1 2 a ∫ 1 x + a d ( x + a ) = 1 2 a l n ∣ x − a ∣ ∣ x + a ∣ + C \frac 1 {2a}\int(\frac 1 {x-a} - \frac 1 {x+a})dx=\frac 1{2a}\int\frac 1 {x-a}d(x-a)-\frac 1 {2a}\int\frac 1 {x+a}d(x+a)=\frac 1 {2a}ln\frac {|x-a|}{|x+a|}+C 2a1∫(x−a1−x+a1)dx=2a1∫x−a1d(x−a)−2a1∫x+a1d(x+a)=2a1ln∣x+a∣∣x−a∣+C
例十: ∫ e 3 x x d x \int \frac {e^{3\sqrt x}}{\sqrt x}dx ∫x e3x dx
1 x \frac 1 {\sqrt x} x 1的原函数是:2 x \sqrt x x 故原式= ∫ e 3 x d ( 2 x ) = 2 3 ∫ e 3 x d ( 3 x ) = 2 3 e 3 x + C \int e^{3\sqrt x}d(2\sqrt x)=\frac 2 3\int e^{3 \sqrt x}d(3 \sqrt x)=\frac 2 3e^{3 \sqrt x}+C ∫e3x d(2x )=32∫e3x d(3x )=32e3x +C
例11: ∫ sin 3 x d x = sin 2 x sin x d x = − s i n 2 x d ( cos x ) = ( cos 2 x − 1 ) d ( cos x ) = 1 3 cos 3 x − cos x + C \int \sin^3xdx=\sin^2x \sin xdx=-sin^2xd(\cos x)=(\cos^2x-1)d(\cos x)=\frac 1 3\cos^3x-\cos x+C ∫sin3xdx=sin2xsinxdx=−sin2xd(cosx)=(cos2x−1)d(cosx)=31cos3x−cosx+C
例13: tan x d x = ∫ sin x cos x d x = − ∫ 1 cos x d ( cos x ) = − ln ∣ cos x ∣ + C \tan xdx=\int \frac{\sin x}{\cos x}dx=-\int \frac 1 {\cos x}d(\cos x)=-\ln|\cos x|+C tanxdx=∫cosxsinxdx=−∫cosx1d(cosx)=−ln∣cosx∣+C
例14: ∫ cos 2 x d x \int\cos^2xdx ∫cos2xdx
= ∫ 1 + cos 2 x 2 d x = 1 2 ( ∫ d x + ∫ cos 2 x d x ) = 1 2 ∫ d x + 1 4 ∫ cos 2 x d 2 x = x 2 + sin 2 x 4 + C =\int\frac{1+\cos 2x} 2 dx=\frac 1 2(\int dx+\int \cos2x dx)=\frac 1 2 \int dx+\frac 1 4\int\cos2xd2x=\frac x 2+\frac {\sin 2x} 4+C =∫21+cos2xdx=21(∫dx+∫cos2xdx)=21∫dx+41∫cos2xd2x=2x+4sin2x+C
第二类积分换元法
定理二 :设x= ϕ ( x ) \phi (x) ϕ(x)是单调的可导函数,且 ϕ ′ ( x ) ≠ 0 , 又设 f [ ϕ ( t ) ] ϕ ′ ( t ) \phi '(x)\neq 0,又设f[\phi (t)]\phi'(t) ϕ′(x)=0,又设f[ϕ(t)]ϕ′(t)具有原函数,则又换元公式:
∫ f ( x ) d x = [ ∫ f [ ϕ ( t ) ] ϕ ′ ( t ) d t ] t = ϕ − 1 ( x ) \int f(x)dx=[\int f[\phi(t)]\phi'(t)dt]_{t=\phi^{-1}(x)} ∫f(x)dx=[∫f[ϕ(t)]ϕ′(t)dt]t=ϕ−1(x)
例21:求 ∫ a 2 − x 2 d x ( a > 0 ) \int \sqrt{a^2-x^2}dx(a>0) ∫a2−x2 dx(a>0)
令x=a sin t , − π 2 ≤ t ≤ π 2 \sin t,-\frac {\pi} 2 \leq t \leq \frac {\pi} 2 sint,−2π≤t≤2π
