

🔥个人主页:北极的代码(欢迎来访)
🎬作者简介:java后端学习者
✨命运的结局尽可永在,不屈的挑战却不可须臾或缺!
前言:今天继续学习链表的相关题目,主要还是考察链表的基本操作,是面试的基础题常考,需要掌握。
题目背景:LeetCode24
给你一个链表,两两交换其中相邻的节点,并返回交换后链表的头节点。你必须在不修改节点内部的值的情况下完成本题(即,只能进行节点交换)。
示例 1:
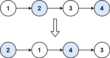
输入:head = [1,2,3,4] 输出:[2,1,4,3]示例 2:
输入:head = [] 输出:[]示例 3:
输入:head = [1] 输出:[1]提示:
- 链表中节点的数目在范围
[0, 100]内0 <= Node.val <= 100
题目答案:
第一种解法:
java
class Solution {
public ListNode swapPairs(ListNode head) {
ListNode dumyhead = new ListNode(-1); // 设置一个虚拟头结点
dumyhead.next = head; // 将虚拟头结点指向head,这样方便后面做删除操作
ListNode cur = dumyhead;
ListNode temp; // 临时节点,保存两个节点后面的节点
ListNode firstnode; // 临时节点,保存两个节点之中的第一个节点
ListNode secondnode; // 临时节点,保存两个节点之中的第二个节点
while (cur.next != null && cur.next.next != null) {
temp = cur.next.next.next;
firstnode = cur.next;
secondnode = cur.next.next;
cur.next = secondnode; // 步骤一
secondnode.next = firstnode; // 步骤二
firstnode.next = temp; // 步骤三
cur = firstnode; // cur移动,准备下一轮交换
}
return dumyhead.next;
}
}
题目解析:
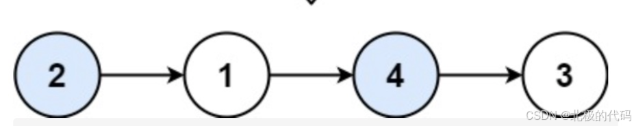
我们这里仍旧使用虚拟头节点的方式,在做这种题目的时候,我们最好要把流程图画出来,不然容易搞混。

如图所示:我们把虚拟头节点设为cur,然后分别用临时节点保存需要移动的节点,我们这里保存的是第一个和第二个节点,关于temp记录的cur.next.next.next,实际上是为了步骤三交换位置。记录完之后,我们就可以开始交换了
首先cur.next=secondnode,secondnode.next=firstnode;
之后**,交换后的firstnode节点的next,实际上就是我们下次开始执行交换的节点的下个节点,也就是我们保存的临时节点temp。**
因为是两两交换,自然就是虚拟头节点的next.next.next,这里没什么深究的,而此时的firstnode也就相当于一开始虚拟头节点的作用,用于联系交换后面两个节点。
然后就是关于循环条件
如果链表有偶数个,那么循环的终止条件就是cur.next==null的时候,如图所示,执行完两次交换之后,此时的cur等于被交换之后val==3的那个位置

如图,因为是偶数节点,那么他后面的节点自然就是null
如果是奇数节点**,我们画个图理解一下,那么也就是cur节点的next.next节点为null,**因为cur.next的节点没有节点与之交换。
注意:这两个条件的位置一定不能交换,否则会报空指针异常
java
cur.next.next != null // 先执行这个!
// cur.next = 节点1
// cur.next.next = 节点1.next = null
// 访问 null.next → 💥 空指针异常!
注意:
其实我们在设置临时节点的时候,只需要保存cur.next和cur.next.next.next,的值,一般不需要设置第二个节点的临时节点去保存值,因为我们拿虚拟节点交换的时候
步骤一:cur.next=cur.next.next(也就是第二个节点变成了第一个节点,交换了位置)
步骤二:firstnode=cur.next.next;(这里如果不用firstnode去记录第一个节点,那么它的值已经在步骤一的时候就被覆盖了)
步骤三:照常
第二种解法:
java
// 递归版本
class Solution {
public ListNode swapPairs(ListNode head) {
// base case 退出提交
if(head == null || head.next == null) return head;
// 获取当前节点的下一个节点
ListNode next = head.next;
// 进行递归
ListNode newNode = swapPairs(next.next);
// 这里进行交换
next.next = head;
head.next = newNode;
return next;
}
}
题目解析:
其实递归的本质就是代替循环的操作
链表初始状态:
1 → 2 → 3 → 4 → null
第一层调用
swapPairs(1)
head = 1,head.next = 2,不为 null,不满足 base case
next = head.next = 2进入递归
newNode = swapPairs(3)(因为next.next = 3)
第二层调用
swapPairs(3)
head = 3,head.next = 4,不为 null
next = head.next = 4进入递归
newNode = swapPairs(5)(因为next.next = null)
第三层调用
swapPairs(5)
head = null→ 满足 base case,返回null返回到第二层:
newNode = null
回到第二层
swapPairs(3)
next = 4,newNode = null交换操作:
next.next = head→4.next = 3
head.next = newNode→3.next = null此时链表局部:
4 → 3 → null返回
next→ 返回节点 4状态: 第二层返回到第一层的
newNode是节点 4,且它带着4 → 3 → null这一段。
回到第一层
swapPairs(1)
next = 2,newNode = 4 → 3 → null交换操作:
next.next = head→2.next = 1
head.next = newNode→1.next = 4注意此时
1.next = 4,所以链表变成:
2 → 1 → 4 → 3 → null
最终返回
next = 2,作为新的头节点返回。完整结果:
2 → 1 → 4 → 3 → null✅
关键点总结:
递归从链表尾部向前建立两两交换后的链表
每次递归返回的是交换完这一对后,这一段的头节点(即原
next节点)
newNode接收的是已经交换好的后续部分,然后挂在head.next上
补充:
| 变量 | 作用 | 是否移动 |
|---|---|---|
dummyhead |
永远指向虚拟头结点,用于最后返回 | ❌ 不移动 |
cur |
当前操作位置,需要不断移动 | ✅ 移动 |
为什么用 cur.next 而不是 dummyhead.next?
因为 cur 在移动,dummyhead 不动。当 cur 移动到后面时,cur.next 和 dummyhead.next 就完全不同了!
-
cur.next:当前要交换的节点对的前一个节点 -
dummyhead.next:整个链表的头节点(交换后会变化)
结语:
如果对你有帮助,请点赞,关注,收藏,你的支持就是我最大的鼓励!
