
🔥小龙报:个人主页
🎬作者简介:C++研发,嵌入式,机器人方向学习者
❄️个人专栏:《算法通关指南》
✨ 永远相信美好的事情即将发生

文章目录
- 前言
- 一、深度优先遍历-DFS
-
- [1.1 vector数组](#1.1 vector数组)
- [1.2 链式前向星](#1.2 链式前向星)
- [1.3 复杂度分析](#1.3 复杂度分析)
-
- [1.3.1 时间复杂度](#1.3.1 时间复杂度)
- [1.3.2 空间复杂度](#1.3.2 空间复杂度)
- 二、宽度优先遍历-BFS
-
- [2.1 vector数组](#2.1 vector数组)
- [2.2 链式前向星](#2.2 链式前向星)
- [2.3 复杂度分析](#2.3 复杂度分析)
-
- [2.3.1 时间复杂度](#2.3.1 时间复杂度)
- [2.3.2 空间复杂度](#2.3.2 空间复杂度)
- 总结与每日励志
前言
树的遍历 :就是不重不漏的将树中所有的点都扫描⼀遍
在之前学过的线性结构中,遍历就很容易,直接从前往后扫描⼀遍即可。但是在树形结构中,如果不按照⼀定的规则遍历,就会漏掉或者重复遍历⼀些结点。因此,在树形结构中,要按照⼀定规则去遍历。常用的遍历方式有两种,一种是深度优先遍历(DFS),另⼀种是宽度优先遍历(BFS)
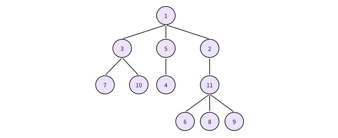
我们将以一道例题讲解这些遍历方法:

树的逻辑图

一、深度优先遍历-DFS
深度优先遍历,英文缩写为DFS,全称是DepthFirstSearch,中文名是深度优先搜索,是一种用于遍历或搜索树或图的算法。所谓深度优先,就是说每次都尝试向更深的节点走,也就是⼀条路走到黑。
具体流程:
(1) 从根节点出发,依次遍历每⼀棵子树;
(2) 遍历子树的时候,重复第一步。
因此,深度优先遍历是⼀种递归形式的遍历可以用递归来实现。
注:存储树结构的时候,会把相邻的所有结点都存下来,这样在扫描子树的时候会直接扫描到上一层,这不是我们想要的结果。
因此,需要一个数组来标记,哪些结点已经访问过,接下来的时候,就不去遍历那些点。
1.1 vector数组
c
#include <iostream>
#include <vector>
using namespace std;
const int N = 1e5 + 10;
vector<int> edges[N]; // edges[i] 保存着i号结点相连的所有点
bool st[N]; // 标记当前结点是否已经被遍历过
// 当前遍历到u这棵⼦树
void dfs(int u)
{
// 先访问该点
cout << u << " ";
st[u] = true; //标记表明该节点已被访问
//访问子树
for (auto v : edges[u])
{
if (!st[v])
dfs(v); //如果没有遍历过再去递归
}
}
int main()
{
int n;
cin >> n;
for (int i = 1; i < n; i++)
{
int a, b;
cin >> a >> b;
edges[a].push_back(b);
edges[b].push_back(a);
}
dfs(1);
return 0;
}
运行结果:

1.2 链式前向星
c
#include <iostream>
using namespace std;
const int N = 1e5 + 10;
int h[N],ne[N * 2], e[N * 2],id;
bool st[N];
void add(int a, int b)
{
id++;
e[id] = b;
ne[id] = h[a];
h[a] = id;
}
void dfs(int u)
{
cout << u << " ";
st[u] = true;
for (int i = h[u]; i; i = ne[i])
{
int v = e[i];
if (!st[v])
dfs(v);
}
}
int main()
{
int n;
cin >> n;
for (int i = 1; i < n; i++)
{
int a, b;
cin >> a >> b;
add(a, b);
add(b, a);
}
dfs(1);
return 0;
}
运行结果:

1.3 复杂度分析
1.3.1 时间复杂度
简单估计一下,在 遍历的整个过程中,会把树中所有的边扫描量两遍。边的数量为n - 1 故时间复杂度为O(N)。
1.3.2 空间复杂度
最差情况下,结点个数为n的树,高度也是n ,也就是变成一个链表。此时递归的深度也是n,故一个时间复杂度O(N);
二、宽度优先遍历-BFS
宽度优先遍历,英文缩写为BFS,全称是BreadthFirstSearch,也叫广度优先遍历。也是⼀种用于遍历或搜索树或图的算法。
所谓宽度优先。就是每次都尝试访问同⼀层的节点。如果同⼀层都访问完 了,再访问下⼀层。
算法过程可以看做是在树和图中,在起点放上一个细菌,每秒向周围的那些干净的位置扩散⼀层,直到把所有位置都感染
具体实现方式 :借助队列
(1)初始化一个队列;
(2)根节点入队,同时标记该节点已经入队;
(3)当队列不为空时,拿出队头元素,访问,然后将队头元素的所有孩子入队,同时打上标记。
(4)重复过程,直到队列为空。
2.1 vector数组
c
#include <iostream>
#include <vector>
#include <queue>
using namespace std;
const int N = 1e5 + 10;
vector<int> edges[N];
queue < int> q;
bool st[N];
void bfs(int u)
{
q.push(u);
st[u] = true;
while (q.size())
{
auto u = q.front();
cout << u << " ";
q.pop();
for (auto v : edges[u])
{
if (!st[v])
{
q.push(v);
st[v] = true;
}
}
}
}
int main()
{
int n;
cin >> n;
for (int i = 1; i < n; i++)
{
int a, b;
cin >> a >> b;
edges[a].push_back(b);
edges[b].push_back(a);
}
bfs(1);
return 0;
}
运行结果:

2.2 链式前向星
c
#include <iostream>
#include <queue>
using namespace std;
const int N = 1e5 + 10;
queue<int> q;
int id, h[N], e[N * 2], ne[N * 2];
bool st[N]; //st[i]表示那些节点已经入队
void add(int a, int b)
{
id++;
e[id] = b;
ne[id] = h[a];
h[a] = id;
}
void bfs(int u)
{
q.push(u);
st[u] = true;
while (q.size())
{
auto v = q.front();
cout << v << " ";
q.pop();
// 让孩子入队
for (int i = h[v]; i; i = ne[i])
{
int x = e[i];
if (!st[x])
{
q.push(x);
st[x] = true;
}
}
}
}
int main()
{
int n;
cin >> n;
for (int i = 1; i < n; i++)
{
int a, b;
cin >> a >> b;
add(a, b);
add(b, a);
}
bfs(1);
return 0;
}
运行结果:

2.3 复杂度分析
2.3.1 时间复杂度
有结点只会入队一次,然后出队一次,因此时间复杂度为空间复杂度:O(N)
2.3.2 空间复杂度
最坏情况下,所有的非根结点都在同⼀层,此时队列里面最多有n - 1个元素,故空间复杂度为O(N);
总结与每日励志
✨ 本文介绍了树遍历的两种主要方法:深度优先遍历(DFS)和宽度优先遍历(BFS)。DFS采用递归方式,每次尝试向更深节点遍历;BFS借助队列实现,按层次遍历节点。两种方法的时间复杂度均为O(N),空间复杂度在最坏情况下也是O(N)。文章通过示例代码展示了两种遍历的具体实现方式,包括vector数组和链式前向星两种存储结构。最后以"永远相信美好的事情即将发生"作为励志结语。