则积分表达式= a 2 − a 2 sin 2 t = a 1 − sin 2 t = a cos t \sqrt{a^2-a^2\sin^2t}=a\sqrt{1-\sin^2t}=a\cos t a2−a2sin2t =a1−sin2t =acost
dx= ( a sin t ) ′ d t = a cos t d t (a\sin t)'dt=a\cos t dt (asint)′dt=acostdt
则原式= a cos t a cos t d t = a 2 ∫ c o s 2 t d t a\cos t a\cos t dt=a^2\int cos^2tdt acostacostdt=a2∫cos2tdt
根据例14,原式= a 2 ( t 2 + sin 2 t 4 ) + C a^2(\frac t 2+\frac {\sin 2t} 4)+C a2(2t+4sin2t)+C
t = arcsin x a , sin t = x a , cos t = 1 − sin 2 t = a 2 − x 2 a 2 = a 2 − x 2 a \arcsin \frac x a,\sin t=\frac x a,\cos t=\sqrt{1-\sin^2 t}=\sqrt{\frac {a^2-x^2}{a^2}}=\frac {\sqrt {a^2-x^2}}{a} arcsinax,sint=ax,cost=1−sin2t =a2a2−x2 =aa2−x2
原式= a 2 arcsin x a ÷ 2 + x a 2 − x 2 ÷ 2 + C a^2 \arcsin{\frac x a}\div 2+x \sqrt{a^2-x^2}\div2+C a2arcsinax÷2+xa2−x2 ÷2+C
本题用到了倍角公式: sin α cos α = 1 2 sin 2 α \sin\alpha \cos\alpha=\frac 1 2 \sin 2\alpha sinαcosα=21sin2α
例22:求 ∫ d x x 2 + a 2 , a > 0 \int \frac{dx}{\sqrt{x^2+a^2}},a>0 ∫x2+a2 dx,a>0
令x= a tan t \tan t tant,则:dx=a tan ′ t d t = a sec 2 t d t \tan't dt=a\sec^2t dt tan′tdt=asec2tdt
x 2 + a 2 = a t a n 2 + 1 = a sec t \sqrt{x^2+a^2}=a\sqrt{tan^2+1}=a \sec t x2+a2 =atan2+1 =asect
原式= ∫ a sec 2 t d t a sec t = ∫ sec t d t \int \frac {a \sec^2t dt}{a\sec^t}=\int \sec t dt ∫asectasec2tdt=∫sectdt 可以直接用上面例子的答案。
= l ∣ n ∣ sec t + tan t ∣ + C l|n|\sec t +\tan t|+C l∣n∣sect+tant∣+C
将t的角度转成x,对边是x,邻边是a,斜边是 a 2 + x 2 \sqrt{a^2+x^2} a2+x2
即: sec t = a 2 + x 2 a , tan t = x a \sec t=\frac {\sqrt{a^2+x^2}} a,\tan t=\frac x a sect=aa2+x2 ,tant=ax
故原式= l n ∣ x a + a 2 + x 2 a ∣ + C ln|\frac x a + \frac {\sqrt{a^2+x^2}}{a}|+C ln∣ax+aa2+x2 ∣+C
= ln ∣ x + x 2 + a 2 ) ∣ − ln a + C \ln|x+\sqrt{x^2+a^2)}|-\ln a+ C ln∣x+x2+a2) ∣−lna+C
= ln ( x + x 2 + a 2 ) + C 1 \ln(x+\sqrt{x^2+a^2})+C1 ln(x+x2+a2 )+C1 常数可以忽略, x 2 + a 2 > ∣ x ∣ ,故 x 2 + a 2 + x > 0 \sqrt{x^2+a^2} > |x|,故\sqrt{x^2+a^2}+x > 0 x2+a2 >∣x∣,故x2+a2 +x>0
例23 求 ∫ d x x 2 − a 2 \int \frac {dx}{\sqrt {x^2-a^2}} ∫x2−a2 dx
