题目
给你链表的头节点 head ,每 k 个节点一组进行翻转,请你返回修改后的链表。
k 是一个正整数,它的值小于或等于链表的长度。如果节点总数不是 k 的整数倍,那么请将最后剩余的节点保持原有顺序。
你不能只是单纯的改变节点内部的值,而是需要实际进行节点交换。
数据范围
链表中的节点数目为 n
1 <= k <= n <= 5000
0 <= Node.val <= 1000
测试用例
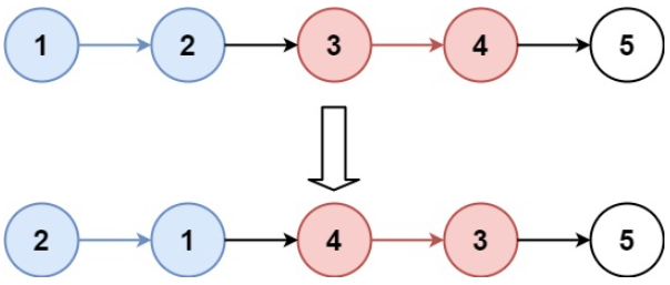
示例1

java
输入:head = [1,2,3,4,5], k = 2
输出:[2,1,4,3,5]
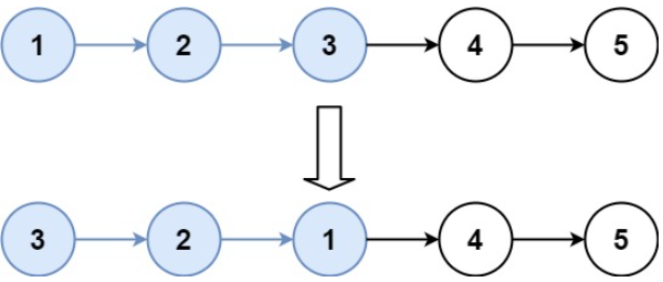
示例2

java
输入:head = [1,2,3,4,5], k = 3
输出:[3,2,1,4,5]
题解1(模拟,时间On空间O1,博主版本)
java
/**
* Definition for singly-linked list.
* public class ListNode {
* int val;
* ListNode next;
* ListNode() {}
* ListNode(int val) { this.val = val; }
* ListNode(int val, ListNode next) { this.val = val; this.next = next; }
* }
*/
class Solution {
/**
* 主函数:K个一组翻转链表
* 时间复杂度:O(N) - 每个节点大概被访问两次
* 空间复杂度:O(1) - 只使用了有限的指针变量
*/
public ListNode reverseKGroup(ListNode head, int k) {
// 1. 边界条件判断:如果链表为空或只有一个节点,无需翻转直接返回
if(head == null || head.next == null){
return head;
}
// th (temp head): 当前组的头
// tt (temp tail): 当前组的尾
ListNode th = head;
ListNode tt = th;
// 2. 检查第一组是否凑够了 k 个节点
// 如果不足 k 个,gettail 会返回 null 或 最后的节点(取决于具体实现,这里如果是 null 说明不够)
// 但注意:你的 gettail 逻辑是如果不够 k 个,会返回 null (因为 k-- 到不了0) 或者 剩下的那个尾巴
// 这里的逻辑主要是为了定下整个链表的新头节点 res
tt = gettail(k - 1, tt);
// res: 最终返回的结果头节点。
// 如果第一组就够 k 个,res 就是第一组翻转后的头(也就是原来的第 k 个节点 tt)。
// 如果不够,res 可能需要保持 head(但在你的逻辑里,如果 tt 为 null,下面的 while 不会执行,res 会是 null,这里其实有个小隐患,见下方说明)
ListNode res = tt;
// 3. 主循环:只要当前组的头和尾都不为空,就开始翻转
while(th != null && tt != null){
// 执行翻转:将 th 到 tt 这一段翻转
reverse(th, tt);
// temp 保存下一组的开始节点
// 此时 th 已经是当前组翻转后的尾巴了,th.next 指向的是下一组的头
ListNode temp = th.next;
// 关键逻辑:尝试把当前组的尾巴(th),直接连到【下一组的尾巴】
// 因为下一组翻转后,它的尾巴会变成头。
// 风险:如果下一组不足 k 个,gettail 返回 null,导致 th.next 被置为 null,这里造成了"断链"
th.next = gettail(k - 1, th.next);
// 更新指针,准备处理下一组
if(temp == null){
// 如果没有下一组了,但是由于上面的 th.next 可能被置为 null 了,这里其实 break 出去后需要补救
th.next = temp;
break;
} else {
// 移动 th 和 tt 到下一组
th = temp;
tt = th;
tt = gettail(k - 1, tt); // 寻找下一组的尾巴
}
}
// 4. 补救逻辑 (Repair Loop)
// 因为上面的循环中,当剩余节点不足 k 个时,th.next 被错误地指向了 gettail 的结果(null)
// 所以这里需要重新遍历一次链表,找到断开的地方,把剩下的节点接回去。
ListNode tres = res;
// 这个循环用来找到当前已构建好链表的最后一个节点
while(true){
// 如果 res 本身是 null (说明第一组都不够 k 个),或者找到了尾部
if(tres == null) {
// 这是一个特殊情况处理,如果第一组都不够k个,tt是null,res是null
// 这里应该直接返回 head。
return head;
}
if(tres.next == null){
// 找到了断开的地方,把剩下的节点 (th) 接上去
