论文题目:Modeling Relational Data with Graph Convolutional Networks(用图卷积网络建模关系数据)
会议:Extended Semantic Web Conference 2017
摘要:知识图支持各种各样的应用,包括问题回答和信息检索。尽管在它们的创建和维护上投入了巨大的努力,但即使是最大的(例如,Yago、DBPedia或Wikidata)也仍然不完整。我们引入了关系图卷积网络(R-GCNs),并将其应用于两个标准的知识库补全任务:链接预测(缺失事实的恢复,即主-谓词-对象三元组)和实体分类(缺失实体属性的恢复)。RGCNs与最近一类在图上操作的神经网络相关,并且专门用于处理现实知识库的高度多关系数据特征。我们证明了R-GCNs作为实体分类的独立模型的有效性。我们进一步证明,用于链路预测的分解模型(如DistMult)可以通过使用编码器模型来丰富它们,从而在关系图中的多个推理步骤中积累证据,从而得到显著改进,证明在FB15k-237上比仅解码器基线提高了29.8%。

用图神经网络重构知识图谱:R-GCN论文深度解读
引言:知识图谱的困境
想象一下,你有一个包含数百万条知识的数据库------演员出演过哪些电影、城市位于哪个国家、人物在哪里接受教育等等。这就是知识图谱,它为问答系统、推荐引擎和信息检索提供了强大支撑。但是,即使是最大的知识图谱(如DBPedia、Wikidata)也面临一个严重问题:信息不完整。
2017年,来自阿姆斯特丹大学的研究团队在ESWC(欧洲语义网会议)上发表了一篇开创性论文:Modeling Relational Data with Graph Convolutional Networks,提出了关系图卷积网络(R-GCN),为解决知识图谱补全问题开辟了新路径。
今天,让我们深入解读这篇引用量超过3000次的经典论文。
一、问题背景:为什么需要R-GCN?
1.1 知识图谱的表示
知识图谱本质上是一个有向标记多重图,由三元组(subject, predicate, object)构成。例如:
(Mikhail Baryshnikov, educated_at, Vaganova Academy)
(Vaganova Academy, type, university)
(Mikhail Baryshnikov, citizen_of, U.S.A.)
在图中:
- 节点代表实体(如人物、地点、组织)
- 边代表关系(如"教育于"、"公民身份")
- 每个实体可以有类型标签(如"舞蹈家"、"大学")
1.2 两大核心任务
论文聚焦知识图谱的两个基础任务:
任务1:实体分类(Entity Classification)
- 目标:预测实体的缺失类型或属性
- 例如:给定Mikhail Baryshnikov的关系网络,推断他是"person"类型
任务2:链接预测(Link Prediction)
- 目标:预测缺失的三元组
- 例如:已知(Baryshnikov, educated_at, Vaganova Academy),能否推断出(Baryshnikov, lived_in, Russia)?
1.3 现有方法的局限
传统方法主要分为两类:
张量分解方法(如DistMult、TransE、ComplEx):
- 为每个实体学习一个固定的嵌入向量
- 通过优化三元组的评分函数来训练
- 问题:没有利用图的结构信息,缺乏多跳推理能力
路径特征方法:
- 提取实体间的路径作为特征
- 问题:计算开销大,难以扩展到大规模图
论文的核心洞察是:知识图谱中很多缺失信息可以通过邻域结构推断出来。如果知道Baryshnikov在俄罗斯的学校接受教育,就可以合理推断他可能在俄罗斯生活过,且应该被标记为"person"类型。
二、R-GCN方法详解
2.1 核心思想:关系感知的消息传递
R-GCN扩展了图卷积网络(GCN),专门设计用于处理多关系数据。其核心公式为:

让我们拆解这个公式:
:节点i在第l层的隐藏状态(特征向量)
:通过关系r连接到节点i的邻居集合
:关系特定的权重矩阵(这是关键创新!)
:归一化常数,通常设为
:自连接的权重矩阵
:激活函数(如ReLU)
直观理解:
- 对于每种关系类型,使用不同的权重矩阵变换邻居特征
- 将所有关系的转换结果归一化求和
- 加上节点自身的特征(通过自连接)
- 应用非线性激活函数
这种设计允许模型学习"通过'educated_at'关系传递的信息应该如何转换"与"通过'citizen_of'关系传递的信息应该如何转换"是不同的。

2.2 参数爆炸问题与正则化
多关系数据带来一个严重问题:如果知识图谱有1000种关系类型,每层就需要1000个权重矩阵,参数量会爆炸式增长!
论文提出两种正则化技术:
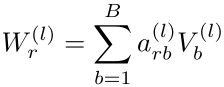
方法1:基函数分解(Basis Decomposition)

