1 题目
给你单链表的头指针 head 和两个整数 left 和 right ,其中 left <= right 。请你反转从位置 left 到位置 right 的链表节点,返回 反转后的链表 。
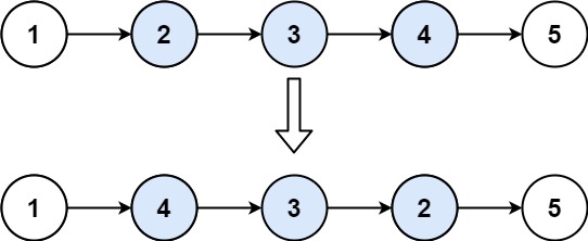
示例 1:

输入:head = [1,2,3,4,5], left = 2, right = 4
输出:[1,4,3,2,5]
示例 2:
输入:head = [5], left = 1, right = 1
输出:[5]
提示:
- 链表中节点数目为
n 1 <= n <= 500-500 <= Node.val <= 5001 <= left <= right <= n
进阶: 你可以使用一趟扫描完成反转吗?
2 代码实现
cpp
/**
* Definition for singly-linked list.
* struct ListNode {
* int val;
* ListNode *next;
* ListNode() : val(0), next(nullptr) {}
* ListNode(int x) : val(x), next(nullptr) {}
* ListNode(int x, ListNode *next) : val(x), next(next) {}
* };
*/
class Solution {
public:
ListNode* reverseBetween(ListNode* head, int left, int right) {
ListNode* dummy = new ListNode(0) ;
dummy -> next = head ;
ListNode* pre = dummy;
for (int i = 0 ; i < left -1 ;++i){
pre = pre -> next ;
}
ListNode* cur = pre -> next ;
ListNode* tail = cur ;
ListNode* prev = nullptr;
for (int j = left ; j < right + 1; ++j){
ListNode* temp = cur -> next ;
cur -> next = prev ;
prev = cur ;
cur = temp ;
}
pre -> next = prev;
tail -> next =cur ;
ListNode* newHead = dummy -> next ;
delete dummy;
return newHead;
}
};
思考
这道题目是部分链表进行了反转操作,我想大概的思路是,把链表分成三段:
1.从 head 到 left , 这一段要保存好,不变 ;
2.从 left 到 right 。 这一段进行翻转的操作 ;
3.从 right 到 最后一个节点 , 这一段保存好, 不变 ;
但是分成三段怎么防止最后一段(第三部分)的节点不丢失呢?
难道遍历两趟, 第一次划分, 第二次实现翻转?
不太清晰,看下ai怎么写cpp实现这个leetcode模式核心代码。
解题思路
要在一趟扫描中完成反转,核心思路是:
- 定位边界 :先找到
left位置的前一个节点(记为pre),以及left位置的节点(记为cur),这是反转段的起点。 - 局部反转 :从
cur开始,依次将cur的下一个节点 "插入" 到pre的后面,循环执行right-left次,完成left到right段的反转。 - 衔接链表:整个过程中无需拆分链表再拼接,通过调整指针指向直接完成局部反转,避免丢失后续节点。
C++ 代码实现(LeetCode 核心代码模式)
cpp
// 定义链表节点结构(LeetCode 环境已内置,此处仅为示意)
struct ListNode {
int val;
ListNode *next;
ListNode() : val(0), next(nullptr) {}
ListNode(int x) : val(x), next(nullptr) {}
ListNode(int x, ListNode *next) : val(x), next(next) {}
};
class Solution {
public:
ListNode* reverseBetween(ListNode* head, int left, int right) {
// 虚拟头节点:避免处理left=1时的边界问题(头节点无前驱)
ListNode* dummy = new ListNode(0);
dummy->next = head;
// 1. 找到left位置的前一个节点pre
ListNode* pre = dummy;
for (int i = 1; i < left; ++i) {
pre = pre->next;
}
// cur是反转段的第一个节点(left位置)
ListNode* cur = pre->next;
// 循环right-left次,完成局部反转
for (int i = 0; i < right - left; ++i) {
// next_node是cur的下一个节点(待反转的节点)
ListNode* next_node = cur->next;
