目录
[1.1 DFT](#1.1 DFT)
[1.2 FFT](#1.2 FFT)
2.通过matlab编程方式实现FFT/IFFT(不用matlab自带的fft函数)
1.FFT的基本原理
离散傅里叶变换(DFT)是时域离散信号→频域离散信号的核心变换,快速傅里叶变换(FFT)是DFT的快速算法(基于分治思想,将复杂度从O(N2)降至 O(Nlog2N));逆快速傅里叶变换(IFFT)是频域→时域的逆变换,与FFT数学原理高度相似,仅存在系数和共轭符号的差异。
1.1 DFT
给定长度为N的时域序列x[n](n=0,1,...,N−1),其DFT变换X[k]为:

逆变换IDFT公式:

其中旋转因子(核心复指数):

1.2 FFT
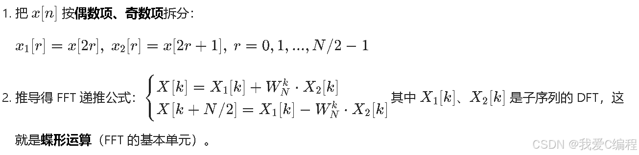
基2-FFT前提:序列长度N=2^M(M为正整数,不足时补0)。其核心思想:奇偶分解,将长序列DFT分解为两个短序列DFT,递归分解直到长度为1。

IFFT与FFT仅两个区别:

因此实现FFT后,仅需微小修改即可实现IFFT。
2.通过matlab编程方式实现FFT/IFFT(不用matlab自带的fft函数)
FFT函数编写程序如下:
%基2-FFT(递归实现,无内置FFT函数)
function X = my_fft(x)
% 输入:x - 时域序列(长度必须为2^M,自动补0)
% 输出:X - 频域序列(DFT结果)
x = x(:); % 转为列向量
N = length(x); % 序列长度
% 补0到最近的2的整数次幂(基2FFT要求)
M = ceil(log2(N));
N_fft = 2^M;
x = [x; zeros(N_fft - N, 1)];
% 递归终止条件:长度为1时,DFT等于自身
if N_fft == 1
X = x;
return;
end
% 1. 奇偶分解
x_even = x(1:2:end); % 偶数项
x_odd = x(2:2:end); % 奇数项
% 2. 递归计算子序列FFT
X_even = my_fft(x_even);
X_odd = my_fft(x_odd);
% 3. 蝶形运算(核心公式)
X = zeros(N_fft, 1);
for k = 1 : N_fft/2
% 旋转因子 W_N^k = e^(-j*2pi*(k-1)/N_fft) (公式直接实现)
W = exp(-1j * 2 * pi * (k-1) / N_fft);
% 蝶形公式
X(k) = X_even(k) + W * X_odd(k);
X(k + N_fft/2) = X_even(k) - W * X_odd(k);
end
end
IFFT过程编写程序如下:
%实现 IFFT(基于FFT,仅修改共轭和系数)
function x = my_ifft(X)
% 输入:X - 频域序列
% 输出:x - 时域序列
N = length(X);
% IFFT核心:1. 对共轭做FFT 2. 除以N
x = (1/N) * my_fft(conj(X));
x = real(x); % 消除浮点误差,取实部
end
主函数程序如下:
clear; clc; close all;
% 生成测试时域信号
N = 8; % 序列长度(2^3,满足基2FFT)
n = 0:N-1;
x = sin(2*pi*1*n/N) + 0.5*cos(2*pi*2*n/N); % 复合正弦信号
% 调用自定义FFT/IFFT
X_my = my_fft(x)
x_my = my_ifft(X_my)
% 调用MATLAB内置函数(对比验证)
X_mat = fft(x)
x_mat = ifft(X_mat)
运行结果如下:

可以看到,通过编程实现的FFT/IFFT输出结果和matlab自带的FFT函数输出结果完全一致。