一、FOC概述
FOC(Field-Oriented Control,磁场定向控制)是一种电机控制策略,又称矢量控制,是通过控制变频器输出电压的幅值和频率控制三相直流无刷电机的一种变频驱动控制方法。
它的基本思想是选取电机的某个旋转磁场轴作为设定的同步旋转坐标轴,实质是运用坐标变换将三相静止坐标系下的电机相电流转换到相对于转子磁极轴线静止的旋转坐标系上,通过控制旋转坐标系下的矢量大小和方向达到控制电机目的。
二、FOC控制过程
在无刷直流电机中,可以选择转子磁场、气隙磁场和定子磁场三种旋转磁场轴。一般来说,选择转子磁场作为FOC控制的同步旋转轴。
FOC的基本做法是通过坐标变换,将正弦波定子电流分解成与磁场平行的磁场分量电流和与磁场垂直的转矩分量电流,分别称为直轴电流和交轴电流,并对这两种电流进行控制。 这种分解让磁通电流分量和转矩电流分量完全解耦,类似于方波驱动控制,从而实现了稳定和高性能的控制。
FOC 控制主要由 Clark 变换、Park 变换、Park 逆变换、PID 控制、SVPWM控制五个模块组成,如下图1所示。

图1 FOC控制流程图

三、坐标系变换
无刷直流电机的方程比较复杂,为了方便处理,一般采用坐标变换理论对其进行相应的处理。
处理的方式基本上就是,利用坐标变化将电机转子变量和定子变量变换到一个旋转的坐标系当中,该坐标系就是实现 FOC 算法必须选取的磁场定向轴,它的旋转速度为w。
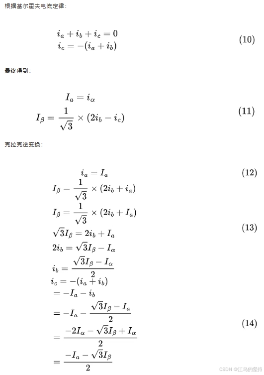
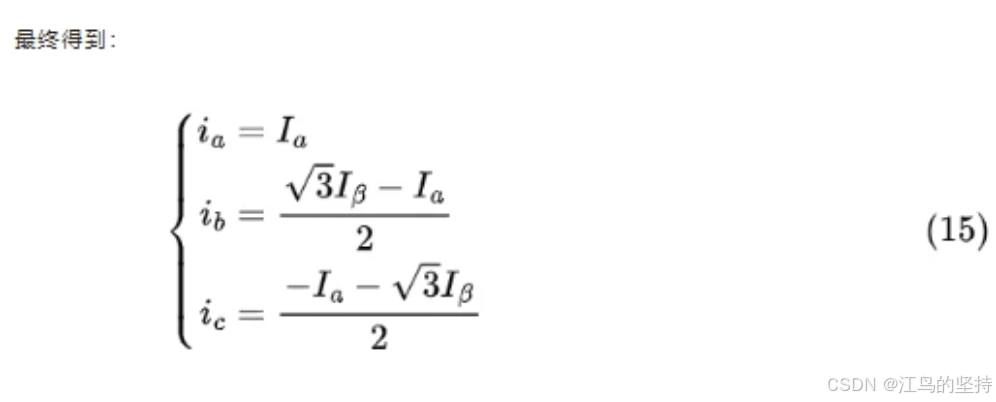
克拉克变换和逆变换(Clark):
Clark变换是将三相定子坐标系变换到两相静止坐标系中的过程:





帕克变换和逆变换(Park)



四、SVPWM技术
SVPWM(Space Vector Pulse Width Modulation) 算法已广泛应用于交流变频调速系统中,该算法以电机为研究对象,主要研究如何控制定子绕组的电压使电机获得圆形恒定磁场。
与其他控制方法相比,SVPWM 控制三相逆变器具有直流母线电压利用率高、在调节输出电压基波大小的同时降低输出电压谐波、并且可以降低逆变器状态转换过程中的开关动作频率。
采用SVPWM 矢量控制可以快速控制电机输出转矩和转速,使其具有更好的动态性能。
要实现一个恒定大小的旋转磁场,我们可以先获得一个恒定大小的旋转电压矢量。
通过使用相位互差120度的三个矢量,我们可以合成一个大小不变的旋转电压矢量。
实际上,电机的三个绕组本身就是相互相位差120度的,因此,通过按正弦变化的方式控制电压,我们可以得到这个合成电压矢量,从而实现恒定大小的旋转磁场。









这个部分也可以参考 我的另一篇文章《浅析SVPWM调制技术》