x 2 ≥ a 2 x^2 \ge a^2 x2≥a2故如果a=ay,则 1 ≤ y ≤ ∞ , 故可以让 y = sec t , 即 x = a sec t 1 \le y \le \infty,故可以让y = \sec t,即x = a\sec t 1≤y≤∞,故可以让y=sect,即x=asect。
x 2 − a 2 = a sec 2 t − 1 = a tan t \sqrt{x^2-a^2}=a\sqrt{\sec^2t-1}=a\tan t x2−a2 =asec2t−1 =atant
d x = a ( s e c ′ t ) d t = a sec t tan t d t dx=a(sec't)dt=a \sec t \tan t dt dx=a(sec′t)dt=asecttantdt
原式= a sec t tan t d t a tan t = sec t d t \frac {a\sec t\tan t dt}{a \tan t}=\sec t dt atantasecttantdt=sectdt
用x代替t,从略。
第三节 分部积分法
∫ u v ′ d x = u v − ∫ u ′ v d x = u v − ∫ v d u \int uv'dx=uv-\int u'vdx=uv-\int vdu ∫uv′dx=uv−∫u′vdx=uv−∫vdu
例1: ∫ x cos x d x \int x\cos xdx ∫xcosxdx
原式= ∫ x ( sin ′ x ) d x = x sin x − ∫ sin x d x = x sin x + cos x + C \int x(\sin'x)dx=x\sin x -\int \sin x dx=x\sin x+\cos x+C ∫x(sin′x)dx=xsinx−∫sinxdx=xsinx+cosx+C
例2:求 ∫ x e x d x \int xe^xdx ∫xexdx
原式= ∫ x ( e x ) ′ = x e x − ∫ e x d x = x e x − e x + C \int x(e^x)'=xe^x-\int e^x dx=xe^x-e^x+C ∫x(ex)′=xex−∫exdx=xex−ex+C
例3:求 ∫ x 2 e x d x \int x^2e^xdx ∫x2exdx
原式= ∫ x 2 ( e x ) ′ d x = x 2 e x − ∫ e x d x 2 = x 2 e x − 2 ∫ x e x d x \int x^2(e^x)'dx=x^2e^x-\int e^xdx^2=x^2e^x-2\int xe^xdx ∫x2(ex)′dx=x2ex−∫exdx2=x2ex−2∫xexdx 便是例2了。
例子4:求 ∫ x ln x d x \int x\ln xdx ∫xlnxdx
原式= ∫ ln x ( x 2 2 ) ′ = x 2 2 ln x − x 2 2 d ( ln x ) = x 2 2 ln x − 1 2 ∫ x d x = x 2 2 ln x − x 2 4 + C \int \ln x(\frac {x^2}{2})'=\frac{x^2}{2}\ln x - \frac{x^2}{2}d( \ln x)=\frac{x^2}{2}\ln x-\frac 1 2\int xdx=\frac{x^2}{2}\ln x-\frac{x^2}{4}+C ∫lnx(2x2)′=2x2lnx−2x2d(lnx)=2x2lnx−21∫xdx=2x2lnx−4x2+C
例子5:求 ∫ arccos x d x \int \arccos xdx ∫arccosxdx
原式= ∫ arccos x ( x ) ′ = x arccos x − ∫ x d ( arccos x ) = x arccos x + ∫ x 1 − x 2 d x \int \arccos x(x)'=x\arccos x-\int x d(\arccos x)=x\arccos x+\int \frac{x}{\sqrt{1-x^2}}dx ∫arccosx(x)′=xarccosx−∫xd(arccosx)=xarccosx+∫1−x2 xdx
x d x = d ( x 2 − 1 ) ÷ 2 xdx= d(x^2-1) \div 2 xdx=d(x2−1)÷2,代入后得:
= x arccos x − ∫ d ( 1 − x 2 ) ∗ ( 1 − x 2 ) − 0.5 ÷ 2 =x\arccos x -\int d(1-x^2 )* (1-x^2)^{-0.5}\div 2 =xarccosx−∫d(1−x2)∗(1−x2)−0.5÷2
