题目描述
给你一个链表的头节点 head 和一个整数 val ,请你删除链表中所有满足 Node.val == val 的节点,并返回 新的头节点 。
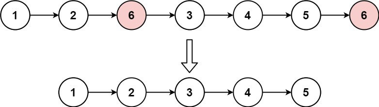
示例 1:

输入:head = [1,2,6,3,4,5,6], val = 6
输出:[1,2,3,4,5]
示例 2:
输入:head = [], val = 1
输出:[]
示例 3:
输入:head = [7,7,7,7], val = 7
输出:[]
提示:
- 列表中的节点数目在范围
[0, 104]内 1 <= Node.val <= 500 <= val <= 50
解题思路
思路1
分类讨论删除头结点和删除其它结点的情况。


思路2
引入一个虚拟头结点,即可避开讨论头结点的情况。

代码
方法一:
java
/**
* Definition for singly-linked list.
* public class ListNode {
* int val;
* ListNode next;
* ListNode() {}
* ListNode(int val) { this.val = val; }
* ListNode(int val, ListNode next) { this.val = val; this.next = next; }
* }
*/
class Solution {
public ListNode removeElements(ListNode head, int val) {
// 从头结点开始遍历
ListNode currentNode = head;
// 若要删除的是头结点
while(head != null && head.val == val){
head = head.next;
currentNode = head;
}
// 若要删除其它结点
while(currentNode != null && currentNode.next != null){
if(currentNode.next.val == val){
currentNode.next = currentNode.next.next;
} else{
currentNode = currentNode.next;
}
}
return head;
}
}
方法二:
java
/**
* Definition for singly-linked list.
* public class ListNode {
* int val;
* ListNode next;
* ListNode() {}
* ListNode(int val) { this.val = val; }
* ListNode(int val, ListNode next) { this.val = val; this.next = next; }
* }
*/
class Solution {
public ListNode removeElements(ListNode head, int val) {
// 创建一个虚拟头结点,next指针指向head结点
ListNode dummyHead = new ListNode(0,head);
// 从虚拟头结点开始遍历
ListNode currentNode = dummyHead;
// 若要删除其它结点
while(currentNode != null && currentNode.next != null){
if(currentNode.next.val == val){
currentNode.next = currentNode.next.next;
} else{
currentNode = currentNode.next;
}
}
// 结果返回真实头结点
return dummyHead.next;
}
}