- 将每个关系的权重矩阵表示为B个基矩阵Vb的线性组合
- 只有组合系数a依赖于关系r
- 效果:实现关系间的权重共享,罕见关系可以从常见关系中学习
参数数量:
- 原始:

- 基分解后:

方法2:块对角分解(Block-Diagonal Decomposition)

- 将权重矩阵约束为块对角形式
- 每个块Qbr是低维矩阵:

- 效果:施加稀疏性约束,将特征分组处理
参数数量:
- 块分解后:

2.3 任务1:实体分类架构

对于实体分类,R-GCN的使用非常直接:
- 输入层:每个实体用独特的one-hot向量表示(如果没有预定义特征)
- 隐藏层:堆叠多层R-GCN,传播邻域信息
- 输出层:在最后一层应用softmax激活函数
- 损失函数:交叉熵损失

其中Y是有标签的节点集合,t ik是真实标签。
2.4 任务2:链接预测架构
链接预测采用自编码器框架:
编码器(Encoder):
- R-GCN模型,将每个实体v_i编码为向量

- 可以插入全连接层增强表达能力
解码器(Decoder):
- 使用DistMult评分函数:

- Rr是关系r的对角矩阵
训练策略:
- 负采样:对每个正样本,随机破坏主语或宾语生成w个负样本
- 交叉熵损失:

关键创新:不同于传统DistMult直接优化实体嵌入,R-GCN通过编码器从图结构中学习嵌入,实现了多跳推理。
三、实验结果
3.1 实体分类实验
论文在4个RDF格式数据集上评估:
| 数据集 | 实体数 | 关系数 | 边数 | 标注实体 | 类别数 |
|---|---|---|---|---|---|
| AIFB | 8,285 | 45 | 29,043 | 176 | 4 |
| MUTAG | 23,644 | 23 | 74,227 | 340 | 2 |
| BGS | 333,845 | 103 | 916,199 | 146 | 2 |
| AM | 1,666,764 | 133 | 5,988,321 | 1,000 | 11 |
实验设置:
- 2层R-GCN
- 16个隐藏单元(AM数据集用10个)
- 基函数分解
- Adam优化器,学习率0.01,训练50轮
结果对比(准确率%):

| 模型 | AIFB | MUTAG | BGS | AM |
|---|---|---|---|---|
| Feat(特征工程) | 55.55 | 77.94 | 72.41 | 66.66 |
| WL(图核方法) | 80.55 | 80.88 | 86.20 | 87.37 |
| RDF2Vec(图嵌入) | 88.88 | 67.20 | 87.24 | 88.33 |
| R-GCN(本文) | 95.83±0.62 | 73.23±0.48 | 83.10±0.80 | 89.29±0.35 |
关键发现:
- ✅ 在AIFB上,R-GCN比RDF2Vec提升了7个百分点,达到95.83%的准确率
- ✅ 在AM(最大数据集)上略优于RDF2Vec
- ❌ 在MUTAG和BGS上表现不如RDF2Vec
性能差异分析: 论文指出MUTAG和BGS的特殊性:
- MUTAG:分子图数据,关系编码原子键或特征存在性
- BGS:岩石类型数据,关系编码层次化特征
- 标注实体仅通过高度数枢纽节点连接
固定的归一化常数对高度数节点不友好。论文建议引入注意力机制替代固定归一化。
3.2 链接预测实验
数据集统计
| 数据集 | 实体数 | 关系数 | 训练边 | 验证边 | 测试边 |
|---|---|---|---|---|---|
| WN18 | 40,943 | 18 | 141,442 | 5,000 | 5,000 |
| FB15k | 14,951 | 1,345 | 483,142 | 50,000 | 59,071 |
| FB15k-237 | 14,541 | 237 | 272,115 | 17,535 | 20,466 |
FB15k-237的重要性:
- Toutanova & Chen (2015)指出FB15k和WN18存在严重缺陷:训练集包含
,测试集包含
- 这使得任务变成记忆问题,简单的LinkFeat基线就能达到很高性能
- FB15k-237移除了所有逆关系对,是更真实的评估
FB15k-237结果(关键突破)
评估指标:
- MRR(Mean Reciprocal Rank):倒数排名的平均值,越高越好
- Hits@K:正确答案排在前K位的比例
| 模型 | MRR (Filtered) | Hits@1 | Hits@3 | Hits@10 |
|---|---|---|---|---|
| LinkFeat | 0.079 | - | - | - |
| DistMult | 0.191 | 0.106 | 0.207 | 0.376 |
| CP | 0.182 | 0.101 | 0.197 | 0.357 |
| TransE | 0.233 | 0.147 | 0.263 | 0.398 |
| HolE | 0.222 | 0.133 | 0.253 | 0.391 |
| ComplEx | 0.201 | 0.112 | 0.213 | 0.388 |
| R-GCN | 0.248 | 0.153 | 0.258 | 0.414 |
| R-GCN+ | 0.249 | 0.151 | 0.264 | 0.417 |
惊人发现:
- 🚀 R-GCN的MRR比DistMult基线提升29.8%(0.191→0.248)
- 🚀 Hits@10从37.6%提升到41.4%
- ✨ 在这个更困难的数据集上,R-GCN超越了所有传统分解方法
为什么提升如此显著? 因为FB15k-237移除了逆关系对,简单的局部模式不再有效,必须通过多跳推理来预测缺失链接------这正是R-GCN的优势!
FB15k和WN18结果


