本文涉及知识点
第一节 多元函数的基本概念
一、平面点集 *n维空间
当在平面引入直角坐标系后,平面上的点P与有序二元实数组(x,y)之间就建立了一一对应。我们常把有序实数数组(x,y)与平面上的点P视作等同的。及 R 2 = R × R ( x , y ) ∣ x , y ∈ R \R^2=\R\times \R{(x,y)|x,y\in \R} R2=R×R(x,y)∣x,y∈R
坐标平面上具有某种性质P的点的集合,称为平面点集,记作
E = ( x , y ) ∣ ( x , y ) 具有性质 P E={(x,y)|(x,y)具有性质P} E=(x,y)∣(x,y)具有性质P。
如:平面上以原点为圆心,r为半径的园内所有点的集合是:
C = ( x , y ) ∣ x 2 + y 2 < r 2 C={(x,y)|x^2+y^2<r^2} C=(x,y)∣x2+y2<r2
设 P 0 ( x 0 , y 0 ) P_0(x_0,y_0) P0(x0,y0)是xOy平面的一个点, δ \delta δ是某一正数。与点 P 0 ( x 0 , y 0 ) P_0(x_0,y_0) P0(x0,y0)距离小于 δ \delta δ的点P(x,y)的全体,称为点 P 0 的 δ 邻域 P_0的\delta邻域 P0的δ邻域,记作 U ( P 0 , δ ) U(P_0,\delta) U(P0,δ),即
U ( P 0 , δ ) = ( x , y ) ∣ ( x − x 0 ) 2 + ( y − y 0 ) 2 < δ U(P_0,\delta)={(x,y)|\sqrt{(x-x_0)^2+(y-y_0)^2}<\delta} U(P0,δ)=(x,y)∣(x−x0)2+(y−y0)2 <δ
去心邻域 U ˚ ( P 0 , δ ) = ( x , y ) ∣ 0 < ( x − x 0 ) 2 + ( y − y 0 ) 2 < δ 去心邻域\mathring{U}(P_0,\delta)={(x,y)|0<\sqrt{(x-x_0)^2+(y-y_0)^2}<\delta} 去心邻域U˚(P0,δ)=(x,y)∣0<(x−x0)2+(y−y0)2 <δ
在任意一点 P ∈ R 2 与任意一个点集 ⊂ R 2 , 必须有以下关系的一种 P\in R^2与任意一个点集\sub R^2,必须有以下关系的一种 P∈R2与任意一个点集⊂R2,必须有以下关系的一种。
(1)内点:如果存在点P的某个邻域 U ( P ) ,使得 U ( P ) ⊂ E ,那么称 P 为 E 的内点。 U(P),使得U(P)\sub E,那么称P为E的内点。 U(P),使得U(P)⊂E,那么称P为E的内点。
(2)外点:如果存在点P的某个邻域 U ( P ) ,使得 U ( P ) ∩ E = ∅ U(P),使得U(P) \cap E=\empty U(P),使得U(P)∩E=∅
(3) 边界点:如果点P的任意邻域都既有E的点,也有不属于E的点,则P是E的边界点。
E的内点必定属于E;E的外点必定不属于E;边界点,可能属于E,也可能不属于E。
E = ( x , y ) ∣ 2 < 到原点的距离 ≤ 3 E={(x,y)|2< 到原点的距离 \le 3} E=(x,y)∣2<到原点的距离≤3
到原点距离2的点是边界点,不属于E;到原点距离3的点是边界点,属于E。
聚点:如果对于任意给定 δ > 0 \delta >0 δ>0,点P的去心领域 U ˚ ( P , δ ) 内总有 E 中的点,那么 P 是 E 的聚点 \mathring U(P,\delta)内总有E中的点,那么P是E的聚点 U˚(P,δ)内总有E中的点,那么P是E的聚点。
内点一定是聚点,外点一定不是聚点。边界点可能是聚点,也可能不是。孤立点P的邻域中只有P属于E,去心邻域就没点属于E了。
开集:如果点集E的点都是E的内点,那么E是开集。即边界点全部不属于E。
闭集:边界点全部属于E。
连通集:如果点集E内任意两点,都可以通过折线连接起来,且折线的点都属于E,那么称E为连通集。
区域(开区域):连通的开集称为区域或开区域。
闭区域:开区域连同它的边界一起构成的点集称为闭区域。
有界集:对于平面点集E,如果存在某一正数r,使得:
E ⊂ U ( O , r ) E\sub U(O,r) E⊂U(O,r),其中O是坐标原点,那么称E为由界集。
无界集:一个集合如果不是有界集,就称这个集合为无界集。
二,多元函数的概念
定义1 设D是 R 2 R^2 R2的一个非空子集,称映射 f : D → R f:D\to R f:D→R为定义在D上的二元函数。通常记为:
z = f ( x , y ) , ( x , y ) ∈ D z=f(x,y),(x,y)\in D z=f(x,y),(x,y)∈D
或 z = f ( P ) , P ∈ D 或 z=f(P),P \in D 或z=f(P),P∈D
其中点集D称为该函数的定义域,x和y称为自变量,z称为因变量。
三,多元函数的极限
定义2 : 设二元函数f( P)=f(x,y)的定义域为D, P 0 ( x 0 , y 0 ) P_0(x_0,y_0) P0(x0,y0)是P的聚点。如果存在常数A,对于任意给定正数 ϵ \epsilon ϵ,总存在正数 δ , 使得当点 P ∈ U ˚ ( P 0 , δ ) \delta,使得当点P\in \mathring U(P_0,\delta) δ,使得当点P∈U˚(P0,δ)时,都有
∣ f ( P ) − A ∣ = ∣ f ( x , y ) − A ∣ < ϵ |f(P)-A|=|f(x,y)-A|<\epsilon ∣f(P)−A∣=∣f(x,y)−A∣<ϵ
我们把二元函数的极限叫做二重极限。
二重函数的极限存在,指P(x,y)以任何方式(不一定是直线)趋于 P ( x 0 , y 0 ) P(x_0,y_0) P(x0,y0)时,f(x,y)都无限接近A。
f ( x , y ) = { x y x 2 + y 2 , x 2 + y 2 ≠ 0 0 , x 2 + y 2 = 0 f(x,y)=\begin{cases} \frac{xy}{x^2+y^2},& x^2+y^2\neq 0\\ 0, x^2+y^2=0\\ \end{cases} f(x,y)={x2+y2xy,0,x2+y2=0x2+y2=0
沿着y=x,趋于(0,0)时:
lim ( x , y ) → ( 0 , 0 ) f ( x , y ) = x 2 x 2 + x 2 = 1 2 \lim\limits_{(x,y)\to(0,0)}f(x,y)=\frac {x^2}{x^2+x^2}=\frac 1 2 (x,y)→(0,0)limf(x,y)=x2+x2x2=21
沿着y=-x,趋于(0,0)时:
lim ( x , y ) → ( 0 , 0 ) f ( x , y ) = − x 2 x 2 + x 2 = − 1 2 \lim\limits_{(x,y)\to(0,0)}f(x,y)=\frac {-x^2}{x^2+x^2}=-\frac 1 2 (x,y)→(0,0)limf(x,y)=x2+x2−x2=−21
故二重极限不存在。
例5 : 求 lim ( x , y ) → ( 0 , 2 ) sin ( x y ) x \lim\limits_{(x,y)\to(0,2)}\frac{\sin(xy)}{x} (x,y)→(0,2)limxsin(xy)
解 :原式= lim ( x , y ) → ( 0 , 2 ) sin ( x y ) x y y = lim ( x , y ) → ( 0 , 2 ) y = 2 \lim\limits_{(x,y)\to(0,2)}\frac{\sin(xy)}{xy}y=\lim\limits_{(x,y)\to(0,2)}y=2 (x,y)→(0,2)limxysin(xy)y=(x,y)→(0,2)limy=2
四,多元函数的连续性
定义3 设二元函数f§=f(x,y)的定义域为D, P 0 ( x 0 , y 0 ) 为 D 的聚点,且 P 0 ∈ D P_0(x_0,y_0)为D的聚点,且P_0\in D P0(x0,y0)为D的聚点,且P0∈D。如果 lim ( x , y ) → ( x 0 , y 0 ) f ( x , y ) = f ( x 0 , y 0 ) \lim\limits_{(x,y)\to(x_0,y_0)}f(x,y)=f(x_0,y_0) (x,y)→(x0,y0)limf(x,y)=f(x0,y0)
定义4 设函数f(x,y)的定义域为D, P 0 ( x 0 , y 0 ) P_0(x_0,y_0) P0(x0,y0)是D的聚点,如果函数f(x,y)在点 P 0 ( x , y ) P_0(x,y) P0(x,y)不连续,那么 P 0 ( x 0 , y 0 ) 为函数 f ( x , y ) 的间断点。 P_0(x_0,y_0)为函数f(x,y)的间断点。 P0(x0,y0)为函数f(x,y)的间断点。
例8 求 lim ( x , y ) → ( 0 , 0 ) x y + 1 − 1 x y \lim\limits_{(x,y)\to(0,0)}\frac{\sqrt{xy+1}-1}{xy} (x,y)→(0,0)limxyxy+1 −1
分子分母都是乘以 x y + 1 + 1 \sqrt{xy+1}+1 xy+1 +1,原式= lim ( x , y ) → ( 0 , 0 ) x y + 1 − 1 x y ( x y + 1 + 1 ) \lim\limits_{(x,y)\to(0,0)}\frac{xy+1-1}{xy(\sqrt{xy+1}+1)} (x,y)→(0,0)limxy(xy+1 +1)xy+1−1
= lim ( x , y ) → ( 0 , 0 ) 1 x y + 1 + 1 \lim\limits_{(x,y)\to(0,0)}\frac 1{\sqrt{xy+1}+1} (x,y)→(0,0)limxy+1 +11
= 1 2 \frac 1 2 21
性质1(有界性与最大值最小值定理) :在有界闭区域D上的多元连续函数,必定在D上有界,且能取得最大值最小值。
性质2(介质定理) :在有界闭区域D上的多元连续函数必取得介于最大值最小值之间的任意值。
性质3(一致连续性定理):在有界闭区域D上的多元连续函数必定在D上一致性连续。
第二节 偏导数
一、偏导数的定义及其计算方法
定义 :设函数z=f(x,y)在点 ( x 0 , y 0 ) (x_0,y_0) (x0,y0)的某一邻域内有定义,当y固定在 y 0 y_0 y0时,而 x 在 x 0 处有增量 Δ x在x_0处有增量\Delta x在x0处有增量Δ时,如果
lim Δ x → 0 f ( x 0 + Δ x , y 0 ) − f ( x 0 , y 0 ) Δ x \lim\limits_{\Delta x \to 0}\frac{f(x_0+\Delta x,y_0)-f(x_0,y_0)}{\Delta x} Δx→0limΔxf(x0+Δx,y0)−f(x0,y0)
存在,那么称此极限为函数z=f(x,y)处对x的偏导数。
∂ z ∂ x ∣ x 0 , y 0 , ∂ f ∂ x ∣ x 0 , y 0 , z x ∣ ( x 0 , y 0 ) \frac{\partial z}{\partial x}\bigg|{x0,y0},\frac{\partial f}{\partial x}\bigg|{x0,y0},z_x\bigg|_{(x_0,y_0)} ∂x∂z x0,y0,∂x∂f x0,y0,zx (x0,y0)
f x ( x 0 , y 0 ) f_x(x_0,y_0) fx(x0,y0)
如果一元函数在某点具有导数,那么它在该点必定连续。对于多元函数,即使某点各偏导数都存在,也不能保证函数在该点连续。
二、高阶偏导数
设函数z=f(x,y)在区域D内具有偏导数
∂ z ∂ x = f x ( x , y ) , ∂ z ∂ y = f y ( x , y ) \frac{\partial z}{\partial x}=f_x(x,y),\frac{\partial z}{\partial y}=f_y(x,y) ∂x∂z=fx(x,y),∂y∂z=fy(x,y)
于是在D内 f x ( x , y ) , f y ( x , y ) f_x(x,y),f_y(x,y) fx(x,y),fy(x,y)都是x,y的函数。如果他们的偏导数也存在,则称它们是z=f(x,y)的二阶偏导数。按对变量求导的次序不同,共有四个二阶偏导数:
∂ ∂ x ( ∂ z ∂ x ) , ∂ ∂ y ( ∂ z ∂ x ) \frac{\partial}{\partial x}(\frac{\partial z}{\partial x}),\frac{\partial}{\partial y}(\frac{\partial z}{\partial x}) ∂x∂(∂x∂z),∂y∂(∂x∂z)
∂ ∂ x ( ∂ z ∂ y ) , ∂ ∂ y ( ∂ z ∂ y ) \frac{\partial}{\partial x}(\frac{\partial z}{\partial y}),\frac{\partial}{\partial y}(\frac{\partial z}{\partial y}) ∂x∂(∂y∂z),∂y∂(∂y∂z)
其中第二个和第三个是混合偏导数,同理可得三阶、四阶 ⋯ \cdots ⋯n阶偏导数。
定理 如果函数z=f(x,y)得两个二阶混合偏导数 ∂ 2 z ∂ y ∂ x , ∂ 2 z ∂ x ∂ y \frac{\partial^2 z}{\partial y \partial x},\frac{\partial^2 z}{\partial x \partial y} ∂y∂x∂2z,∂x∂y∂2z在区域D内连续,那么在改区域内这两个二阶混合偏导数必定相等。