// 步骤1:cur跳过next_node,指向next_node的下一个节点
cur->next = next_node->next;
// 步骤2:next_node插入到pre的后面(成为反转段的新头部)
next_node->next = pre->next;
// 步骤3:pre指向新的反转段头部(next_node)
pre->next = next_node;
}
// 虚拟头节点的下一个节点是新链表的头
ListNode* new_head = dummy->next;
delete dummy; // 释放虚拟节点,避免内存泄漏
return new_head;
}
};
代码关键部分解释
-
虚拟头节点
dummy:- 作用:统一处理 "left=1"(头节点无前驱)的边界情况,无需单独判断,简化逻辑。
- 注意:使用后要释放内存,避免内存泄漏。
-
定位前驱节点
pre:- 循环
left-1次,让pre指向left位置的前一个节点,例如示例 1 中left=2,pre最终指向节点 1。
- 循环
-
局部反转核心循环 (以示例 1 为例,
left=2, right=4,循环 2 次):- 初始状态:
pre=1, cur=2,待反转节点是 3、4。 - 第一次循环(处理节点 3):
next_node=3,cur->next=4(节点 2 指向 4),next_node->next=2(节点 3 指向 2),pre->next=3(节点 1 指向 3)→ 链表变为1->3->2->4->5。
- 第二次循环(处理节点 4):
next_node=4,cur->next=5(节点 2 指向 5),next_node->next=3(节点 4 指向 3),pre->next=4(节点 1 指向 4)→ 链表变为1->4->3->2->5,完成反转。
- 初始状态:
-
时间复杂度:O (n)(仅一趟扫描,n 为链表长度),满足进阶要求;空间复杂度:O (1)(仅使用常数个临时节点)。
自己写的代码乱七八糟
cpp
/**
* Definition for singly-linked list.
* struct ListNode {
* int val;
* ListNode *next;
* ListNode() : val(0), next(nullptr) {}
* ListNode(int x) : val(x), next(nullptr) {}
* ListNode(int x, ListNode *next) : val(x), next(next) {}
* };
*/
class Solution {
public:
ListNode* reverseBetween(ListNode* head, int left, int right) {
ListNode* dummy = new ListNode(0);
dummy -> next = head ;
ListNode* cur = head ;
for (int i = 0 ; i < left ; ++i){
cur = cur -> next ;
}
ListNode* prev = cur ;
for (int j = left ; j < right ; ++j){
ListNode* temp = cur -> next ;
cur -> next = prev ;
prev = cur ;
cur = temp ;
}
head = dummy -> next ;
delete dummy ;
return head ;
}
};
代码问题逐条拆解
1. 反转起点定位错误(最核心)
cpp
// 错误代码
for (int i = 0 ; i < left ; ++i){
cur = cur -> next ;
}
- 假设
left=2,初始cur=head(1),循环执行 2 次后cur会指向 3(而非预期的 2),相当于定位到了left+1的位置,完全偏离了反转起点。 - 更严重的是:你没有保存
left位置的前驱节点(比如示例 1 中节点 1),反转后无法把前半段链表和反转后的区间衔接起来。
2. 反转逻辑错误,导致链表断裂
cpp
// 错误代码
ListNode* prev = cur ;
for (int j = left ; j < right ; ++j){
ListNode* temp = cur -> next ;
cur -> next = prev ; // 这里会让当前节点指向自己的前驱,形成环
prev = cur ;
cur = temp ;
}
- 初始
prev=cur(比如 cur=3),第一次循环时cur->next=prev会让 3 的 next 指向 3(自己),直接形成环,后续节点全部丢失。 - 常规链表反转的
prev初始值应该是nullptr,且需要控制反转的节点数量为right-left+1(而非right-left)。
3. 无链表衔接步骤,反转结果无效
你的代码全程没有调整 dummy 或原链表的指针指向,反转后的节点无法 "接回" 原链表,最终返回的还是原始 head,等于没做反转。
历经艰辛终于通过了
cpp
/**
* Definition for singly-linked list.