// 注意:这里的 th 在上面循环结束时,指向的是剩余部分那一小段的头
tres.next = th;
break;
}
tres = tres.next;
}
return res;
}
/**
* 辅助函数:翻转区间 [head, tail] 内的节点
* 注意:这是一个左闭右闭区间的翻转
*/
public static void reverse(ListNode head, ListNode tail){
// temp 记录这一段之后的那个节点(下一段的头)
ListNode temp = tail.next;
ListNode pre = null;
ListNode cur = head;
// 标准的链表翻转逻辑
while(cur != temp){
ListNode next = cur.next;
cur.next = pre;
pre = cur;
cur = next;
}
// 翻转完成后,原来的头 (head) 变成了尾,
// 需要让它指向下一段的头 (temp),保证链表不断开
head.next = temp;
}
/**
* 辅助函数:获取从 head 开始往后第 k 个节点(也就是当前组的尾巴)
* 实际上是移动 k 次(传入的是 k-1,说明是移动 k-1 步找到第 k 个节点)
*/
public static ListNode gettail(int k, ListNode head){
while(head != null && k > 0){
head = head.next;
k--;
}
return head;
}
}
题解2(时空同上,但是官解)
java
class Solution {
public ListNode reverseKGroup(ListNode head, int k) {
ListNode hair = new ListNode(0);
hair.next = head;
ListNode pre = hair;
while (head != null) {
ListNode tail = pre;
// 查看剩余部分长度是否大于等于 k
for (int i = 0; i < k; ++i) {
tail = tail.next;
if (tail == null) {
return hair.next;
}
}
ListNode nex = tail.next;
ListNode[] reverse = myReverse(head, tail);
head = reverse[0];
tail = reverse[1];
// 把子链表重新接回原链表
pre.next = head;
tail.next = nex;
pre = tail;
head = tail.next;
}
return hair.next;
}
public ListNode[] myReverse(ListNode head, ListNode tail) {
ListNode prev = tail.next;
ListNode p = head;
while (prev != tail) {
ListNode nex = p.next;
p.next = prev;
prev = p;
p = nex;
}
return new ListNode[]{tail, head};
}
}
思路
这道题虽然被标注了困难,但我觉得和前几天的简单题目没有什么区别。无非是用到了链表翻转这个我们之前做过的简单题,其他的正常模拟即可。
虽然大家的核心思路都是模拟(Simulation),但在状态管理和链表连接的策略上,官方题解确实处理得更加"老练",主要体现在以下两点差距:
-
哨兵节点的妙用(Dummy Node)我在解法1中是直接操作 head,这就导致我需要一个额外的逻辑来确定最终返回的头节点(因为第一组反转后,头节点变了)。如果第一组不足 k 个,返回的又是原 head,这增加了边界判断的复杂度。而官解引入了 hair(哨兵节点),让 hair.next 指向 head。无论后续怎么翻转,最后只需要无脑返回 hair.next 即可,规避了头节点变动带来的分类讨论。
-
"向后预判" vs "向前连接" (核心差异)这是导致我代码中必须写一个 while(true) 修补循环的根本原因。
我的策略(向后预判):我在处理当前组时,试图直接让当前组的尾巴去连下一组翻转后的尾巴(th.next = gettail(...))。这就非常"激进",因为如果下一组不足 k 个节点(不需要翻转),gettail 会返回 null,导致我的链表在中间断开了(比如 1-2-3-4-5,k=2,处理完3-4后,5被断开了)。所以我不得不在最后写一个修补循环,把断掉的节点重新接回去。
官解策略(向前连接):官解维护了一个 pre 指针,代表"上一组的尾巴"。它只关注把当前组接在 pre 后面(pre.next = head)。这种写法是"向后兼容"的,它不需要预判下一组的情况。如果后面不足 k 个,直接 return 即可,链表本身从未断裂,自然也不需要额外的修补逻辑。
总结: 虽然两种解法的时间复杂度都是 O(N)O(N)O(N),空间复杂度都是 O(1)O(1)O(1),但官解通过维护 pre 指针,省去了断链修复的过程,代码逻辑更加稳健简洁。