三、全微分
f ( x + Δ x , y ) − f ( x , y ) ≈ f x ( x , y ) Δ x f(x+\Delta x,y)-f(x,y) \approx f_x(x,y)\Delta x f(x+Δx,y)−f(x,y)≈fx(x,y)Δx
f ( x , y + Δ y ) − f ( x , y ) ≈ f y ( x , y ) Δ y f(x,y+\Delta y)-f(x,y) \approx f_y(x,y) \Delta y f(x,y+Δy)−f(x,y)≈fy(x,y)Δy
上面两式的左端分别叫做二元函数对x和对y的偏增量,而右段分别叫二元函数对x和对y的偏微分。
定义 设函数z=f(x,y)在点(x,y)的某邻域内有定义,如果函数在点(x,y)的全增量:
Δ x = f ( x + Δ x , y + Δ y ) − f ( x , y ) \Delta x=f(x+\Delta x,y+\Delta y)-f(x,y) Δx=f(x+Δx,y+Δy)−f(x,y)
可表示为:
Δ z = A Δ x + B Δ y + o ( p ) \Delta z=A\Delta x+B \Delta y+o(p) Δz=AΔx+BΔy+o(p)
其中A,B不依赖于 Δ x , Δ y \Delta x,\Delta y Δx,Δy,仅与x和y有关,p= ( Δ x ) 2 + ( Δ y ) 2 \sqrt{(\Delta x)^2+(\Delta y)^2} (Δx)2+(Δy)2 。那么称函数z=f(x,y)在点(x,y)处可微分,而 A Δ x + B Δ y A \Delta x+B \Delta y AΔx+BΔy称为函数z=f(x,y)在点(x,y)的全微分,记作dz,即:
d x = A Δ x + B Δ y dx=A\Delta x + B \Delta y dx=AΔx+BΔy
定理1(必要条件) 如果函数z=f(x,y)在点(x,y)可微分,那么函数在点(x,y)的偏导数 ∂ z ∂ x , ∂ z ∂ y \frac {\partial z}{\partial x},\frac {\partial z}{\partial y} ∂x∂z,∂y∂z必定存在,且函数z=f(x,y)在点(x,y)的全微分为:
d z = ∂ z ∂ x Δ x + ∂ z ∂ y Δ y dz=\frac {\partial z}{\partial x}\Delta x+\frac {\partial z}{\partial y}\Delta y dz=∂x∂zΔx+∂y∂zΔy
定理2(充分条件) :如果函数z=f(x,y)的偏导数 ∂ z ∂ x , ∂ z ∂ y \frac {\partial z}{\partial x},\frac {\partial z}{\partial y} ∂x∂z,∂y∂z在点(x,y)处连续,那么函数在该点可微分。
第四节 多元复合函数的求导法则
1,一元函数与多元函数复合的情形
定理1 如果函数 u = ϕ ( t ) 及 v = ψ ( t ) u=\phi(t)及v=\psi(t) u=ϕ(t)及v=ψ(t)都在点t可导,函数z=f(u,v)在对应点(u,v)具有连续偏导数,那么复合函数 z = f [ ϕ ( t ) , ψ ( t ) ] z=f[\phi(t),\psi(t)] z=f[ϕ(t),ψ(t)]在点t可导,且有
d z d t = ∂ z ∂ u d u d t + ∂ z ∂ v d v d t \frac {dz}{dt}=\frac{\partial z}{\partial u}\frac{du}{dt}+\frac{\partial z}{\partial v}\frac{dv}{dt} dtdz=∂u∂zdtdu+∂v∂zdtdv
2,多元函数与多元函数复合的情形
定理2 如果函数 u = ϕ ( x , y ) 及 v = ψ ( x , y ) 都在点 ( x , y ) 具有对 x 及对 y 的偏导数,函数 z = f ( u , v ) 在对应点 ( u , v ) 具有连续偏导数,那么复合函数 z = f [ ϕ ( x , y ) , ψ ( x , y ) ] u=\phi(x,y)及v=\psi(x,y)都在点(x,y)具有对x及对y的偏导数,函数z=f(u,v)在对应点(u,v)具有连续偏导数,那么复合函数z=f[\phi(x,y),\psi(x,y)] u=ϕ(x,y)及v=ψ(x,y)都在点(x,y)具有对x及对y的偏导数,函数z=f(u,v)在对应点(u,v)具有连续偏导数,那么复合函数z=f[ϕ(x,y),ψ(x,y)]在点(x,y)的两个偏导数对存在,且有
∂ z ∂ x = ∂ z ∂ u ∂ u ∂ x + ∂ z ∂ v ∂ v ∂ x \frac{\partial z}{\partial x}=\frac{\partial z}{\partial u}\frac{\partial u}{\partial x}+\frac{\partial z}{\partial v}\frac{\partial v}{\partial x} ∂x∂z=∂u∂z∂x∂u+∂v∂z∂x∂v
∂ z ∂ y = ∂ z ∂ u ∂ u ∂ y + ∂ z ∂ v ∂ v ∂ y \frac{\partial z}{\partial y}=\frac{\partial z}{\partial u}\frac{\partial u}{\partial y}+\frac{\partial z}{\partial v}\frac{\partial v}{\partial y} ∂y∂z=∂u∂z∂y∂u+∂v∂z∂y∂v
类似地,设 u = ϕ ( x , y ) , v = ψ ( x , y ) , w = ω ( x , y ) u=\phi(x,y),v=\psi(x,y),w=\omega(x,y) u=ϕ(x,y),v=ψ(x,y),w=ω(x,y)都在点(x,y)具有对x及对y的偏导数,函数z=f(u,v,w)在对应点(u,v,w)具有连续偏导数,则复合函数 z = f [ ϕ ( x , y ) , ψ ( x , y ) , ω ( x , y ) ] z=f[\phi(x,y),\psi(x,y),\omega(x,y)] z=f[ϕ(x,y),ψ(x,y),ω(x,y)]
在点(x,y)的两个偏导数都存在,且可以用下列公式计算:
