目录
- [1. 什么是哈夫曼树和哈夫曼编码](#1. 什么是哈夫曼树和哈夫曼编码)
-
- [1.1 哈夫曼树](#1.1 哈夫曼树)
- [1.2 哈夫曼编码](#1.2 哈夫曼编码)
- [2. 举个例子(如何构造哈夫曼树)](#2. 举个例子(如何构造哈夫曼树))
- [3. 哈夫曼编码的代码实现(C++)](#3. 哈夫曼编码的代码实现(C++))
1. 什么是哈夫曼树和哈夫曼编码
1.1 哈夫曼树
哈夫曼树(Huffman Tree)是一种带权路径长度最短的二叉树(也叫最优二叉树);哈夫曼编码是基于哈夫曼树生成的变长前缀编码,核心作用是 "数据压缩"------ 让出现频率高的字符用短编码,频率低的用长编码,大幅减少数据存储 / 传输体积。
打个生活化比方:
发短信时,"的""了""我" 这些高频字用 1 个字符(如 "0"),"疆""霾" 这些低频字用 3 个字符(如 "110"),整体短信字数会少很多;
哈夫曼树就是用来 "分配编码长度" 的规则,哈夫曼编码就是最终给每个字符定的 "长短码"。
1.2 哈夫曼编码
在哈夫曼编码之前,原始方法使用等长编码,即每个字符串使用相等长度的编码,这样会导致额外需要传输一部分数据,在高速要求下可能会造成一定的额外开销,哈夫曼编码不等长,即生成的编码是长度最短的非歧义的编码。
哈夫曼编码是根据哈夫曼树而形成的编码,左边的置为0,右边置为1(这个没有强制要求,只需要在同一个哈夫曼树中使用同样的规则即可,大众化的编码规则是左0右1,本文也以这个为例讲解)
**注意:**生成的哈夫曼树以及哈夫曼编码可能不唯一,但所有编码的总长度一定为最短且解码时无歧义。
哈夫曼编码需要编码的节点一定是在叶子节点
2. 举个例子(如何构造哈夫曼树)
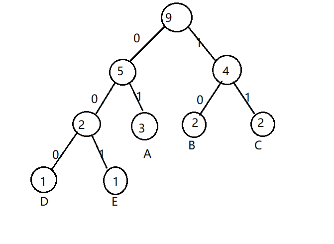
字符串:AABCADCEB
先统计字母的出现次数:
A->3
B->2
C->2
D->1
E->1
每次选出最小的两个值作为基础节点进行构建,出现重复数量超过两个也无妨,随机选取两个即可,之后这两个节点被一个新的更大的两个相加的节点代替
先选择D和E构建,此时D和E转化为一个整体节点为2。

