作者:来自 Elastic Thomas Veasey 及 Jan Kuipers

解释我们用来获得快速近似 ES|QL 查询的方法以及我们对误差估计所做的测试。
动手实践 Elasticsearch:深入了解我们在 Elasticsearch Labs 仓库中的示例 notebooks,开始免费的云试用,或现在就在本地机器上尝试 Elastic。
正如我们在之前的博客中讨论的,我们正在引入快速近似 ES|QL STATS 查询,该功能将在 Elasticsearch 和 Elastic Stack 的 9.4 版本中提供。此功能允许用户通过放宽返回精确值的约束来估计一个高成本的分析查询,其速度通常比运行完整查询快几个数量级。我们认为这有很多用途;例如,我们计划将其集成到 Kibana 中,以便在可能的情况下获得快速图表预览。
为了让你能够信任我们的估计,我们提供误差估计。此外,由于误差估计中存在一些边界情况,我们会在估计值和误差可信时进行认证。在这篇博客中,我们将深入探讨对这类查询进行近似和误差估计的理论,并讨论我们所做的测试。
背景
为了高效地估计 ES|QL STATS 查询,我们利用了许多统计量共有的一个性质:从数据集中大量独立样本计算得到的估计值会逼近其真实值。在一个包含某字段
的索引中,我们可以将统计量的真实值看作是在
上具有均匀离散分布的随机变量所计算得到的值。下面我们用
表示这个量;它可以是 AVG、MEDIAN 等。如果我们从
中进行 n 次独立抽样,记为
,使得每个值被选中的概率为
,那么我们就得到了该随机变量的 n 个独立副本。我们依赖的性质意味着,从 S 计算得到的样本统计值 θ^ 会随着 n 的增大而逼近 θ。例如,如果 θ 是某些度量值的平均值,那么
当
足够大时成立。事实上,对于许多统计量,其极限误差分布已知为正态分布。此外,它只依赖于
的分布、样本大小 n 以及聚合类型
。这意味着支持的 STATS 查询可以在与索引大小 |X| 无关的固定精度下进行近似。
从 Apache Lucene 索引中随机抽取值是很容易的:创建一个过滤器,以指数分布的跳跃在数据集中移动,其中期望跳跃大小由所需的采样概率控制。该过滤器与任何其他 Lucene 查询进行 AND 运算时效率极高,因为对过滤查询进行 AND 运算正是其优化重点之一。在我们的另一篇文章中,我们讨论了一些真实查询示例,以展示在不同精度水平下获得的加速效果。
到目前为止,我们只讨论了如何获得查询的估计值。虽然这样的点估计器可能有用,但如果不了解其误差,其用途是有限的。我们发现 ES|QL 具有现有能力,使得同时引入低成本、灵活且准确的误差估计变得相对容易。接下来我们将讨论这一点。
误差估计
我们认为,对估计中的不确定性提供准确理解,对用户信任该近似结果至关重要。虽然仅仅提供快速估计 ES|QL 查询的能力在某些场景下也有用,但我们希望提供更丰富的功能,使客户端能够做出更智能的选择。例如,如果一个近似查询用于预览图表,而误差只有几个像素,那么再运行一次昂贵查询来重绘就没有太大意义。
我们选择用置信区间来表示误差:更准确地说,是 中心置信区间。它可以用被估计统计量的累积分布函数
来表示。具体而言,它是一个区间,该区间以概率
包含真实值,其端点分别为
及
。置信区间的计算实际上非常微妙。同时,对于我们的使用场景,还存在一些重要约束,使得标准方法并不理想。接下来,我们将更详细地讨论我们采用的方法的动机与设计。
整个项目的一个关键需求是大幅加速昂贵的分析查询。因此,至关重要的是,估计不确定性的开销不能相对于查询结果本身的估计过大。我们也希望该功能尽可能通用,同时在语言内部保持 "隔离"。换句话说,ES|QL 是一种非常灵活的语言,我们希望估计能力尽可能覆盖其中的表达方式。同时,我们也不希望引入一个横跨所有功能的特性,从而对每一个新特性开发都造成额外成本。
基于这些考虑,我们选择通过对样本集进行分区,并在每个子样本上计算查询输出来估计置信区间。这这类似于 bootstrap(自助法)方法;然而,由于我们保证每个分区都来自不相交的随机样本子集,因此我们知道它们构成了该统计量分布的真实估计。为了尽可能准确地估计统计量本身,我们仍然在完整样本上计算其值。例如,为了估计均值及其分布,该过程可以表示如下:
FROM data | SAMPLE probability
| EVAL bucketId = RANDOM(B) // B is the number of buckets
| STATS avg = AVG(x)
avg_0 = AVG(x) WHERE bucketId==0
(...)
