1 题目:路径总和 II
官方标定难度:中
给你二叉树的根节点 root 和一个整数目标和 targetSum ,找出所有 从根节点到叶子节点 路径总和等于给定目标和的路径。
叶子节点 是指没有子节点的节点。
示例 1:

输入:root = [5,4,8,11,null,13,4,7,2,null,null,5,1], targetSum = 22
输出:[[5,4,11,2],[5,8,4,5]]
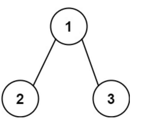
示例 2:

输入:root = [1,2,3], targetSum = 5
输出:[]
示例 3:
输入:root = [1,2], targetSum = 0
输出:[]
提示:
树中节点总数在范围 [0, 5000] 内
-1000 <= Node.val <= 1000
-1000 <= targetSum <= 1000
2 solution
和 112 题差不多,只不过需要保存路径,只需要,在每一步时,将当前节点加入到路径中,如果找到一个答案,就保存下来。
代码
cpp
/**
* Definition for a binary tree node.
* struct TreeNode {
* int val;
* TreeNode *left;
* TreeNode *right;
* TreeNode() : val(0), left(nullptr), right(nullptr) {}
* TreeNode(int x) : val(x), left(nullptr), right(nullptr) {}
* TreeNode(int x, TreeNode *left, TreeNode *right) : val(x), left(left), right(right) {}
* };
*/
class Solution {
public:
void pathSum(TreeNode *root, int targetSum, vector<vector<int>> &result,
vector<int> &solution) {
if (!root->left && !root->right) {
if (targetSum == root->val) {
solution.push_back(root->val);
result.push_back(solution);
solution.pop_back();
}
return;
}
solution.push_back(root->val);
targetSum -= root->val;
if (root->left) pathSum(root->left, targetSum, result,solution);
if (root->right) pathSum(root->right, targetSum, result,solution);
solution.pop_back();
}
vector<vector<int>> pathSum(TreeNode *root, int targetSum) {
if (!root) return {};
vector<vector<int>> result;
vector<int> solution;
pathSum(root, targetSum, result,solution);
return result;
}
};
结果