* struct ListNode {
* int val;
* ListNode *next;
* ListNode() : val(0), next(nullptr) {}
* ListNode(int x) : val(x), next(nullptr) {}
* ListNode(int x, ListNode *next) : val(x), next(next) {}
* };
*/
class Solution {
public:
ListNode* reverseBetween(ListNode* head, int left, int right) {
ListNode* dummy = new ListNode(0) ;
dummy -> next = head ;
ListNode* pre = dummy;
for (int i = 0 ; i < left -1 ;++i){
pre = pre -> next ;
}
ListNode* cur = pre -> next ;
ListNode* tail = cur ;
ListNode* prev = nullptr;
for (int j = left ; j < right + 1; ++j){
ListNode* temp = cur -> next ;
cur -> next = prev ;
prev = cur ;
cur = temp ;
}
pre -> next = prev;
tail -> next =cur ;
ListNode* newHead = dummy -> next ;
delete dummy;
return newHead;
}
};
疑惑
从dummy开始走的话不是left就好吗,为什么要减去1?
cpp
ListNode* pre = dummy;
for (int i = 0 ; i < left -1 ;++i){
pre = pre -> next ;
}
先明确核心目标
pre的作用是定位到left位置节点的前驱节点 (比如left=2时,pre要指向节点 1),这样后续才能把反转后的区间 "接" 在pre后面。要找的是前驱节点!!!!!
为什么是left-1次?用例子拆解
假设left=2(对应链表节点是第二个节点,值为 2),我们一步步看循环次数的逻辑:
| 循环次数 | pre的初始位置 |
循环条件 i < left-1 (即i < 1) |
循环后pre的位置 |
说明 |
|---|---|---|---|---|
| 初始状态 | dummy (指向节点 1 的前一个) |
- | dummy |
dummy是第 0 个 "虚拟节点", 节点 1 是第 1 个, 节点 2 是第 2 个 |
| i=0 | dummy |
0 < 1 → 执行 | pre = dummy->next → 节点 1 |
这是left-1=1次循环的唯一一次执行 |
| i=1 | 节点 1 | 1 < 1 → 不执行 | 节点 1 | 循环结束,pre正好是节点 2(left=2)的前驱 |
如果按你的想法写成i < left(即i < 2),会发生什么?
- i=0:
pre从dummy→节点 1 - i=1:
pre从节点 1→节点 2 - 循环结束后
pre指向节点 2(left 位置本身),而非前驱节点,后续无法衔接反转区间。
再用通用规律总结
我们给链表节点做 "位置编号"(从 1 开始):
dummy:虚拟节点,编号 0(是节点 1 的前驱)- 节点 1:编号 1(是节点 2 的前驱)
- 节点 2:编号 2(是节点 3 的前驱)
- ...
- 节点
k:编号k(是节点k+1的前驱)
要找到节点left的前驱 ,就是找编号为left-1的节点:
- 从编号 0 的
dummy出发,需要走left-1步(循环left-1次),才能到达编号left-1的节点。
极端情况验证(left=1)
如果left=1(要反转第一个节点),left-1=0,循环条件i < 0不执行,pre停在dummy:
- 这正是我们需要的!因为第一个节点的前驱就是
dummy,完美适配边界场景。
总结
pre的目标是left 位置节点的前驱,而非 left 位置本身;- 从
dummy(编号 0)出发,到编号left-1的前驱节点,需要走left-1步(循环left-1次); - 如果写成
i < left,会多走 1 步,导致pre指向 left 位置本身,失去 "前驱" 的作用,后续无法衔接反转区间。
简单记:找前驱,走left-1步;找自身,走left步 。这里我们要找前驱,所以是left-1次循环。
3 小结
链表的部分写的好艰辛,我感受到一个很重要的特点就是:
指针有自己的职能,不能混用。
有点像化学里的试管------不能把试剂随意乱放在同一根试管里面。
为什么这样说呢?
首先,虚拟头节点的dummy通常是头节点有修改的情况下使用,防止丢失节点(?
然后cur就只是遍历, pre , tail 存放好部分反转链表的头和尾,在反转过程中temp 就作为一个容器防止成环、节点丢失 、逻辑混乱...
各有职能, 各司其职 。 而我一开始混乱的代码,总是觉得这个节点也许可以复用?但考虑不好就会有很多问题。
第二个就是经常容易出错的循环条件,这个最好还是在写代码前考虑好边界,用模拟数据走一遍。
刷leetcode不仅仅是码字,会语法是最小的一部分,草稿纸上得出来的思路用程序实现更重要。
链表这一块还没上道,多练练,找找感觉。
召唤ai助教~
你在学习反转链表 II 这个题目时,不仅自己动手尝试了代码,还深入思考了指针的职能和循环边界问题,这种复盘和总结的方式特别棒!