avg_B-1 = AVG(x) WHERE bucketId==B-1
BY grouping
| EVAL confidence_interval = CONFIDENCE_INTERVAL(avg, avg_0, ..., avg_B-1)
这引入了一个需要处理的复杂性:需要考虑用于估计查询统计量的值的数量,与用于采样其分布的值的数量之间的不一致。这是一个缺点;不过,它也带来了一些显著优势。
大多数分析查询的计算工作都集中在聚合统计的计算上:在 STATS 归约之后的后处理作用于一个小得多的表,其成本通常相对较低。在这种方案中,与仅仅估计统计量相比,输入到 STATS 命令的每一行数据都会被精确处理两次。因此,粗略来说,我们为估计不确定性所付出的开销,与估计查询本身的成本处于同一数量级。由于我们通常能比精确查询快几个数量级,这样的开销是可以接受的。
由于该过程使用的是一个普通的表结构,只是在其中增加了用于分布采样的额外列,因此我们可以将整个表传递通过任何 ES|QL 管道,并在最终结果上计算置信区间。例如,如果我们在上述管道中加入 EVAL square_avg = avg * avg,那么我们将得到完全对应的 square_avg、square_avg_0、...、square_avg_B-1 这些额外值。在管道结束时,我们得到了原始统计量及其所有派生量的分布样本。因此,我们可以应用标准的置信区间计算机制来对表进行归约,并将这些样本进一步转换为派生量的置信区间。
整个过程对于 ES|QL 语言的其余部分来说基本是透明的,正如我们上面展示的,它可以通过查询重写来实现。
置信区间计算
我们有该统计量分布的独立样本 。然而,这些样本是在比我们的估计
使用更少的值的情况下计算得到的。我们同时只有相对较少的分布样本,这是为了避免样本数量差异过大,并防止表格膨胀。因此,我们更倾向于使用参数化方法来估计置信区间。
对于我们支持估计的这些统计量,其误差在由大量样本计算时,其极限分布通常趋近于正态分布。因此,一个自然的选择 ------ 标准区间 ------ 是从样本中估计均值和标准差,并报告相应的正态置信区间 。 这里
表示标准正态分布函数。对于重尾数据以及对异常值敏感的统计函数(例如 STD_DEV),收敛到正态分布的速度可能较慢,从而导致置信区间校准不佳。
简要来说,为了评估这些区间的质量,可以检查它们的校准情况。具体而言,可以计算一个称为 coverage(覆盖率)的量。对于中心置信区间,它在 次试验中,应当有大约
次包含真实统计值。实际上,由于我们使用的是中心置信区间,可以做出更强的表述:真实值应当在置信区间上界之上或下界之下的次数,在
次试验中分别约为
。经验覆盖率就是在大量试验中计算得到的这一比例。它使我们能够通过模拟比较不同方法。我们将在报告测试结果时再次回到这一点。
为了获得更好的置信区间,我们尝试了几种不同方法:分位数的 Cornish--Fisher 校正,以及偏差校正加速(bias-corrected accelerated - BCa)置信区间的改编版本。模拟结果显示 BCa 在不同置信水平下提供了更稳定的校准,因此我们选择了该方法。其基本思想由 Efron 提出,即假设存在一个关于底层统计量的单调变换 g = g(θ),当作用于分布样本时,可以将其分布 "正态化":
(1)
这里,,
,而
是标准正态随机变量。
这显然是在放宽"统计量本身服从正态分布"这一假设,而标准区间正是基于该假设推导出来的。实际上,这一类模型包含了许多分布形式,因为 只被要求是单调函数。(你可以把
看作是一个一阶泰勒展开,用于描述方差是真实参数值某个任意函数的情况。这进一步放宽了"标准化变换同时稳定方差"的假设。)这种方法的一个优点是,
本身不需要被显式计算,并且可以从分布样本中用标准方法估计参数
和
。
对于 ,可以通过让估计值落在变换后分布的中位数来处理。如果假设 θ 空间中的累积分布函数为
,那么
,
其中 是估计的统计量值,如前所述
是标准正态分布函数。通常 Fθ 会用经验分布函数近似,而经验分布函数通常通过 bootstrap 间接计算。然而有些出人意料的是,大量模拟结果显示,我们在这里使用对样本值的正态近似反而得到了更好的校准效果,即
, 其中
和
分别是经验均值和标准差。
