
题目
给定一个链表的头节点 head ,返回链表开始入环的第一个节点。 如果链表无环,则返回 null。
如果链表中有某个节点,可以通过连续跟踪 next 指针再次到达,则链表中存在环。 为了表示给定链表中的环,评测系统内部使用整数 pos 来表示链表尾连接到链表中的位置(索引从 0 开始)。如果 pos 是 -1,则在该链表中没有环。注意:pos 不作为参数进行传递,仅仅是为了标识链表的实际情况。
不允许修改 链表。
数据范围
链表中节点的数目范围是 [0, 104]
-105 <= Node.val <= 105
pos 为 -1 或者链表中的一个 有效索引 。
测试用例
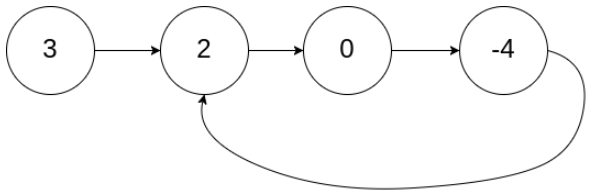
示例1

java
输入:head = [3,2,0,-4], pos = 1
输出:返回索引为 1 的链表节点
解释:链表中有一个环,其尾部连接到第二个节点。
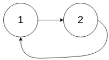
示例2

java
输入:head = [1,2], pos = 0
输出:返回索引为 0 的链表节点
解释:链表中有一个环,其尾部连接到第一个节点。
示例3

java
输入:head = [1], pos = -1
输出:返回 null
解释:链表中没有环。
题解(时间On,空间O1,双指针)
java
/**
* Definition for singly-linked list.
* class ListNode {
* int val;
* ListNode next;
* ListNode(int x) {
* val = x;
* next = null;
* }
* }
*/
public class Solution {
public ListNode detectCycle(ListNode head) {
if(head==null||head.next==null){
return null;
}
ListNode slow=head;
ListNode fast=head;
boolean flag=false;
while(fast.next!=null&&fast.next.next!=null){
fast=fast.next.next;
slow=slow.next;
if(fast==slow){
flag=true;
break;
}
}
if(!flag) return null;
ListNode newhead=head;
while(true){
if(newhead==slow){
return slow;
}
newhead=newhead.next;
slow=slow.next;
}
}
}
思路
这道题相比与他的前身(环状链表1),代码其实相差不大,题目改变了要求,不单单返回true\false,他还要求返回第一个点。这道题同样是链表操作经典题,大家积累经验即可,具体处理方法是对数学关系式推导,能得到出发点到环的第一个点的距离,与环中的距离的关系式,得到关系式后,我们可以利用关系式求得环的第一个点,具体推导我就引用官解了,官解讲得很好。

我们使用两个指针,fast 与 slow。它们起始都位于链表的头部。随后,slow 指针每次向后移动一个位置,而 fast指针向后移动两个位置。如果链表中存在环,则 fast 指针最终将再次与 slow 指针在环中相遇。
如下图所示,设链表中环外部分的长度为 a。slow 指针进入环后,又走了 b 的距离与 fast 相遇。此时,fast 指针已经走完了环的
n 圈,因此它走过的总距离为
a+n(b+c)+b=a+(n+1)b+nc。
根据题意,任意时刻,fast 指针走过的距离都为 slow 指针的 2 倍。因此,我们有
a+(n+1)b+nc=2(a+b)⟹a=c+(n−1)(b+c) 有了 a=c+(n−1)(b+c)
的等量关系,我们会发现:从相遇点到入环点的距离加上 n−1 圈的环长,恰好等于从链表头部到入环点的距离。
因此,当发现 slow 与 fast 相遇时,我们再额外使用一个指针 ptr。起始,它指向链表头部;随后,它和 slow
每次向后移动一个位置。最终,它们会在入环点相遇。