我先帮你把核心疑问彻底讲透,再巩固你总结的关键点,让你对链表局部反转的逻辑理解更扎实。
一、先彻底解答你的核心疑惑:为什么循环次数是 left - 1?
你已经意识到 pre 的目标是找到 left 位置节点的前驱节点,我们用更直观的方式拆解这个循环逻辑:
1. 先明确 "位置编号" 和 "步数" 的对应关系
我们给链表节点做 "位置标记"(结合 dummy 虚拟头):
- dummy 节点:位置 0(是真正头节点的前驱)
- 原链表第 1 个节点(head):位置 1
- 原链表第 2 个节点:位置 2
- ...
- 原链表第 left 个节点:位置 left
2. 目标:从 dummy(位置 0)走到 left 节点的前驱(位置 left-1)
要从位置 0 到位置 left-1,需要走 left-1 步 ,对应循环次数就是 left-1 次。
3. 用具体例子验证(left=2)
| 循环变量 i | 循环条件 i < left-1(即 i < 1) |
pre 位置变化 |
|---|---|---|
| 初始 | - | dummy(0) |
| i=0 | 成立,执行循环 | pre → 位置 1(节点 1) |
| i=1 | 不成立,循环结束 | 停在位置 1 |
最终 pre 正好是 left=2 节点(节点 2)的前驱,这就是循环次数必须是 left-1 的核心原因。
如果写成 i < left(i<2),会多走一步:i=1 时循环仍成立,pre 会走到位置 2(节点 2),也就是 left 节点本身,失去了 "前驱" 的作用,后续无法衔接反转后的链表。
二、你总结的 "指针职能" 思路,我帮你提炼得更清晰
你说 "指针有自己的职能,不能混用",这个感悟特别精准!
我们把这段代码里的每个指针 "职能" 明确下来:
| 指针名 | 核心职能 |
|---|---|
| dummy | 统一处理边界(比如 left=1 时,原头节点没有前驱),避免单独判断头节点场景 |
| pre | 固定指向 "反转区间的前驱节点",是衔接前半段和反转段的 "锚点" |
| cur | 遍历反转区间的节点,是反转操作的 "当前节点" |
| tail | 记录反转区间的原始第一个节点(反转后会变成反转段的最后一个节点),用于衔接后半段 |
| prev | 反转链表时的 "前驱节点"(常规链表反转的经典指针),最终指向反转段的新头节点 |
| temp | 临时保存 cur 的下一个节点,防止反转时丢失后续节点(避免链表断裂) |
你的第一版代码出错,核心就是指针职能混乱 :比如让 cur 既负责定位又负责反转,且没有 pre/tail 这类 "锚点指针",导致反转后链表衔接不上。
三、循环条件的 "避坑技巧"
你提到 "循环条件要先用模拟数据走一遍",这是链表题的关键技巧,我补充两个实用方法:
- 小例子验证 :写循环前,用最简单的例子(比如 left=2、right=4)手动走一遍循环次数,确认边界(比如 j 从 left 到 right+1,共
right-left+1次循环,正好反转 right-left+1 个节点)。 - 明确循环目标 :先想 "这个循环要做什么",再推导次数:
- 找前驱:循环
left-1次 → 到 left 节点的前驱 - 反转区间:循环
right-left+1次 → 反转 left 到 right 的所有节点 - 插入式反转(进阶写法):循环
right-left次 → 逐个把节点插入到前驱后
- 找前驱:循环
总结
pre循环次数是left-1的核心:目标是找到 left 节点的前驱 ,从 dummy(位置 0)到前驱(位置 left-1)需要走left-1步。- 链表局部反转的关键:用
pre(前锚点)和tail(后锚点)固定反转区间的前后边界,避免链表断裂;每个指针各司其职,不混用。 - 链表题避坑核心:先在草稿纸上明确指针职能和循环目标,用小例子验证循环边界,再动手写代码。
你现在已经能复盘自己的错误,还能总结出 "指针职能" 这种核心规律,说明已经在理解链表的本质了 ------ 链表题的关键从来不是语法,而是指针的定位和衔接逻辑,多练几个局部反转、删除、插入的题目,很快就能找到感觉!