= x arccos x − ( 1 − x 2 ) 0.5 + C =x\arccos x -(1-x^2 )^{0.5}+C =xarccosx−(1−x2)0.5+C
例子6: ∫ x arctan x d x \int x \arctan xdx ∫xarctanxdx
原式= 1 2 ∫ arctan ( x 2 ) ′ d x = 1 2 ( x 2 arctan x − x 2 d ( arctan x ) ) \frac 1 2 \int \arctan(x^2)'dx=\frac 1 2(x^2\arctan x-x^2d(\arctan x)) 21∫arctan(x2)′dx=21(x2arctanx−x2d(arctanx))
= 1 2 ( x 2 arctan x − ∫ x 2 ÷ ( 1 + x 2 ) d x ) =\frac 1 2(x^2\arctan x-\int x^2 \div(1+x^2)dx) =21(x2arctanx−∫x2÷(1+x2)dx)
= 1 2 ( x 2 arctan x − ∫ ( 1 − 1 1 + x 2 ) d x ) =\frac 1 2 (x^2\arctan x-\int (1 - \frac 1 {1+x^2})dx) =21(x2arctanx−∫(1−1+x21)dx)
1 2 ( x 2 arctan x − x + arctan x ) + C \frac 1 2(x^2\arctan x - x +\arctan x)+C 21(x2arctanx−x+arctanx)+C
例子7: ∫ e x sin x d x \int e^x\sin x dx ∫exsinxdx
原式= ∫ sin x ( e x ) ′ = sin x e x − ∫ e x d ( sin x ) = sin x e x − ∫ e x cos x d x \int \sin x(e^x)'=\sin x e^x-\int e^xd(\sin x)=\sin xe^x-\int e^x\cos x dx ∫sinx(ex)′=sinxex−∫exd(sinx)=sinxex−∫excosxdx
= sin x e x − ∫ ( cos x ( e x ) ′ ) \sin xe^x-\int(\cos x (e^x)') sinxex−∫(cosx(ex)′)
= sin x e x − cos x e x + ∫ e x d ( cos x ) \sin xe^x-\cos xe^x+\int e^xd(\cos x) sinxex−cosxex+∫exd(cosx)
= sin x e x − cos x e x − ∫ e x sin x d x \sin xe^x-\cos xe^x-\int e^x\sin xdx sinxex−cosxex−∫exsinxdx第三项即原式
= e x ( sin x − cos x ) 2 + C \frac {e^x(\sin x-\cos x)}{2}+C 2ex(sinx−cosx)+C
例子8: ∫ sec 3 x d x \int \sec^3xdx ∫sec3xdx
原式= ∫ sec x ( tan x ) ′ d x = sec x tan x − ∫ tan x d ( sec x ) \int \sec x (\tan x)'dx=\sec x \tan x-\int \tan xd(\sec x) ∫secx(tanx)′dx=secxtanx−∫tanxd(secx)
= sec x tan x − ∫ tan 2 x sec x d x \sec x \tan x-\int \tan^2 x\sec x dx secxtanx−∫tan2xsecxdx
= sec x tan x − ∫ sec x ( sec 2 x − 1 ) d x \sec x \tan x-\int \sec x(\sec^2x-1) dx secxtanx−∫secx(sec2x−1)dx
= sec x tan x − 原式 + ∫ sec x d x \sec x \tan x-原式+\int \sec x dx secxtanx−原式+∫secxdx
→ 原式 = sec x tan x + ln ∣ sec x + tan x ∣ 2 + C \to 原式=\frac{\sec x\tan x +\ln|\sec x+\tan x|}{2}+C →原式=2secxtanx+ln∣secx+tanx∣+C