∂ z ∂ x = ∂ z ∂ u ∂ u ∂ x + ∂ z ∂ v ∂ v ∂ x + ∂ z ∂ w ∂ w ∂ x \frac{\partial z}{\partial x}=\frac{\partial z}{\partial u}\frac{\partial u}{\partial x}+\frac{\partial z}{\partial v}\frac{\partial v}{\partial x}+\frac{\partial z}{\partial w}\frac{\partial w}{\partial x} ∂x∂z=∂u∂z∂x∂u+∂v∂z∂x∂v+∂w∂z∂x∂w
3,其它情形
定理3 如果函数 u = ϕ ( x , y ) u=\phi(x,y) u=ϕ(x,y)在点(x,y)具有对x及对y的偏导数,函数 u = ψ ( y ) u=\psi(y) u=ψ(y)在点y可导,函数z=f(u,v)在对应点(u,v)处有连续偏导数,那么函数在点(x,y)的两个偏导数都存在,且有:
∂ z ∂ x = ∂ z ∂ u ∂ u ∂ x \frac{\partial z}{\partial x}=\frac{\partial z}{\partial u}\frac{\partial u}{\partial x} ∂x∂z=∂u∂z∂x∂u
y的偏导数和定理2相同。
可以这样理解,v函数和x无关,故 ∂ v ∂ x = 0 \frac{\partial v}{\partial x}=0 ∂x∂v=0。
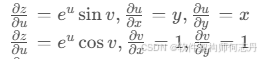
例子1 :设z= e u sin v e^u\sin v eusinv,而u=xy,v=x+y,求x,y的偏导数。
∂ z ∂ u = e u sin v , ∂ u ∂ x = y , ∂ u ∂ y = x \frac{\partial z}{\partial u}=e^u\sin v,\frac{\partial u}{\partial x}=y,\frac{\partial u}{\partial y}=x ∂u∂z=eusinv,∂x∂u=y,∂y∂u=x
∂ z ∂ u = e u cos v , ∂ v ∂ x = 1 , ∂ v ∂ y = 1 \frac{\partial z}{\partial u}=e^u\cos v,\frac{\partial v}{\partial x}=1,\frac{\partial v}{\partial y}=1 ∂u∂z=eucosv,∂x∂v=1,∂y∂v=1
∂ z ∂ x = e u sin v y + e u cos v × 1 = e x + y ( y sin ( x + y ) + cos ( x + y ) ) \frac{\partial z}{\partial x}=e^u\sin v y+e^u\cos v \times 1=e^{x+y}(y \sin(x+y)+\cos(x+y)) ∂x∂z=eusinvy+eucosv×1=ex+y(ysin(x+y)+cos(x+y))
∂ z ∂ y = e u sin v x + e u cos v × 1 = e x + y ( x sin ( x + y ) + cos ( x + y ) ) \frac{\partial z}{\partial y}=e^u\sin v x + e^u \cos v \times 1=e^{x+y}(x\sin(x+y)+\cos(x+y)) ∂y∂z=eusinvx+eucosv×1=ex+y(xsin(x+y)+cos(x+y))
例子2 :设u=f(x,y,z)= e x 2 + y 2 + z 2 e^{x^2+y^2+z^2} ex2+y2+z2,而z= x 2 sin y x^2\sin y x2siny,求 ∂ u ∂ x 和 ∂ u ∂ y \frac{\partial u}{\partial x}和\frac{\partial u}{\partial y} ∂x∂u和∂y∂u
解 : ∂ u ∂ x = e x 2 + y 2 + z 2 2 x \frac{\partial u}{\partial x}=e^{x^2+y^2+z^2}2x ∂x∂u=ex2+y2+z22x
∂ u ∂ y = e x 2 + y 2 + z 2 2 y \frac{\partial u}{\partial y}=e^{x^2+y^2+z^2}2y ∂y∂u=ex2+y2+z22y
∂ u ∂ y = e x 2 + y 2 + z 2 2 z \frac{\partial u}{\partial y}=e^{x^2+y^2+z^2}2z ∂y∂u=ex2+y2+z22z
∂ z ∂ x = 2 x sin y \frac{\partial z}{\partial x}=2x\sin y ∂x∂z=2xsiny
∂ z ∂ y = x 2 cos y \frac{\partial z}{\partial y}=x^2\cos y ∂y∂z=x2cosy
∂ u ∂ x = 2 x e x 2 + y 2 + z 2 + 2 z e x 2 + y 2 + z 2 2 x sin y = 2 x ( 1 + 2 x 2 sin 2 y ) e x 2 + y 2 + x 4 sin 2 y \frac{\partial u}{\partial x}=2xe^{x^2+y^2+z^2}+2ze^{x^2+y^2+z^2}2x\sin y=2x(1+2x^2\sin^2 y)e^{x^2+y^2+x^4\sin^2y} ∂x∂u=2xex2+y2+z2+2zex2+y2+z22xsiny=2x(1+2x2sin2y)ex2+y2+x4sin2y
全微分形式不变性 设函数z=f(u,v)具有连续偏导数,则有全微分 d z = ∂ z ∂ u d u + ∂ z ∂ v d v dz=\frac{\partial z}{\partial u}du+\frac{\partial z}{\partial v}dv dz=∂u∂zdu+∂v∂zdv
如果u和v又是中间变量,即 u = ϕ ( x , y ) , v = ψ ( x , y ) u=\phi(x,y),v=\psi(x,y) u=ϕ(x,y),v=ψ(x,y)且这两个函数具有连续偏导数,那么复合函数
z = f [ ϕ ( x , y ) , ψ ( x , y ) ] z=f[\phi(x,y),\psi(x,y)] z=f[ϕ(x,y),ψ(x,y)]
那么全微分位:
d z = ∂ z ∂ x d x + ∂ z ∂ y d y dz=\frac{\partial z}{\partial x}dx+\frac{\partial z}{\partial y}dy dz=∂x∂zdx+∂y∂zdy
例6 :利用全微分形式不变性,解例1。

d u = y d x + x d y , d v = d x + d y du=ydx+xdy,dv=dx+dy du=ydx+xdy,dv=dx+dy