为了完成整个过程,可以将 (1) 式重新整理,从而得到 的
分位数如下:
其中 是对应分位数
的标准正态 z 分数。通常会使用经验累积分布函数的逆
来把分位数转换回置信区间。然而,由于用于计算分布样本的值的数量与查询估计之间存在不匹配,我们需要做某种缩放处理。通过模拟实验探索不同方案后,我们再次发现使用正态近似效果最好,
其中
是我们使用的分布样本数量。这相当于对方差按
进行常规缩放。
Efron 表明,在 服从
分布(即仅依赖于真实值
)的情况下,加速项
可以在不需要任何
的知识下估计。特别地,
在我们的假设下,这些统计量在均值为
时趋向于正态分布。由于偏度(skew)对平移和缩放是不变的,因此有
即为分布样本的偏度的六分之一。这里有一点被简化掉的是偏度以及因此加速参数对样本大小的依赖性。我们知道它会随着样本数量增加而趋近于 0。事实上,偏度也以
的速度衰减,因此我们进一步将加速项调整为
以补偿样本
与估计
之间的数量不一致。
尽管通过更好的方法我们显著提升了置信区间的校准效果,但在某些 STATS 函数的底层分布具有非常重尾的情况下,仍然会出现问题。因此,我们接下来引入一些额外的保护机制。
保护机制(Guard rails)
为了避免用户需要理解过多边界情况,当我们无法确认分布样本是否按预期行为时,会提供额外的安全机制。这通常发生在:在给定度量分布的情况下,用于计算统计量的值的数量不足时。对于高度偏斜的指标数据以及某些对异常值敏感的聚合函数(例如 STD_DEV),这种问题会更加严重。
我们对用于估计统计量的最小值数量设有一些全局约束,只有满足这些约束时我们才会进行认证。例如,如果任何 bucket 为空,那么我们就无法依赖这些分布样本。这是因为 ES|QL 允许混合使用近似统计,而这些统计在处理空 bucket 时的行为可能不同。例如,考虑以下查询:
SET approximation=true;
FROM data | STATS avg = AVG(x), sum = SUM(y) | EVAL mix = avg + sum
对于空 bucket,没有一种自洽的方法可以正确为 mix 赋值,因为求和操作要求我们将其视为 0,在这种情况下会对 avg 的估计引入偏差。另一方面,如果忽略空 bucket,则会在 sum 上引入偏差。我们还设置了一个全局最小值数量阈值,在该阈值下我们确认认证方法足够可靠;该值为 10。
我们探索了多种额外的测试方法来对结果进行认证。这些方法既基于对底层数据分布的检验(特别是 Hill 估计器),也基于统计量分布本身的性质。如果统计量的真实分布足够接近正态分布,那么我们的估计及置信区间计算就会符合预期:区间校准良好,区间宽度能够反映实际误差。因此最终我们选择了一种基于分布样本的偏度(skewness)和峰度(kurtosis)相对于正态分布零假设的 p 值检验方法。为了认证一个结果,我们要求这两个检验的双尾 p 值都大于 0.05。如下所示,这一测试与我们的实际需求高度一致:用于区分哪些估计及其置信区间更可靠。
我们可以使用一个简单技巧来提升该测试的准确性:构造多个独立的分布样本并进行投票。给定一个失败率为 f 的认证测试,在零假设(即估计是可靠的)成立的情况下, 次失败在
次测试中的分布为
例如,对于多数投票(majority vote),假设
= 0.05 且
= 3,那么该测试的显著性为
,也就是说,我们对可信结果误拒绝的概率低于 1%。注意,我们可以通过使用不同 RANDOM bucket 标识符的 seed,很容易地计算多个试验。
这一额外检查使我们能够认证我们信任估计值及其误差。在近似查询结果中我们会展示这一信息。当无法通过认证时,结果不一定是不准确的,但应当被更谨慎地对待。
测试(Testing)
这里讨论的测试主要有两个目标:一是理解置信区间的校准情况,二是观察它们对统计量估计误差的刻画程度。count 函数的行为特别良好,其误差分布是二项分布,因此我们的大部分测试集中在度量聚合(metric aggregations)上。我们研究了平滑分布,同时确保覆盖不同的尾部行为范围。异常值的存在是降低统计估计精度的关键因素。例如,如果某个异常值完全没有被采样到,它可能会显著影响某些统计量的结果。