例子9: ∫ e x d x \int e^{\sqrt x}dx ∫ex dx
令 t = x → x = t 2 , d x = 2 t d t 令t=\sqrt x\to x=t^2,dx=2tdt 令t=x →x=t2,dx=2tdt
原式= ∫ e t 2 t d t = ∫ 2 t ( e t ) ′ = 2 t e t − ∫ e t d ( 2 t ) \int e^t2tdt=\int2t(e^t)'=2te^t-\int e^td(2t) ∫et2tdt=∫2t(et)′=2tet−∫etd(2t)
= 2 e t t − 2 e t + C =2e^tt-2e^t+C =2ett−2et+C
用x代替t,结束。
第四节 有理函数的积分
一,有理函数的积分
两个多项式的商 P ( x ) Q ( x ) \frac {P(x)}{Q(x)} Q(x)P(x)称为有理函数,又称为有理分式。我们总假定P(x)和Q(x)之间没有公因式。当P(x)的次数小于Q(x)的次数时,称为真分式,否则称为假分式。假分式一定可以转化称一个多项式和一个真分式之和。令P(x)的最高次系数为a,Q(x)的最高次系数为b,则:P(x)减去 a b Q ( x ) \frac {a}{b}Q(x) baQ(x)后,最高次数减少1。
对于真分式 P ( x ) Q ( x ) , Q ( x ) = Q 1 ( x ) Q 2 ( x ) ,且 Q 1 和 Q 2 没有公因式,那么它可以拆分两个真分式之和 \frac{P(x)}{Q(x)},Q(x)=Q_1(x)Q_2(x),且Q_1和Q_2没有公因式,那么它可以拆分两个真分式之和 Q(x)P(x),Q(x)=Q1(x)Q2(x),且Q1和Q2没有公因式,那么它可以拆分两个真分式之和
P ( x ) Q ( x ) = P 1 ( x ) Q 1 ( x ) + P 2 ( x ) Q 2 ( x ) \frac {P(x)}{Q(x)}=\frac{P_1(x)}{Q_1(x)}+\frac{P_2(x)}{Q_2(x)} Q(x)P(x)=Q1(x)P1(x)+Q2(x)P2(x)
例1:求 ∫ x + 1 x 2 − 5 x + 6 d x \int \frac{x+1}{x^2-5x+6}dx ∫x2−5x+6x+1dx
Q1=x-2,Q2=x-3。用AB代替P1,P2。
A(x-2)+B(x-3)=x+1
根据x的系数:A+B=1 → \to → 2A+2B=2
根据常数:-2A-3B=1 → \to → -2-B=1 → \to → B=-3 → \to → A=4
原式= ∫ 4 x − 3 d x − ∫ 3 x − 2 d x \int \frac 4 {x-3}dx-\int\frac 3 {x-2}dx ∫x−34dx−∫x−23dx
= 4 ∫ d ( x − 3 ) x − 3 − 3 ∫ d ( x − 2 ) x − 2 =4\int \frac{d(x-3)}{x-3}-3\int \frac {d(x-2)}{x-2} =4∫x−3d(x−3)−3∫x−2d(x−2)
= 4 ln ( x − 3 ) − 3 ln ( x − 2 ) + C =4\ln(x-3)-3\ln(x-2)+C =4ln(x−3)−3ln(x−2)+C
例2:求 ∫ x + 2 ( 2 x + 1 ) ( x 2 + x + 1 ) d x \int \frac{x+2}{(2x+1)(x^2+x+1)}dx ∫(2x+1)(x2+x+1)x+2dx
令积分表达式= A 2 x + 1 + B x + D x 2 + x + 1 \frac {A}{2x+1}+\frac{Bx+D}{x^2+x+1} 2x+1A+x2+x+1Bx+D
x的平方的系数:A+2B=0 式子一
x的系数:A+B+2D=1 式子二
常数:A+D=2 式子三
式子一减去式子二:B-2D+1=0
式子二减去式子三: B + D + 1 = 0 → 2 B + 2 D + 2 = 0 B+D+1=0\to 2B+2D+2=0 B+D+1=0→2B+2D+2=0
相加:3B+3=0,即B=-1,D=0,A=2
原式= ∫ 2 2 x + 1 d x + ∫ − x x 2 + x + 1 d x \int \frac {2}{2x+1}dx+\int \frac{-x}{x^2+x+1}dx ∫2x+12dx+∫x2+x+1−xdx