d z = e u sin v ( y d x + x d y ) + e u cos v ( d x + d y ) dz=e^u\sin v(ydx+xdy)+e^u\cos v(dx+dy) dz=eusinv(ydx+xdy)+eucosv(dx+dy)
d z = ( y e u sin v + e u cos y ) d x + ( x e u sin v + e u cos v ) dz=( ye^u \sin v+e^u \cos y)dx + (xe^u \sin v+e^u \cos v) dz=(yeusinv+eucosy)dx+(xeusinv+eucosv)
结果和例1相同。
第五解 隐函数的求导公式
一,一个方程的情形
隐函数存在定理1 设函数F(x,y)在点 P ( x 0 , y 0 ) 的某一邻域内具有连续偏导数,且 F ( x 0 , y 0 ) = 0 , F y ( x 0 , y 0 ) ≠ 0 ,则方程 F ( x , y ) = 0 在点 ( x 0 , y 0 ) 的某一邻域内恒能唯一确定一个连续且有连续导数的函数 y = f ( x ) ,它满足条件 y 0 = f ( x 0 ) ,并有 P(x_0,y_0)的某一邻域内具有连续偏导数,且F(x_0,y_0)=0,F_y(x_0,y_0)\neq 0,则方程F(x,y)=0在点(x_0,y_0)的某一邻域内恒能唯一确定一个连续且有连续导数的函数y=f(x),它满足条件y_0=f(x_0),并有 P(x0,y0)的某一邻域内具有连续偏导数,且F(x0,y0)=0,Fy(x0,y0)=0,则方程F(x,y)=0在点(x0,y0)的某一邻域内恒能唯一确定一个连续且有连续导数的函数y=f(x),它满足条件y0=f(x0),并有
d y d x = − F x F y \frac {dy}{dx}=-\frac{F_x}{F_y} dxdy=−FyFx 隐函数求导公式
例1 :验证方程 x 2 + y 2 − 1 = 0 x^2+y^2-1=0 x2+y2−1=0在点(0,1)的某一邻域内能唯一确定一个连续导数,当x=0,y=1时的隐函数y=f(x),并求这函数的一阶与二阶导数在x=0的值。
解 : F x = 2 x , F y = 2 y → y = f ( x ) 的一阶导数: − x y F_x=2x,F_y=2y \to y=f(x)的一阶导数:-\frac x y Fx=2x,Fy=2y→y=f(x)的一阶导数:−yx其在(0,1)的值为:0。
根据导数的除法法则: d ( − x ÷ y ) d x = − ( x ′ ) y − x y ′ y 2 = x y ′ − y y 2 = − x 2 + y 2 y 3 \frac {d(-x \div y)}{dx}=-\frac {(x')y-xy'}{y^2}=\frac{xy'-y}{y^2}=-\frac{x^2+y^2}{y^3} dxd(−x÷y)=−y2(x′)y−xy′=y2xy′−y=−y3x2+y2
= 1 y 3 \frac 1 {y^3} y31 因为 x 2 + y 2 − 1 = 0 x^2+y^2-1=0 x2+y2−1=0
在(0,1)处,其二阶导数为-1。
隐函数存在定理2 : 设函数 F ( x , y , z ) 在点 P ( x 0 , y 0 , z 0 ) 的某一邻域内具有连续偏导数,且 F ( x 0 , y 0 , z 0 ) = 0 ,且 F z ( x 0 , y 0 , z 0 ) ≠ 0 ,则方程 F ( x , y , z ) = 0 ,在点 ( x 0 , y 0 , z 0 ) 的某一邻域内恒能唯一确定一个连续且具有连续偏导数的函数 z = f ( x , y ) ,它满足条件 z 0 = f ( x 0 , y 0 ) ,并有 设函数F(x,y,z)在点P(x_0,y_0,z_0)的某一邻域内具有连续偏导数,且F(x_0,y_0,z_0)=0,且F_z(x_0,y_0,z_0)\neq 0,则方程F(x,y,z)=0,在点(x_0,y_0,z_0)的某一邻域内恒能唯一确定一个连续且具有连续偏导数的函数z=f(x,y),它满足条件z_0=f(x_0,y_0),并有 设函数F(x,y,z)在点P(x0,y0,z0)的某一邻域内具有连续偏导数,且F(x0,y0,z0)=0,且Fz(x0,y0,z0)=0,则方程F(x,y,z)=0,在点(x0,y0,z0)的某一邻域内恒能唯一确定一个连续且具有连续偏导数的函数z=f(x,y),它满足条件z0=f(x0,y0),并有
∂ z ∂ x = − F x F z , ∂ z ∂ y = − F y F z \frac{\partial z}{\partial x}=-\frac{F_x}{F_z},\frac {\partial z}{\partial y}=-\frac{F_y}{F_z} ∂x∂z=−FzFx,∂y∂z=−FzFy
方程组的情况
隐函数存在定理3 : 设 F ( x , y , u , v ) , G ( x , y , u , v ) 在点 P ( x 0 , y 0 , u 0 , v 0 ) 的某一邻域内具有对各各变量的连续偏导数,又 F ( x 0 , y 0 , u 0 , v 0 ) = 0 , G ( x 0 , y 0 , u 0 , v 0 ) = 0 , 且偏导数组成的函数行列式(雅可比行列式 ) 设F(x,y,u,v),G(x,y,u,v)在点P(x_0,y_0,u_0,v_0)的某一邻域内具有对各各变量的连续偏导数,又F(x_0,y_0,u_0,v_0)=0,G(x_0,y_0,u_0,v_0)=0,且偏导数组成的函数行列式(雅可比行列式) 设F(x,y,u,v),G(x,y,u,v)在点P(x0,y0,u0,v0)的某一邻域内具有对各各变量的连续偏导数,又F(x0,y0,u0,v0)=0,G(x0,y0,u0,v0)=0,且偏导数组成的函数行列式(雅可比行列式)
J = ∂ ( F , G ) ∂ ( u , v ) J=\frac{\partial(F,G)}{\partial(u,v)} J=∂(u,v)∂(F,G)
在点P ( x 0 , y 0 , u 0 , v 0 ) (x_0,y_0,u_0,v_0) (x0,y0,u0,v0)的某一邻域内恒能唯一确定一组具有连续偏导数的函数u=u(x,y),v=v(x,y),它们满足条件 u 0 = u ( x 0 , y 0 ) , v 0 = v ( x 0 , y 0 ) u_0=u(x_0,y_0),v_0=v(x_0,y_0) u0=u(x0,y0),v0=v(x0,y0)并有
∂ u ∂ x = − 1 J ∂ ( F , G ) ∂ ( x , v ) = − ∣ F x F v G x G v ∣ ∣ F u F v G u G v ∣ \frac{\partial u}{\partial x}=-\frac 1 J \frac{\partial (F,G)}{\partial (x,v)}=-\frac{\begin{vmatrix} F_x & F_v \\ G_x & G_v \end{vmatrix}}{\begin{vmatrix} F_u & F_v \\ G_u & G_v \end{vmatrix}} ∂x∂u=−J1∂(x,v)∂(F,G)=− FuGuFvGv FxGxFvGv