此时BC和DE的整体节点都为2,任选两个,这边选取B和C

选择最小的A和DE结合节点,最后和BC的结合节点合并,左边填充0,右边填充1,最终完整的哈夫曼树如下

可以得到哈夫曼编码:
A:01
B:10
C:11
D:000
E:001
3 哈夫曼编码的代码实现(C++)
cpp
#include <iostream>
#include <queue>
#include <unordered_map>
#include <vector>
#include <string>
#include <algorithm>
using namespace std;
// 哈夫曼树节点结构体
struct HuffmanNode {
char ch; // 字符(仅叶子节点有效)
int weight; // 权值(字符频率)
HuffmanNode *left; // 左子节点
HuffmanNode *right; // 右子节点
// 构造函数
HuffmanNode(char c = '\0', int w = 0, HuffmanNode *l = nullptr, HuffmanNode *r = nullptr)
: ch(c), weight(w), left(l), right(r) {}
// 重载小于运算符(优先队列默认大顶堆,需改为小顶堆)
bool operator<(const HuffmanNode &other) const {
return weight > other.weight; // 权值小的优先出队
}
};
// 递归生成哈夫曼编码(左0右1)
void generateHuffmanCode(HuffmanNode *root, string code, unordered_map<char, string> &huffmanCode) {
if (root == nullptr) return;
// 叶子节点(对应具体字符),记录编码
if (root->left == nullptr && root->right == nullptr) {
huffmanCode[root->ch] = code;
return;
}
// 递归遍历左右子树
generateHuffmanCode(root->left, code + "0", huffmanCode);
generateHuffmanCode(root->right, code + "1", huffmanCode);
}
// 释放哈夫曼树内存(避免内存泄漏)
void deleteHuffmanTree(HuffmanNode *root) {
if (root == nullptr) return;
deleteHuffmanTree(root->left);
deleteHuffmanTree(root->right);
delete root;
}
int main() {
// 1. 输入字符串
string inputStr;
cout << "请输入需要编码的字符串:";
getline(cin, inputStr);
if (inputStr.empty()) {
cout << "输入字符串不能为空!" << endl;
return 1;
}
// 2. 统计字符频率(权值)
unordered_map<char, int> charFreq;
for (char ch : inputStr) {
charFreq[ch]++;
}
// 3. 构建优先队列(小顶堆),初始化叶子节点
priority_queue<HuffmanNode> pq;
for (auto &pair : charFreq) {
pq.emplace(pair.first, pair.second);
}
// 4. 构建哈夫曼树
while (pq.size() > 1) {
// 取出权值最小的两个节点
HuffmanNode *left = new HuffmanNode(pq.top());
pq.pop();
HuffmanNode *right = new HuffmanNode(pq.top());
pq.pop();
// 合并为新节点(权值=两节点权值之和,无字符)
HuffmanNode mergeNode('\0', left->weight + right->weight, left, right);
pq.push(mergeNode);
}
// 哈夫曼树根节点
HuffmanNode *root = new HuffmanNode(pq.top());
pq.pop();
// 5. 生成每个字符的哈夫曼编码
unordered_map<char, string> huffmanCode;
generateHuffmanCode(root, "", huffmanCode);
// 6. 输出每个字符的哈夫曼编码
cout << "\n=== 字符哈夫曼编码表 ===" << endl;
for (auto &pair : huffmanCode) {
cout << "字符 '" << pair.first << "' (频率:" << charFreq[pair.first] << "):" << pair.second << endl;
}
// 7. 生成输入字符串的完整编码
string strCode;
for (char ch : inputStr) {
strCode += huffmanCode[ch];
}
cout << "\n=== 输入字符串的哈夫曼编码 ===" << endl;
cout << inputStr << " → " << strCode << endl;
// 8. 释放内存
deleteHuffmanTree(root);
return 0;
}
4. 哈夫曼编码的应用场景:
1:归档压缩格式:
ZIP/GZIP:ZIP 格式的默认压缩算法(Deflate 算法)由 "LZ77/LZ78 字典压缩 + 哈夫曼编码" 组成 ------ 先通过字典压缩消除重复数据,再用哈夫曼编码对字典索引和原始数据进一步压缩,最终减少文件体积 30%~70%;GZIP(常用于 Linux 文件压缩、HTTP 传输压缩)同样基于 Deflate 算法,哈夫曼编码是其最终压缩环节。
7-ZIP*:支持多种压缩算法,其中 "Deflate64""LZMA2" 等核心算法均会搭配哈夫曼编码优化压缩率,尤其对文本、日志、源代码等字符重复率高的文件效果显著。
2:文档文本压缩:
PDF 文件:PDF 中的文本内容、图片元数据等会通过哈夫曼编码压缩,减少 PDF 文件的存储大小和传输时间(比如一篇 10MB 的纯文本 PDF,压缩后可降至 2~3MB)。
TXT / 日志文件:纯文本文件(如服务器日志、配置文件)中高频字符(如空格、换行、字母 "e""a")占比极高,哈夫曼编码能针对性压缩,压缩率通常在 40%~60%。
3:图片压缩
PNG 格式:PNG 是无损图片格式,其压缩流程为 "预测编码 + 差分编码 + 哈夫曼编码"------ 先通过预测编码减少像素冗余,再用哈夫曼编码对编码后的数据流压缩,确保图片质量无损的同时,减少文件体积(比如一张 100KB 的 PNG 图标,压缩后可降至 30~50KB)。
JPEG 格式:JPEG 是有损压缩,但对 "离散余弦变换(DCT)后的系数""图片元数据(如分辨率、色深)" 会用哈夫曼编码做无损压缩,进一步降低文件大小(JPEG 的压缩率中,约 10%~20% 来自哈夫曼编码)。
4:音频压缩
MP3 格式:MP3 是有损音频格式,其编码流程中,对 "量化后的频谱系数" 会用哈夫曼编码压缩(利用系数的分布特性,高频系数多为 0,低频系数重复率高),在不明显影响音质的前提下,将音频文件体积压缩至原始 WAV 格式的 1/10~1/15。
FLAC 格式:FLAC 是无损音频格式,核心压缩算法包含 "线性预测编码 + 哈夫曼编码",能在完全还原音质的前提下,将音频文件体积压缩至原始的 50%~70%。