题目描述
给你一个二叉树的根节点 root ,判断其是否是一个有效的二叉搜索树。
有效 二叉搜索树定义如下:
- 节点的左子树只包含严格小于当前节点的数。
- 节点的右子树只包含 严格大于 当前节点的数。
- 所有左子树和右子树自身必须也是二叉搜索树。
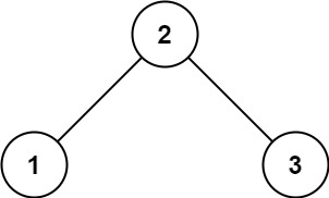
示例 1:

输入:root = [2,1,3]
输出:true
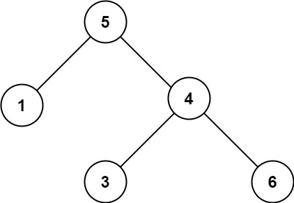
示例 2:

输入:root = [5,1,4,null,null,3,6]
输出:false
解释:根节点的值是 5 ,但是右子节点的值是 4 。
提示:
- 树中节点数目范围在
[1, 104]内 -231 <= Node.val <= 231 - 1
解决方案:
这段代码的核心功能是判断一棵二叉树是否为有效的二叉搜索树(BST) (满足:左子树所有节点值 < 当前节点值 < 右子树所有节点值,且左右子树也必须是 BST),采用「递归 + 上下界约束」的思路逐节点校验,时间复杂度 O(n)(n 为节点数),空间复杂度 O(h)(h 为树的高度),是该问题的经典最优解法。
核心逻辑
代码的核心是为每个节点设定严格的数值上下界,递归校验节点值是否在合法区间内,同时将约束传递给左右子树:
- 递归辅助函数
f:参数为当前节点node、当前节点值的下界l(左边界)、上界r(右边界):- 边界条件:空节点直接返回
true(空树是合法的 BST); - 当前节点值校验:取出节点值
dx,若dx小于等于下界l或大于等于上界r,说明违反 BST 规则,返回false; - 递归校验子树:
- 左子树的上下界更新为
(l, dx)(左子树所有节点值必须 < 当前节点值dx); - 右子树的上下界更新为
(dx, r)(右子树所有节点值必须 > 当前节点值dx); - 只有左右子树都合法,才返回
true;
- 左子树的上下界更新为
- 边界条件:空节点直接返回
- 主函数
isValidBST:- 调用辅助函数时,为根节点设定初始上下界:下界为
LLONG_MIN(long long 类型的最小值)、上界为LLONG_MAX(long long 类型的最大值),覆盖所有整数范围,避免数值溢出; - 最终返回辅助函数的校验结果。
- 调用辅助函数时,为根节点设定初始上下界:下界为
总结
- 核心思路:通过递归传递上下界约束,而非仅对比当前节点与左右子节点(避免 "仅局部满足、整体不满足" 的错误);
- 关键细节:使用
LLONG_MIN/LLONG_MAX(需包含<climits>头文件)而非普通 int 极值,防止节点值为 int 最大值 / 最小值时的溢出问题; - 效率特点:每个节点仅被校验一次,时间
O(n);递归栈空间取决于树的高度,平衡树为O(log n),退化为链表时为O(n)。
函数源码:
cpp/** * Definition for a binary tree node. * struct TreeNode { * int val; * TreeNode *left; * TreeNode *right; * TreeNode() : val(0), left(nullptr), right(nullptr) {} * TreeNode(int x) : val(x), left(nullptr), right(nullptr) {} * TreeNode(int x, TreeNode *left, TreeNode *right) : val(x), left(left), right(right) {} * }; */ class Solution { public: bool f(TreeNode* node,long long l,long long r){ if(!node) return true; int dx=node->val; if(l>=dx||dx>=r) return false; return f(node->left,l,dx) && f(node->right,dx,r); } bool isValidBST(TreeNode* root) { return f(root,LLONG_MIN,LLONG_MAX); } };