∂ v ∂ x = − 1 J ∂ ( F , G ) ∂ ( u , x ) = − ∣ F u F x G u G x ∣ ∣ F u F v G u G v ∣ \frac{\partial v}{\partial x}=-\frac 1 J \frac{\partial (F,G)}{\partial (u,x)}=-\frac{\begin{vmatrix} F_u & F_x \\ G_u & G_x \end{vmatrix}}{\begin{vmatrix} F_u & F_v \\ G_u & G_v \end{vmatrix}} ∂x∂v=−J1∂(u,x)∂(F,G)=− FuGuFvGv FuGuFxGx
∂ u ∂ y = − 1 J ∂ ( F , G ) ∂ ( y , v ) = − ∣ F y F v G y G v ∣ ∣ F u F v G u G v ∣ \frac{\partial u}{\partial y}=-\frac 1 J \frac{\partial (F,G)}{\partial (y,v)}=-\frac{\begin{vmatrix} F_y & F_v \\ G_y & G_v \end{vmatrix}}{\begin{vmatrix} F_u & F_v \\ G_u & G_v \end{vmatrix}} ∂y∂u=−J1∂(y,v)∂(F,G)=− FuGuFvGv FyGyFvGv
∂ v ∂ y = − 1 J ∂ ( F , G ) ∂ ( u , y ) = − ∣ F u F y G u G y ∣ ∣ F u F v G u G v ∣ \frac{\partial v}{\partial y}=-\frac 1 J \frac{\partial (F,G)}{\partial (u,y)}=-\frac{\begin{vmatrix} F_u & F_y \\ G_u & G_y \end{vmatrix}}{\begin{vmatrix} F_u & F_v \\ G_u & G_v \end{vmatrix}} ∂y∂v=−J1∂(u,y)∂(F,G)=− FuGuFvGv FuGuFyGy
例3 :设函数xu-yv=0,yu+xv=1,求 ∂ u ∂ x , ∂ u ∂ y , ∂ v ∂ x , ∂ v ∂ y \frac{\partial u}{\partial x},\frac{\partial u}{\partial y},\frac{\partial v}{\partial x},\frac{\partial v}{\partial y} ∂x∂u,∂y∂u,∂x∂v,∂y∂v
F x = u , F y = − v , F u = x , F v = − y F_x=u,F_y=-v,F_u=x,F_v=-y Fx=u,Fy=−v,Fu=x,Fv=−y
G x = v , G y = u , G u = y , G v = x G_x=v,G_y=u,G_u=y,G_v=x Gx=v,Gy=u,Gu=y,Gv=x
J = ∣ F u F v G u G v ∣ = J = ∣ x − y y x ∣ = x 2 + y 2 J={\begin{vmatrix} F_u & F_v \\ G_u & G_v \end{vmatrix}}=J={\begin{vmatrix} x & -y \\ y & x \end{vmatrix}}=x^2+y^2 J= FuGuFvGv =J= xy−yx =x2+y2
∂ u ∂ x = ∣ F x F v G x G v ∣ ÷ ( − J ) = ∣ u − y v x ∣ ÷ − J = − u x + v y x 2 + y 2 \frac{\partial u}{\partial x}={\begin{vmatrix} F_x & F_v \\ G_x & G_v \end{vmatrix}} \div(-J)={\begin{vmatrix} u & -y \\ v & x \end{vmatrix}} \div {-J}=-\frac{ux+vy}{x^2+y^2} ∂x∂u= FxGxFvGv ÷(−J)= uv−yx ÷−J=−x2+y2ux+vy
其它三个偏导数类似。
∣ F u F x G u G x ∣ = ∣ x u y v ∣ = x v − y u {\begin{vmatrix} F_u & F_x \\ G_u & G_x \end{vmatrix}}={\begin{vmatrix} x &u \\ y & v \end{vmatrix}}=xv-yu FuGuFxGx = xyuv =xv−yu
第六节 多元函数微分学的几何应用
一元向量函数及其导数
定义1 设数集 D ⊂ R D \sub \R D⊂R,则称映射 f : D → R n f:D\to \R^n f:D→Rn为一元向量值函数,通常记为 r = f ( t ) , t ∈ D r=f(t),t\in D r=f(t),t∈D
其中数集D称为函数的定义域,t称为自变量,r称为因变量
为简单起见,将一元向量值函数简称为像向量值函数,并把普通的实值函数称为数量函数。
定义2 设向量值函数f(t)在点 t 0 t_0 t0的某一去心邻域内有定义,如果存在一个长向量 r 0 r_0 r0,对于任意给定的正数 ϵ \epsilon ϵ,总存在正数 δ \delta δ,使得当t满足0 <|t-t0|< δ \delta δ时,对应的函数值f(t)都满足不等式 ∣ f ( t ) − r 0 ∣ < ϵ |f(t)-r_0|<\epsilon ∣f(t)−r0∣<ϵ。
那么常量 r 0 就叫做向量值函数 f ( t ) 当 t → t 0 时的极限 r_0就叫做向量值函数f(t)当t \to t_0时的极限 r0就叫做向量值函数f(t)当t→t0时的极限,记作:
lim t → t 0 f ( t ) = r 0 或 f ( t ) → t 0 , t → t 0 \lim\limits_{t \to t0}f(t)=r_0 或f(t)\to t_0,t \to t_0 t→t0limf(t)=r0或f(t)→t0,t→t0。
易证: lim t → t 0 f ( t ) = ( lim t → t 0 f 1 ( t ) , lim t → t 0 f 2 ( t ) , lim t → t 0 f 3 ( t ) ) \lim\limits_{t\to t_0}f(t)=(\lim\limits_{t\to t_0}f_1(t),\lim\limits_{t\to t_0}f_2(t),\lim\limits_{t\to t_0}f_3(t)) t→t0limf(t)=(t→t0limf1(t),t→t0limf2(t),t→t0limf3(t))
