LDPC解码性能的好坏与涉及变量节点和校验节点的校验方程密切相关。对于变量节点,尽可能多地参与校验方程,即变量节点度越大,变量节点越有效地获得准确的译码结果。
对于一个校验节点,所涉及的校验方程的数量越少,即每个校验节点包含的变量节点信息越少,即校验节点的度分布更小,可以使变量节点获得更准确的校验信息。
总之,变量节点的度分布尽可能小,校验节点的度分布尽可能大,这对于正则的LDPC码是不可调和的矛盾。于是提出了非正则LDPC码,非正则LDPC码的每个变量节点和校验节点的度分布被有意构建为非均匀的。
一些变量节点参与更多的校验方程,而一些变量节点参与更少的验证方程。在解码过程中,它们参与校验方程较多的变量节点,他们更快地得到正确的解码结果,得到正确结果的变量节点将可靠的概率信息传递给相邻的校验节点。
较少的变量节点可以通过这些校验节点得到正确的解码结果,整个解码过程不是统一的,而是一个波状的传输过程。这使得非正则LDPC码比正则LDPC码具有更好的译码性能。
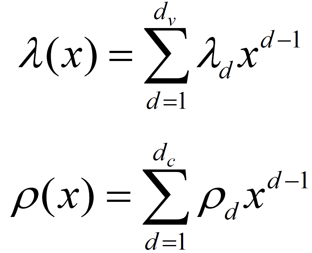
一个校验节点或者变量节点与变量节点或校验节点的连线叫做该节点的度,对应校验矩阵行或者列上1 的个数。非正则的LDPC 码由于各个节点参与的校验方程的个数不相同,所以每行和每列的度数都是不相同的。节点的度分布可以用下面的公式表示。

上式中,变量节点度数为 表示该节点的度数与整张图中的度分布的比值,
表示该节点的度数与整张图中的度分布的比值, 是度数为𝑑的校验节点与整张图度分布的比值,度分布的最大值分别用
是度数为𝑑的校验节点与整张图度分布的比值,度分布的最大值分别用 和
和 表示。此外由于𝜆(1) = 𝜌(1) = 1,则一个LDPC码的码率就可以用度分布来表示,如下式:
表示。此外由于𝜆(1) = 𝜌(1) = 1,则一个LDPC码的码率就可以用度分布来表示,如下式:

通过上式可以发现,LDPC码的码长、码率以及度分布三者互相约束,根据这个约束,确定了码长和度分布就可以确定一个LDPC码的码字集合,得到一组校验矩阵,可以依据不同系统的设计需求构造合适的LDPC码。