∫ 2 2 x + 1 d x = ∫ 1 2 x + 1 d ( 2 x + 1 ) = ln ∣ 2 x + 1 ∣ + C \int \frac 2 {2x+1}dx=\int \frac 1 {2x+1}d(2x+1)=\ln|2x+1|+C ∫2x+12dx=∫2x+11d(2x+1)=ln∣2x+1∣+C
∫ − x x 2 + x + 1 d x = − 1 2 ∫ ( 2 x + 1 ) − 1 x 2 + x + 1 d x \int \frac{-x}{x^2+x+1}dx=-\frac 1 2\int \frac{(2x+1)-1}{x^2+x+1}dx ∫x2+x+1−xdx=−21∫x2+x+1(2x+1)−1dx
= − 1 2 ∫ d ( x 2 + x + 1 ) x 2 + x + 1 + 1 2 ∫ 1 x 2 + x + 1 -\frac 1 2\int\frac {d(x^2+x+1)}{x^2+x+1}+\frac 1 2\int \frac 1 {x^2+x+1} −21∫x2+x+1d(x2+x+1)+21∫x2+x+11
= − 1 2 ln ( x 2 + x + 1 ) + 1 2 ∫ 1 ( x + 0.5 ) 2 + 0.75 2 d x -\frac 1 2\ln(x^2+x+1)+\frac 1 2 \int \frac 1 {(x+0.5)^2+0.75^2}dx −21ln(x2+x+1)+21∫(x+0.5)2+0.7521dx 令右半部分是式子四。
式子4= 3 arctan 2 x + 1 3 + C \sqrt 3 \arctan \frac {2x+1}{\sqrt 3}+C 3 arctan3 2x+1+C
故原式= ln ( 2 x + 1 ) − 1 2 ln ( x 2 + x + 1 ) + 3 a r c t a n 2 x + 1 3 + C \ln(2x+1)-\frac 1 2\ln(x^2+x+1)+\sqrt 3 arctan \frac {2x+1}{\sqrt 3}+C ln(2x+1)−21ln(x2+x+1)+3 arctan3 2x+1+C
例3:求 ∫ x − 3 ( x − 1 ) ( x 2 − 1 ) d x \int \frac {x-3}{(x-1)(x^2-1)}dx ∫(x−1)(x2−1)x−3dx
由于x-1和 x 2 − 1 x^2-1 x2−1有公因数,故需要在分解。
Q = ( x − 1 ) 2 ( x + 1 ) Q=(x-1)^2(x+1) Q=(x−1)2(x+1)
积分表达式= A x + B ( x − 1 ) 2 + D x + 1 \frac {Ax+B}{(x-1)^2}+\frac D {x+1} (x−1)2Ax+B+x+1D
则 x 2 的系数为: x^2的系数为: x2的系数为:A+D=0
则x的系数为:A+B-2D=1
则常数为:B +D =-3
从而解得 A=1,B =-2,D=-1
∫ x − 2 ( x − 1 ) 2 d x \int \frac {x-2}{(x-1)^2}dx ∫(x−1)2x−2dx
= ∫ 1 x − 1 d x − ∫ d x ( x − 1 ) 2 \int \frac 1 {x-1}dx-\int \frac {dx}{(x-1)^2} ∫x−11dx−∫(x−1)2dx
= ∫ 1 x − 1 d ( x − 1 ) − ∫ d ( x − 1 ) ( x − 1 ) 2 \int \frac 1 {x-1}d(x-1)-\int \frac {d(x-1)}{(x-1)^2} ∫x−11d(x−1)−∫(x−1)2d(x−1)
= ln ∣ x − 1 ∣ + ( x − 1 ) − 1 + C \ln|x-1|+(x-1)^{-1}+C ln∣x−1∣+(x−1)−1+C
∫ − 1 x + 1 d ( x + 1 ) = − ∣ l n ( x + 1 ) ∣ + C \int \frac {-1}{x+1}d(x+1)=-|ln(x+1)|+C ∫x+1−1d(x+1)=−∣ln(x+1)∣+C
故原式= ln ∣ x − 1 ∣ + ( x − 1 ) − 1 − ∣ l n ( x + 1 ) ∣ + C \ln|x-1|+(x-1)^{-1}-|ln(x+1)|+C ln∣x−1∣+(x−1)−1−∣ln(x+1)∣+C
有公因式会如何?