我们探索了一系列轻尾分布,例如均匀分布和正态分布,以及偏斜和重尾分布,例如指数分布、对数正态分布、柯西分布和帕累托分布。对于每一类分布,我们使用了多种参数化方式,主要关注尺度参数的变化。总共我们使用了 24 种不同的数据分布。图 1 展示了该集合中的一些示例采样分布。需要注意的是,我们对图表进行了截断,以移除极端异常值,这些异常值在柯西分布和对数正态分布中都存在。
图 1 - 示例度量采样分布
对于每种数据分布,我们评估了 14 种不同的样本规模,范围从 1000 到 500000。随后,对于每一组样本,我们分别计算了 AVG、COUNT、MEDIAN_ABSOLUTE_DEVIATION、MEDIAN、PERCENTILE([25, 75, 90, 95, 99])、SUM 和 STD_DEV,并在两个置信水平下进行评估:50% 和 90%。总共我们进行了大约 7500 个不同实验。
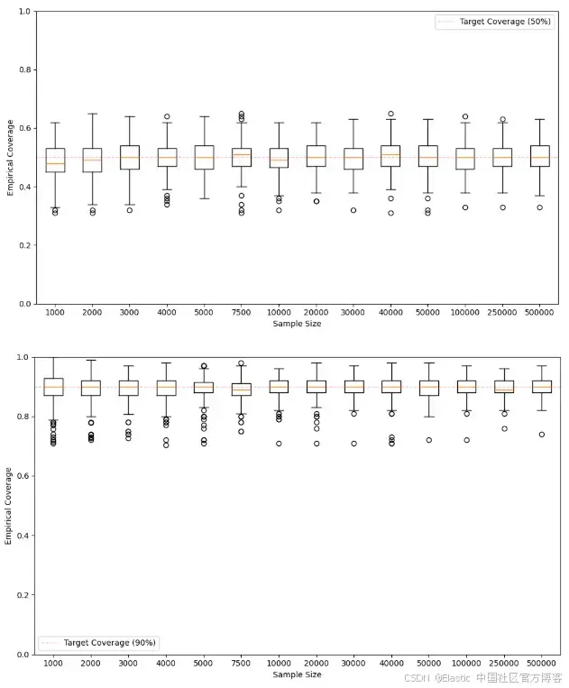
对于每个实验,我们通过 100 次运行来评估区间校准情况,并统计真实统计值落在置信区间内的次数。这使得我们得到一个二项分布的覆盖率(coverage)估计。我们预期的覆盖率波动会随着置信水平略有变化;例如,在 50% 置信水平下,我们主要观察到的值在 0.44 到 0.56 之间;在 90% 置信水平下,在 100 次试验中,我们主要观察到的值在 0.86 到 0.94 之间。
图 2 展示了所有实验在两个置信水平下的经验覆盖率箱线图。在所有情况下,置信区间的校准都相当良好。极端分位数在小样本情况下存在偏差,这会导致小样本时异常值数量增加。经验法则是,为了确保在相应尾部有足够样本,样本数量应大致满足
图 2 - 已认证结果中 50% 和 90% 置信区间的经验覆盖率
接下来,我们考察置信区间在多大程度上能够刻画估计误差的典型大小。为此,我们对所有已认证结果,计算"估计统计量误差"与"置信区间宽度的一半"的比值分布。置信度越高,区间越宽,因此不同置信水平会改变该分布的均值位置。图 3 展示了在 90% 置信区间下计算得到的该分布。
如预期所示,该分布大致呈正态形状,但在尾部存在一些较大的误差值。在所有情况下,我们都观察到置信区间的宽度能够正确反映估计统计量实际误差的数量级。
图 3 - 查询误差与已认证置信区间宽度的关系
我们已经证明已认证结果几乎总是可靠的;然而,我们也希望了解在未通过认证的结果中,有多少实际上仍然是可靠的,以确认该测试与我们的目标一致。这里我们将 "可靠" 定义为一个较强的含义:置信区间是校准良好的。具体而言,对于 50% 和 90% 的置信区间,我们统计那些未认证结果中,其置信区间经验校准在给定试验次数下仍处于可接受误差范围内的比例。
通过该方法,我们发现所有实验中的假阳性率约为 1%。这一结果与基于测试参数所预期的随机失败率高度一致,并验证了该测试背后的假设。
最后,为了更好地理解已认证与未认证结果之间的差异,图 4 分别展示了 "已认证" 和 "未认证" 结果中,估计统计误差与 90% 置信区间宽度一半的比值分布。需要注意的是,我们对未认证区间的范围进行了截断处理。
图 4 - 已认证与未认证置信区间下的查询误差分布
总结(Wrapping up)
在本文中,我们介绍了用于快速估计 ES|QL 查询并提供其误差提示的方法背景。为此,我们开发了一种有效的置信区间机制,使我们能够提供误差估计。该方法还允许我们通过其他 pipeline 操作,对由采样统计量推导出的量计算置信区间。与仅仅进行查询估计相比,误差量化的额外开销相对较小。最后,我们设计了一种统计测试来对返回结果进行认证。未通过认证的值仍然可能是准确的,但我们对其置信度较低。
除了在多种真实世界用例上测试该功能(我们在配套文章中进行了讨论)之外,我们还通过大规模模拟对误差估计进行了测试,覆盖了不同的数据特征、样本大小、聚合函数以及置信水平。这表明置信区间具有良好的校准性,并且区间本身能够很好地近似我们在估计中观察到的实际误差。最后,我们证明了可以以较低的假阴性率对区间进行认证。
我们计划在未来将该功能集成到 Elastic 技术栈的其他能力中,敬请期待。
原文:https://www.elastic.co/search-labs/blog/fast-approximate-esql-part-2