定义3 : 设向量值函数r=f(t)在点 t 0 t_0 t0的某一邻域内有定义,如果
lim Δ t → 0 Δ r Δ t = lim Δ t → 0 f ( t 0 + Δ t ) − f ( t 0 ) Δ t \lim\limits_{\Delta t \to 0}\frac {\Delta r}{\Delta t}=\lim\limits_{\Delta t \to 0} \frac{f(t_0+\Delta t)-f(t_0)}{\Delta t} Δt→0limΔtΔr=Δt→0limΔtf(t0+Δt)−f(t0)
存在,那么就称为这个极限向量为向量值函数r=f(t)在 t 0 t_0 t0处的导数或导向量,记作 f ′ ( t 0 ) 或 d r d t ∣ t = t 0 f'(t_0)或\frac {dr}{dt}|_{t=t_0} f′(t0)或dtdr∣t=t0
空间曲线的切线和法平面
设空间曲线 Γ \Gamma Γ的参数方程为:
{ x = ϕ ( t ) y = ψ ( t ) , t ∈ [ α , β ] z = ω ( t ) \begin{cases} x=\phi(t) \\ y=\psi(t),t\in [\alpha,\beta]\\ z=\omega(t)\\ \end{cases} ⎩ ⎨ ⎧x=ϕ(t)y=ψ(t),t∈[α,β]z=ω(t)
参数方程的三个函数在 [ α , β ] [\alpha,\beta] [α,β]上可导,且三个导数不同时为0。
切向量: T = ( ϕ ′ ( t ) , ψ ′ ( t ) , ω ′ ( t ) ) T=(\phi'(t),\psi'(t),\omega'(t)) T=(ϕ′(t),ψ′(t),ω′(t))
切线方程为: x − x 0 ϕ ′ ( t 0 ) = y − y 0 ψ ′ ( t 0 ) = z − z 0 ω ′ ( t 0 ) \frac{x-x_0}{\phi'(t_0)}=\frac{y-y_0}{\psi'(t_0)}=\frac{z-z_0}{\omega'(t_0)} ϕ′(t0)x−x0=ψ′(t0)y−y0=ω′(t0)z−z0
法平面方程: ϕ ′ ( t 0 ) ( x − x 0 ) + ψ ′ ( t 0 ) ( y − y 0 ) + ω ′ ( t 0 ) ( z − z 0 ) = 0 \phi'(t_0)(x-x_0)+\psi'(t_0)(y-y_0)+\omega'(t_0)(z-z_0)=0 ϕ′(t0)(x−x0)+ψ′(t0)(y−y0)+ω′(t0)(z−z0)=0
例5 :求曲线 x 2 + y 2 + z 2 = 6 , x + y + z = 0 x^2+y^2+z^2=6,x+y+z=0 x2+y2+z2=6,x+y+z=0在点(1,-2,1)处的切线及法平面方程。
解 :各式子对x求导,
2 x + 2 y y ′ + 2 z z ′ = 0 , 1 + y ′ + z ′ = 0 2x+2yy'+2zz'=0,1+y'+z'=0 2x+2yy′+2zz′=0,1+y′+z′=0
利用克莱姆法则解二元一次方程组,得:
y'= z − x y − z , z ′ = x − y y − z \frac{z-x}{y-z},z'=\frac{x-y}{y-z} y−zz−x,z′=y−zx−y
故切向量为: ( 1 , 0 , − 1 ) (1,0,-1) (1,0,−1)
故切线方程为: y = − 2 , x − 1 1 = z − 1 − 1 y=-2,\frac{x-1}{1}=\frac{z-1}{-1} y=−2,1x−1=−1z−1
法平面= ( x − 1 ) − ( z − 1 ) = 0 (x-1)-(z-1)=0 (x−1)−(z−1)=0
如果用 α , β , γ \alpha,\beta,\gamma α,β,γ表示曲面得法向量得方向角,并假定法向量得方向是向上得,及它与轴的正方形夹角是锐角,那么法向量的方向余弦是:
cos α = − f x 1 + f x 2 + f y 2 , cos β = − f y 1 + f x 2 + f y 2 , cos γ = 1 1 + f x 2 + f y 2 \cos \alpha=\frac{-f_x}{\sqrt {1+f^2_x+f^2_y}},\cos \beta=\frac{-f_y}{\sqrt {1+f^2_x+f^2_y}},\cos\gamma=\frac{1}{\sqrt {1+f^2_x+f^2_y}} cosα=1+fx2+fy2 −fx,cosβ=1+fx2+fy2 −fy,cosγ=1+fx2+fy2 1
例6 :求球面 x 2 + y 2 + z 2 = 14 x^2+y^2+z^2=14 x2+y2+z2=14在点(1,2,3)的切平面及法线平面方程。
解 :切线为:(2x,2y,2z)即(x,y,z)。后面的从略。
例7 :求抛物面 z = x 2 + y 2 − 1 z=x^2+y^2-1 z=x2+y2−1在点(2,1,4)处的切平面及法线方程。
解 :即 x 2 + y 2 − z − 1 = 0 x^2+y^2-z-1=0 x2+y2−z−1=0,根据偏导数取切线为:(2x,2y,-1),即切线为(4,2,-1)后面的从略。
第七节 方向导数与梯度
一、方向导数
当P沿着l趋于 P 0 P_0 P0时的极限存在,那么称此极限为函数f(x,y)在点 P 0 P_0 P0沿着方向l的方向导数,记作 ∂ f ∂ l ∣ x 0 , y 0 = lim t → 0 + f ( x 0 + t cos α , y 0 + t cos β ) − f ( x 0 , y 0 ) ) f ( x 0 , y 0 ) \frac{\partial f}{\partial l}|{x_0,y_0}=\lim\limits{t\to 0^+}\frac{f(x_0+t\cos \alpha,y_0+t\cos \beta)-f(x_0,y_0))}{f(x_0,y_0)} ∂l∂f∣x0,y0=t→0+limf(x0,y0)f(x0+tcosα,y0+tcosβ)−f(x0,y0))
定理 :如果函数f(x,y)在点 P 0 ( x 0 , y 0 ) 可微分,那么函数在该点沿着任意方向 l 的方向导数存在,且有 P_0(x_0,y_0)可微分,那么函数在该点沿着任意方向l的方向导数存在,且有 P0(x0,y0)可微分,那么函数在该点沿着任意方向l的方向导数存在,且有