R-GCN+是什么? 组合模型:
- 在FB15k上,
效果最佳 - 结合了R-GCN的结构推理能力和DistMult的局部模式识别能力
有趣的观察: 论文绘制了FB15k上性能与节点度数的关系曲线(图4):

- 低度数节点:DistMult性能更好(局部信息充足)
- 高度数节点:R-GCN性能更好(丰富的上下文信息)
- 这解释了为什么组合模型R-GCN+表现最佳
3.3 实验配置细节
R-GCN超参数:
| 数据集 | 层数 | 隐藏维度 | 正则化 |
|---|---|---|---|
| FB15k | 1 | 200 | 基分解(B=2) |
| WN18 | 1 | 200 | 基分解(B=2) |
| FB15k-237 | 2 | 500 | 块分解(5×5) |
训练技巧:
- Edge Dropout:自连接0.2,其他边0.4(类似去噪自编码器)
- L2正则化:解码器权重惩罚0.01
- 负采样:每个正样本配1个负样本
- 优化器:Adam,学习率0.01
- 批处理:全批次梯度下降
四、方法论亮点与局限
4.1 核心贡献
-
首次将GCN应用于关系数据
- 开创性地将图神经网络引入知识图谱领域
- 为后续大量研究奠定基础(论文被引超3000次)
-
优雅的正则化设计
- 基函数分解实现跨关系知识迁移
- 块对角分解有效控制参数规模
- 使得模型可以扩展到数百种关系类型
-
编码器-解码器框架
- 将结构建模(编码器)与评分函数(解码器)解耦
- 解码器可灵活替换(DistMult、ComplEx、HolE等)
- 通用性强,易于扩展
-
FB15k-237上的突破
- 29.8%的提升证明了多跳推理的价值
- 在更真实的评估场景下显著优于传统方法
4.2 局限性与未来方向
论文诚实指出的局限:
-
固定归一化的问题
- 对高度数节点不友好
- 建议引入注意力机制(这启发了后续的GAT、R-GAT等工作)
-
可扩展性挑战
- 全批次训练限制了处理超大规模图的能力
- 论文建议探索采样技术(如GraphSAGE式邻居采样)
-
特征融合待加强
- 当前只用one-hot向量作为输入
- 可以整合实体的文本描述、属性等丰富特征
论文提出的研究方向:
- 与ComplEx等更强解码器结合
- 加入注意力机制
- 实现mini-batch训练
- 应用于关系抽取等其他任务
总结
R-GCN论文以优雅的方式将图卷积网络扩展到多关系数据,在知识图谱补全任务上取得了显著成果。其核心贡献不仅是算法本身,更在于提出了一个通用的编码器-解码器框架,为后续研究提供了清晰的范式。
关键数字回顾:
- ✨ AIFB数据集:**95.83%**准确率(提升7个百分点)
- 🚀 FB15k-237:MRR 0.248(提升29.8%)
- 📈 3000+引用,影响深远
论文也保持了学术诚实,坦率讨论局限性并指出改进方向。这些局限催生了大量后续研究,使得图神经网络在知识图谱领域持续发展。
如果你对知识图谱、图神经网络或链接预测感兴趣,R-GCN绝对是一篇必读论文。它证明了一个简单的道理:在关系数据中,你的邻居定义了你是谁。
希望这篇博客能帮助你深入理解R-GCN的精髓。如果有任何问题或想深入讨论某个部分,欢迎在评论区留言!