假设积分表达为: A x + B x 2 − 1 + D x − 1 \frac {Ax+B}{x^2-1}+\frac {D}{x-1} x2−1Ax+B+x−1D
( A x + B ) ( x − 1 ) + D ( x 2 − 1 ) = x − 3 (Ax+B)(x-1)+D(x^2-1)=x-3 (Ax+B)(x−1)+D(x2−1)=x−3
→ A x 2 + B x − A x − B + D x 2 − D = x − 3 \to Ax^2+Bx-Ax-B+Dx^2-D=x-3 →Ax2+Bx−Ax−B+Dx2−D=x−3
根据 x 2 x^2 x2的系数。A+D=0 式子一
根据x的系数,B-A=1。式子二
根据常数B+D=3 式子三
式子三-式子二=D+A=2 和式子一矛盾
二、可化为有理函数的积分举例
例4 :求 ∫ 1 + sin x sin x ( 1 + cos x ) \int \frac{1+\sin x}{\sin x(1+\cos x)} ∫sinx(1+cosx)1+sinx
正余弦都可以半角的正切表示,令 t = tan x 2 , x = 2 arctan t , d x = 2 1 + t 2 d t t=\tan \frac x 2,x=2\arctan t,dx=\frac 2 {1+t^2}dt t=tan2x,x=2arctant,dx=1+t22dt。
sin x = 2 t 1 + t 2 \sin x=\frac {2t}{1+t^2} sinx=1+t22t
cos x = 1 − t 2 1 + t 2 \cos x=\frac{1-t^2}{1+t^2} cosx=1+t21−t2
分子= 1 + t 2 + 2 t 1 + t 2 2 1 + t 2 \frac {1+t^2+2t}{1+t^2}\frac 2{1+t^2} 1+t21+t2+2t1+t22
分母= 2 t 1 + t 2 2 1 + t 2 \frac{2t}{1+t^2}\frac 2 {1+t^2} 1+t22t1+t22
故原式= ∫ t 2 + 2 t + 1 2 t d t = 1 2 ( ∫ t d t + ∫ 2 d t + ∫ 1 t d t ) \int\frac{t^2+2t+1}{2t}dt=\frac 1 2 (\int tdt+\int 2dt+\int\frac 1 tdt) ∫2tt2+2t+1dt=21(∫tdt+∫2dt+∫t1dt)
= 1 4 t 2 + t + 1 2 ln ∣ t ∣ =\frac 1 4 t^2+t +\frac 1 2\ln |t| =41t2+t+21ln∣t∣+C
用x代替x就是正解。
例5: ∫ x − 1 x d x \int \frac {\sqrt {x-1}}{x}dx ∫xx−1 dx
解:令 u = x − 1 , → x = u 2 + 1 , d x = 2 u d u u=\sqrt{x-1},\to x=u^2+1,dx=2udu u=x−1 ,→x=u2+1,dx=2udu
原式= ∫ u u 2 + 1 2 u d u = 2 ∫ 1 − 1 1 + u 2 \int \frac u {u^2+1}2udu=2\int 1-\frac 1 {1+u^2} ∫u2+1u2udu=2∫1−1+u21
= 2 ( u − arctan u ) + C =2(u-\arctan u)+C =2(u−arctanu)+C
例6:求 ∫ d x 1 + x + 2 3 \int \frac {dx}{1+\sqrt [3] {x+2}} ∫1+3x+2 dx
令 u = x + 2 3 , x = u 3 − 2 , d x = 3 u 2 d u \sqrt [3] {x+2},x=u^3-2,dx=3u^2du 3x+2 ,x=u3−2,dx=3u2du
原式= 3 u 2 1 + u d u = 3 ∫ u 2 1 + u \frac{3u^2}{1+u}du=3\int\frac {u^2}{1+u} 1+u3u2du=3∫1+uu2
= 3 ∫ u ( u + 1 ) − ( u + 1 ) + 1 u + 1 d u 3\int \frac{u(u+1)-(u+1)+1}{u+1}du 3∫u+1u(u+1)−(u+1)+1du
