一、点乘运算
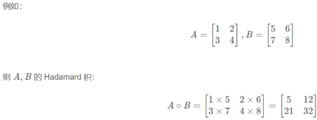
点乘指(Hadamard)的是相同形状的张量对应位置的元素相乘,使用mul 和运算符 * 实现。

python
# 1. 定义函数, 演示张量: 点乘
def dm01():
# 1. 定义张量, 2行3列.
t1 = torch.tensor([[1, 2, 3], [4, 5, 6]])
print(f't1: {t1}')
# 2. 定义张量, 2行3列.
t2 = torch.tensor([[1, 2, 3], [4, 5, 6]])
print(f't2: {t2}')
# 3. 演示 张量 点乘操作.
# t3 = t1 * t2
t3 = t1.mul(t2) # 效果同上.
# 4. 打印结果.
print(f't3: {t3}')
二、矩阵乘法运算
矩阵乘法运算要求第一个矩阵 shape: (n, m),第二个矩阵 shape: (m, p), 两个矩阵点积运算 shape 为: (n, p)。
1、运算符 @ 用于进行两个矩阵的乘积运算。
2、torch.matmul 对进行乘积运算的两矩阵形状没有限定。对于输入的 shape 不同的张量, 对应的最后几个维度必须符合矩阵运算规则。
python
# 2. 定义函数, 演示张量: 矩阵乘法
def dm02():
# 条件: A列=B行, 结果: A行B列
# 1. 定义张量, 2行3列.
t1 = torch.tensor([[1, 2, 3], [4, 5, 6]])
print(f't1: {t1}')
# 2. 定义张量, 3行2列.
t2 = torch.tensor([[1, 2], [3, 4], [5, 6]])
print(f't2: {t2}')
# 3. 演示 张量 矩阵乘法操作.
t3 = t1 @ t2
# t3 = t1.matmul(t2) # 效果同上, matrix multiply(矩阵乘法)
# 4. 打印结果.
print(f't3: {t3}')
# 5. 演示 dot()函数.
# t3 = t1.dot(t2) # 报错, dot() 只针对于一维张量有效.
t4 = torch.tensor([1, 2, 3])
t5 = torch.tensor([4, 5, 6])
t6 = t4.dot(t5)
print(f't6: {t6}')