****论文题目:****Adversarial-Based Super Feature Reconstruction Meta-Transfer Network for Weak Feature Enhancement and Fault Diagnosis of Harmonic Drive(基于对抗的超特征重构元传递网络弱特征增强与谐波传动故障诊断)
****期刊:****IEEE/ASME TRANSACTIONS ON MECHATRONICS(工程技术 一区Top)
****摘要:****深度迁移学习方法在数据不足的故障诊断领域取得了可喜的进展。然而,这些方法在工业场景中仍然面临着一些挑战:首先,故障早期的故障特征非常弱。第二,实验室条件和工业情景之间存在显著的分布差异。针对上述问题,提出了一种改进的谐波驱动弱特征增强与故障诊断网络------基于对抗的超特征重构元转移(ASFRMT)。首先,设计了一种基于严重故障特征对抗的超特征重构策略,通过特征内容损失和分布匹配损失进一步提取弱故障的超特征,增强弱故障的特征表示;其次,基于增强弱特征构建故障分类模块进行故障诊断;此外,将模型不可知的元迁移学习框架从实验室环境应用到工业场景。特别是对分类模块的输出层进行了调整和重新训练,使其适合于谐波驱动。对谐波传动的交叉滚子轴承进行了综合实验,与其他故障诊断方法相比,验证了ASFRMT网络的有效性和鲁棒性。
用对抗学习"增强"弱故障特征
一、背景:工业故障诊断面临的真实困境
在工业机械系统的健康管理中,故障诊断是保障设备安全运行的核心环节。如果能在故障萌芽阶段就识别出异常,就能及时制定维护策略,避免设备进一步损坏乃至停产。
然而,现实并不乐观。谐波减速器(Harmonic Drive)作为机器人关节、精密仪器中的关键传动部件,其故障诊断面临两大难题,现有方法对此束手无策:
难题一:早期故障特征极其微弱
故障的演化是一个渐进过程。在早期阶段,故障引起的冲击信号幅值极小,被强背景噪声所淹没,加上传递路径复杂,信号在到达传感器之前已经严重衰减。传统信号处理方法(如小波变换、EMD)需要大量专家知识;而深度学习方法虽然强大,却在噪声干扰下难以学到有效的弱特征表示。
难题二:实验室数据与工业数据之间存在巨大的分布鸿沟
收集谐波减速器的工业故障数据代价高昂,且设备需在更安全的工况下运行,导致标注数据极度匮乏。虽然可以利用实验室轴承数据来学习故障知识,但二者的故障类别不同、数据分布差异显著,直接迁移效果很差。
正是在这一背景下,本文提出了 ASFRMT(Adversarial-based Superfeature Reconstruction Meta-Transfer)网络,系统性地解决上述两大难题。
二、整体框架:ASFRMT 网络全景

整个框架分为三个阶段:
- 数据准备阶段:实验室滚动轴承数据(含弱故障和严重故障)作为元训练数据源 DB;谐波减速器数据 DH 作为元测试数据源。
- 元训练阶段(Meta-Training) :构建弱特征重建模块和故障分类模块,在多个诊断任务上训练,利用 MAML 双层优化框架获得泛化元模型参数
。
- 元测试阶段(Meta-Testing):固定弱特征提取器和分类器前两层,仅用少量谐波减速器样本重训最后一层 SoftMax,快速适配目标工业任务,输出诊断结果。
这种"实验室预训练 → 工业快速适配"的范式,是本文解决少样本工业诊断问题的核心思路。
三、核心模块一:对抗式超特征重建机制
这是本文最核心的创新,其设计思想来源于一个直觉:严重故障的特征更加显著,如果能让弱故障特征"学习"严重故障特征的表达方式,弱特征的质量就能大幅提升。
3.1 网络组成
弱特征重建模块由四个子网络构成:
| 子网络 | 颜色标识 | 结构 | 作用 |
|---|---|---|---|
| 严重故障特征提取器 Fs | 蓝色 | 2层卷积 + 最大池化 | 从严重故障数据中提取判别性特征 fBS |
| 弱故障特征提取器 Fw | 红色 | 同 Fs,结构相似 | 从弱故障数据中提取特征 fBW |
| 特征判别器 Dres | 绿色 | 2层全连接 + 分类输出层 | 判别特征来自严重故障还是弱故障(对抗目标) |
| 特征感知器(Feature Perceptron) | 灰色 | --- | 计算两路特征的差异损失 |