∂ f ∂ l ∣ x 0 , y 0 = f x ( x 0 , y 0 ) cos α + f y ( x 0 , y 0 ) cos β \frac{\partial f}{\partial l}|_{x_0,y_0}=f_x(x_0,y_0)\cos \alpha +f_y(x_0,y_0)\cos \beta ∂l∂f∣x0,y0=fx(x0,y0)cosα+fy(x0,y0)cosβ
其中 α , β \alpha,\beta α,β是l和x轴y轴的夹角。
二、梯度
设函数f(x,y)在平面区域D内具有一阶连续偏导数,则对于每个点 P 0 ( x 0 , y 0 ) ∈ D P_0(x_0,y_0)\in D P0(x0,y0)∈D,都可以定出一个向量 f x ( x 0 , y 0 ) i ⃗ + f y ( x 0 , y 0 ) j ⃗ f_x(x_0,y_0)\vec i + f_y(x_0,y_0)\vec j fx(x0,y0)i +fy(x0,y0)j 。
此向量称为函数f(x,y)在点 P 0 ( x 0 , y 0 ) 的梯度,记作 g r a d f ( x 0 , y 0 ) 或 Δ f ( x 0 , y 0 ) 。 P_0(x_0,y_0)的梯度,记作grad f(x_0,y_0)或\Delta f(x_0,y_0)。 P0(x0,y0)的梯度,记作gradf(x0,y0)或Δf(x0,y0)。
如果对于空间区域G内的任意一点M,都有一个确定的数量f(M),那么称在这空间区域G内确定一个数量场(例如温度场、密度场)。一个数量场可用以各数量函数f(M)来确定。如果与点M相对应的是一个向量F(M),那么称在这个空间区域G内确定一个向量场(例如:力场、速度场等)。一个向量场可用一个向量函数F(M)来确定。
若向量场F(M)是某个数量函数f(M)的梯度,则称f(M)是向量场F(M)的一个势函数,并称向量场F(M)为势场。
第八节 多元函数的极值及其求法
一,多元函数的极值及最大值与最小值
定义 设函数z=f(x,y)的定义域为D, P 0 ( x 0 , y 0 ) 为 D 的内点。若存在 P 0 的某个邻域 U ( P 0 ) ⊂ D ,使得改领域内异于 P 0 的任何点 ( x , y ) ,都有 P_0(x_0,y_0)为D的内点。若存在P_0的某个邻域U(P_0)\sub D,使得改领域内异于P_0的任何点(x,y),都有 P0(x0,y0)为D的内点。若存在P0的某个邻域U(P0)⊂D,使得改领域内异于P0的任何点(x,y),都有 f ( x , y ) < f ( x 0 , y 0 ) f(x,y)<f(x_0,y_0) f(x,y)<f(x0,y0)则称函数f(x,y)在点(x_0,y_0)有极大值 f ( x 0 , y 0 ) , 点 ( x 0 , y 0 ) 称为函数 f ( x , y ) 的极大值点。 f(x_0,y_0),点(x_0,y_0)称为函数f(x,y)的极大值点。 f(x0,y0),点(x0,y0)称为函数f(x,y)的极大值点。最小值点类似。最大值点和最小值点统称极值点。
定理1(必要条件) :设函数z=f(x,y)在点 ( x 0 , y 0 ) (x_0,y_0) (x0,y0)具有偏导数,且在点 ( x 0 , y 0 ) (x_0,y_0) (x0,y0)处有极值,则有$ f x ( x 0 , y 0 ) = 0 , f y ( x 0 , y 0 ) = 0 f_x(x_0,y_0)=0,f_y(x_0,y_0)=0 fx(x0,y0)=0,fy(x0,y0)=0
定理2(充分条件) 设函数z=f(x,y)在点 ( x 0 , y 0 ) (x_0,y_0) (x0,y0)的某邻域内连续且有一阶及二阶连续偏导数,又 f x ( x 0 , y 0 ) = 0 , f y ( x 0 , y p ) = 0 f_x(x_0,y_0)=0,f_y(x_0,y_p)=0 fx(x0,y0)=0,fy(x0,yp)=0,令
f x x ( x 0 , y 0 ) = A , f x y ( x 0 , y 0 ) = B , f y y ( x 0 , y 0 ) = C f_{xx}(x_0,y_0)=A,f_{xy}(x_0,y_0)=B,f_{yy}(x_0,y_0)=C fxx(x0,y0)=A,fxy(x0,y0)=B,fyy(x0,y0)=C,则 f ( x 0 , y 0 ) f(x_0,y_0) f(x0,y0)是否取得极值的条件如下:
一,AC-BB>0时具有极值,且当A<0时又极大值,当A>0时又极小值。
二,AC-BB<0时没有极值;
三,AC-BB=0时可能有极值,也可能没有极值,还需另作讨论。
二,条件极值 拉格朗日乘数法
拉格朗日乘数法 要找函数z=f(x,y)在附加条件 ϕ ( x , y ) = 0 下的可能极值点,可以先作拉格朗日函数 \phi(x,y)=0下的可能极值点,可以先作拉格朗日函数 ϕ(x,y)=0下的可能极值点,可以先作拉格朗日函数 L ( x , y ) = f ( x , y ) + λ ϕ ( x , y ) L(x,y)=f(x,y)+\lambda \phi(x,y) L(x,y)=f(x,y)+λϕ(x,y)
其中 λ \lambda λ为参数,求其对x与y的一阶偏导数,并使之为零。
{ f x ( x , y ) + λ ϕ x ( x , y ) = 0 , f y ( x , y ) + λ ϕ y ( x , y ) = 0 , ϕ ( x , y ) = 0 \begin{cases} f_x(x,y)+\lambda \phi_x(x,y)=0,\\ f_y(x,y)+\lambda \phi_y(x,y)=0,\\ \phi(x,y)=0 \end{cases} ⎩ ⎨ ⎧fx(x,y)+λϕx(x,y)=0,fy(x,y)+λϕy(x,y)=0,ϕ(x,y)=0

扩展阅读
| 我想对大家说的话 |
|---|
| 亲士工具箱:支持AutoCad2013及以上 |
| 工作中遇到的问题,可以按类别查阅鄙人的算法文章,请点击《算法与数据汇总》。 |
| 学习算法:按章节学习《喜缺全书算法册》,大量的题目和测试用例,打包下载。重视操作 |
| 活到老,学到老。明朝中后期,大约50%的进士能当上堂官(副部及更高);能当上堂官的举人只有十余人。 |
| 子墨子言之:事无终始,无务多业。也就是我们常说的专业的人做专业的事。 |
视频课程
先学简单的课程,请移步CSDN学院,听白银讲师(也就是鄙人)的讲解。
https://edu.csdn.net/course/detail/38771
如何你想快速形成战斗了,为老板分忧,请学习C#入职培训、C++入职培训等课程
https://edu.csdn.net/lecturer/6176
测试环境
操作系统:win7 开发环境: VS2019 C++17
或者 操作系统:win10 开发环境: VS2022 C++17
如无特殊说明,本算法用**C++**实现。
