引言
本期介绍一种新的创新算法------波动光学优化算法Wave Optics Optimizer,WOO。WOO的灵感来自弗劳恩霍夫衍射实验,该实验揭示了光的波动性质。在WOO中,每个光波对应于一个候选解。该成果于2026年1月最新发表 在 JCR 1区,中科院1区(小区)期刊 Communications in Nonlinear Science and Numerical Simulation。


数学建模
受夫琅和费衍射实验的启发,本文提出了一种新的优化器WOO。在WOO中,空间中的每个平行光波都被视为候选解。这些波由于衍射效应扩散到空间中,并由于干涉效应在屏幕上形成明暗相间的条纹图案。光强最高的区域称为中央亮边,被认为是种群的最佳位置。光波在空间中的扩散和相互作用可以看作是种群探索空间的过程。
- 初始化:和其他群优化算法一样,采用随机初始化。

当单色光通过狭缝时,就会发生衍射。为了以后的计算方便,我们假设有N衍射后波前上的点,其中点的数目等于初始平行光波的数目S。提出了一种计算平行光波通过狭缝后初始波前位置的模型

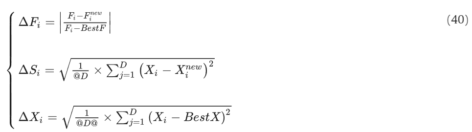
一组F在式(14)中存储了表示质量的评价值的位置X。在最小化问题中,一个较小F表示更好的位置X,其中全局最优解定义为BestX,其对应的最优适应度值定义为BestF。

参数Ua表示平行光波通过狭缝时的初始不确定度。它有助于在解决复杂的优化问题时有效地指导WOO,防止避免陷入局部最优,并确保WOO在复杂的搜索空间中保持强大的优化性能。

在以后的迭代中,它引入了较小的扰动来增强局部开发能力。此外,这些小的扰动有助于减轻算子对BestX周围邻域信息的破坏性影响

WOO个体的选择策略如下所示。在这个阶段,WOO排名基于F的质量,作为顶部N/2个体更接近全局最优位置,使其成为个体扩散的合适参考。

- 随机策略:当波浪在屏幕上相遇并形成明暗交替的条纹时,种群正式进入解决方案空间内的交互式学习和搜索阶段:

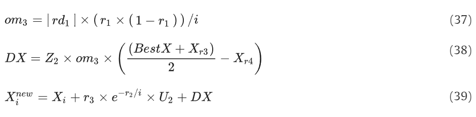
- 强化策略:随着迭代的进行,种群向全局最优位置移动。然而,在复杂的优化问题中,解空间往往是巨大而复杂的,充满了大量的局部最优。仅仅依靠探索可能会使算法陷入这些局部最优,从而使最终结果无法达到全局最优。因此,利用有希望的位置有助于算法摆脱局部最优,找到更高质量的解。WOO在强化策略中合并了以下两个更新操作符。


- 调整策略:为了进一步提高贪婪策略在WOO中更新个体位置时对空间信息的利用,本文提出了一种基于群体优势信息的调整策略。


算法伪代码:


03. 对比验证
原文作者为了评估WOO的优化能力,在3个CEC套件(CEC2014、CEC2017、CEC2022)和7个工程优化问题上进行了实验。将WOO与11个经典优化器、11个改进优化器和9个高性能CEC优化器进行了比较。实验结果和统计分析表明,WOO在大多数测试任务中都取得了优异的优化性能,在各种类型的数值优化问题中保持了较强的适应性和竞争力。因此,WOO可以看作是一个高性能的优化算法



参考文献
Yong Peng, Shaowei Gu, Yunbin Liang, Kaichen Ouyang, Yingli Li, Kui Wang, Guohua Wu, Chaojie Fan,
Wave Optics Optimizer: A novel meta-heuristic algorithm for engineering optimization,Communications in Nonlinear Science and Numerical Simulation,Volume 152, Part D,2026,109337, https://doi.org/10.1016/j.cnsns.2025.109337.
Matlab代码下载
微信搜索并关注-优化算法侠(英文名:Swarm-Opti),或扫描下方二维码关注,以算法名字搜索历史文章即可下载。
完整代码


链接:https://pan.quark.cn/s/29556d4fcd1c
点击链接跳转:
400多种优化算法免费下载-matlab
求解cec测试函数-matlab
cec2022测试函使用教程及matlab代码免费下载
绘制cec2017/018/2019/2020/2021/2022函数的三维图像教程,SO EASY!
215种群智能优化算法python库
解决12工程设计优化问题-matlab
求解11种cec测试函数-python
解决30种工程设计优化问题-python
《一行破万法》:80余种改进策略仅需一行,可改进所有优化算法(附matlab代码)
【有经典,有最新】24种信号分解方法(附matlab代码)
【分类新范式】28种一维数据转换成二维图像的方法-matlab代码
2025年故障诊断的创新思路在哪里?赶紧来学习这28种创新方法!
https://mp.weixin.qq.com/s/EdRYeziIhnZE5zK0ZZhwmg