3.2 对抗训练机制
对抗训练的核心在于梯度反转层(Gradient Reversal Layer):在反向传播时将梯度乘以负数,使得判别器越来越难以区分 fBS 和 fBW,从而迫使 Fw 提取出与严重故障特征分布相近的高质量弱特征。
判别器损失定义为:

3.3 两种特征差异损失
仅靠对抗损失还不够,论文在特征感知器中额外设计了两种约束损失:
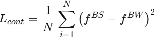
① 特征内容损失(Feature Content Loss)

通过最小化两路特征的逐点 L2 距离,促使弱特征提取器学会生成与严重故障特征"内容相近"的特征表示,减少背景噪声干扰。
② 分布匹配损失(Distribution Matching Loss)

其中
为非线性核函数,H为再生核希尔伯特空间(RKHS)。
这一损失关注的是两类特征整体分布之间的差距,而非逐点差异,因此对数据分布的形态具有更好的适应性。
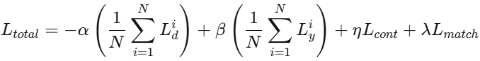
3.4 总体损失函数
元训练阶段 ASFRMT 的总损失为四项之和:

其中
为超参数,注意对抗损失项取负号,与梯度反转层配合实现对抗优化。
四、核心模块二:模型无关元迁移学习框架
4.1 元学习基础:MAML
MAML(Model-Agnostic Meta-Learning)由 Finn et al.(2017)提出,其核心理念是学会如何学习 :不是针对某个特定任务学习参数,而是学习一组初始化参数,使得模型仅需少量梯度步骤就能适应新任务。
MAML 的双层优化机制如下:

- 内层循环 :在支撑集上最小化任务损失,得到任务特定参数

- 外层循环 :在查询集上评估所有任务的综合性能,更新元参数
4.2 本文中的元迁移流程
元训练阶段:
从实验室滚动轴承数据 DB 中构建多个诊断任务
,每个任务包含支撑集和查询集,按 C-way K-shot 设置采样。每个任务均训练 ASFRMT 完整模型,通过多任务聚合的元梯度更新元参数,获得强泛化的元模型
。
元测试阶段:
固定弱特征提取器 Fw 和分类器的前两层参数,将最后的 SoftMax 输出层改为适应谐波减速器4类故障的输出,然后用少量谐波驱动数据(10~50 样本)对该层进行重训:

这一设计的优势在于:不同数据集的故障类别数量不同(轴承数据为3类,谐波减速器数据为4类),通过仅重训输出层,既保留了元模型强大的特征提取能力,又能灵活适配新任务的类别结构。
五、实验验证
5.1 数据集介绍
实验室滚动轴承数据集(元训练用)


数据采集自实验室轴承试验台,电机以 500/800/1100/1400 r/min 四种转速运行,采样频率为 12 kHz 和 100 kHz,包含正常状态、内圈故障、外圈故障三类,其中损伤直径分别为 0.5 mm 和 1 mm,对应弱故障和严重故障。
谐波减速器交叉滚子轴承数据集(元测试用)


测试轴承型号为 SW-HG-20,采样频率 25.6 kHz,转速 334 r/min,包含正常状态、内圈故障、外圈故障、滚子故障四类。弱故障定义为较小损伤尺寸(如内圈 2.0×0.25×0.05 mm),严重故障为较大损伤尺寸(如内圈 2.0×0.5×0.05 mm)。
5.2 实验设置
按照少样本学习的实验惯例,设计了5个诊断任务(Task 1~5),元测试阶段分别使用谐波减速器数据集中 10/20/30/40/50 个样本(每类故障)进行模型微调,测试集固定为 300 个样本。
网络结构与超参数配置如下:


5.3 对比方法
共与5种方法进行比较,涵盖传统深度学习和元学习两大类:
- MsFaCNN:多尺度融合注意力 CNN,捕获振动信号的非平稳特征
- WDCNN:首层宽卷积核深度 CNN,用于特征提取和噪声抑制
- TCNN:可迁移 CNN,采用微调策略进行迁移学习
- FSM3:基于度量元学习的少样本故障诊断方法
- PRIN:原型与重建集成网络,用于开集故障诊断
对于 TCNN、FSM3、PRIN 三种元学习方法,元测试阶段同样使用 2/4/6/8/10 个样本(每类)进行微调,与本文的 Task 1~5 对应。
5.4 主实验结果

结果清晰表明:ASFRMT 在所有5个任务中均以显著优势领先。
以 Task 1(最难,仅10样本/类) 为例,ASFRMT 达到 83.34% 的准确率,而对比方法仅在 31.83%~56.33% 之间。具体领先幅度:
- 比 MsFaCNN 高 +27.01%
- 比 WDCNN 高 +40.34%
- 比 TCNN 高 +51.51%
- 比 FSM3 高 +29.17%
- 比 PRIN 高 +29.67%
随着样本量的增加,ASFRMT 的精度稳步提升至 Task 5 的 95.66%,而对比方法的提升幅度则相对有限,说明本文方法对样本量的利用效率更高。

5.5 特征可视化与混淆矩阵

t-SNE 可视化结果显示,经过弱特征增强后,内圈故障与外圈故障的特征簇在各任务中均能较好地分离。唯一的挑战在于正常状态与滚子故障之间存在不同程度的重叠------这在 Task 1(仅10样本)时最为明显,但随着样本量增加(Task 4、5),重叠区域显著减小,误分类样本逐渐减少。

混淆矩阵与特征分布结果高度一致。Task 5 中,95.66% 的样本被正确分类,充分验证了弱特征增强方法的有效性和 ASFRMT 方法的灵活性。
5.6 更弱故障泛化实验
为进一步验证方法在极早期故障阶段的能力,论文使用了损伤尺寸更小的样本(如内圈 2.0×0.1×0.05 mm)重新构建元测试集:

即使面对这些更微弱的故障特征,ASFRMT 在 Task 5 仍达到 92.80% 的准确率(Task 1 为 80.80%),证明了弱特征重建机制的泛化能力,以及模型在早期故障检测场景下的实用价值。
5.7 消融实验





论文设计了两组消融对照:
| 配置 | Task 4 准确率 | Task 5 准确率 |
|---|---|---|
| 仅弱故障特征提取器(无对抗增强) | 77.60% | 78.80% |
| 仅严重故障特征提取器(无弱特征建模) | 86.79% | 88.40% |
| 完整 ASFRMT(本文方法) | 94.33% | 95.66% |
值得关注的是:即使仅使用严重故障特征提取器,其性能(86.79%/88.40%)也优于仅使用弱故障提取器(77.60%/78.80%),这说明严重故障具有更强的特征辨别力。但只有二者结合的对抗框架才能最大化诊断性能。混淆矩阵与 t-SNE 可视化也直观地展示了消融实验中特征分离程度的差异。
六、总结与展望
本文提出的 ASFRMT 网络从两个维度系统解决了工业谐波减速器弱故障诊断的核心难题:
在特征层面,通过对抗式超特征重建机制,借助严重故障特征的"引导",显著提升了弱故障特征的表征质量,内容损失与分布匹配损失的组合设计兼顾了逐点相似性与整体分布一致性。
在迁移层面,MAML 框架赋予模型强大的快速适应能力,只需 10~50 个工业样本即可完成从实验室数据到工业场景的迁移,并在仅重训输出层的情况下灵活适配不同数量的故障类别。
实验结果在主实验、更弱故障泛化实验和消融实验三个维度上共同验证了方法的有效性和鲁棒性。
未来工作方面,作者计划:
- 探索融合物理知识 和动态信号分析的弱故障特征提取方法,减少对额外数据的依赖
- 研究新型元迁移学习方法,进一步提升跨工况、跨机器的泛化能力