= 3 ∫ ( u − 1 + 1 u + 1 ) d u 3\int(u-1+\frac 1{u+1})du 3∫(u−1+u+11)du
= 3 2 u 2 − 3 u + 3 ln ∣ u + 1 ∣ ) + C \frac 3 2u^2-3u+3\ln|u+1|)+C 23u2−3u+3ln∣u+1∣)+C
用x代替u便是正解。
例7:求 ∫ d x ( 1 + x 3 ) x \int \frac {dx}{(1+\sqrt [3]x)\sqrt x} ∫(1+3x )x dx
令 u = x 6 , → x = u 6 , d x = 6 u 5 d u u=\sqrt[6] x,\to x=u^6,dx=6u^5du u=6x ,→x=u6,dx=6u5du
原式= ∫ 6 u 5 ( 1 + u 2 ) u 3 d u = 6 ∫ u 2 1 + u 2 d u \int \frac {6u^5}{(1+u^2)u^3}du=6\int\frac{u^2}{1+u^2}du ∫(1+u2)u36u5du=6∫1+u2u2du
= 6 ∫ ( 1 − 1 1 + u 2 ) d u =6\int(1-\frac 1 {1+u^2})du =6∫(1−1+u21)du
= 6 ( u − arctan u ) + C 6(u-\arctan u)+C 6(u−arctanu)+C
用x代替u,便是正解。
例8:求 ∫ 1 x 1 + x x \int \frac 1 x \sqrt{\frac{1+x}{x}} ∫x1x1+x
令u= 1 + x x , → x u 2 = 1 + x , x = 1 u 2 − 1 \sqrt{\frac {1+x} x},\to xu^2=1+x,x=\frac 1 {u^2-1} x1+x ,→xu2=1+x,x=u2−11
根据导数的除法法则, d x = − 2 u ( u 2 − 1 ) 2 dx=-\frac{2u}{(u^2-1)^2} dx=−(u2−1)22u
原式= − ∫ ( u 2 − 1 ) u 2 u ( u 2 − 1 ) 2 d u = − 2 ∫ u 2 u 2 − 1 d u -\int(u^2-1)u \frac {2u}{(u^2-1)^2}du=-2\int\frac{u^2}{u^2-1}du −∫(u2−1)u(u2−1)22udu=−2∫u2−1u2du
=-2 ∫ ( u 2 − 1 ) + 1 u 2 − 1 d u \int \frac{(u^2-1)+1}{u^2-1}du ∫u2−1(u2−1)+1du
= − 2 ( u + ∫ 1 u 2 − 1 d u ) -2(u+\int\frac {1}{u^2-1}du) −2(u+∫u2−11du)
= − ( 2 u + ln ∣ 1 − u 1 + u ∣ ) + C -(2u+\ln|\frac {1-u}{1+u}|)+C −(2u+ln∣1+u1−u∣)+C
五 积分表的使用
初等函数是由幂函数、指数函数、对数函数、三角函数、反三角函数及常数经过有限次有理运算和函数复合得到的函数,并能用解析式表示。

扩展阅读
| 我想对大家说的话 |
|---|
| 亲士工具箱:支持AutoCad2013及以上 |
| 工作中遇到的问题,可以按类别查阅鄙人的算法文章,请点击《算法与数据汇总》。 |
| 学习算法:按章节学习《喜缺全书算法册》,大量的题目和测试用例,打包下载。重视操作 |
| 活到老,学到老。明朝中后期,大约50%的进士能当上堂官(副部及更高);能当上堂官的举人只有十余人。 |
| 子墨子言之:事无终始,无务多业。也就是我们常说的专业的人做专业的事。 |
视频课程
先学简单的课程,请移步CSDN学院,听白银讲师(也就是鄙人)的讲解。
https://edu.csdn.net/course/detail/38771
如何你想快速形成战斗了,为老板分忧,请学习C#入职培训、C++入职培训等课程
https://edu.csdn.net/lecturer/6176
测试环境
操作系统:win7 开发环境: VS2019 C++17
或者 操作系统:win10 开发环境: VS2022 C++17
如无特殊说明,本算法用**C++**实现。
