题目描述
给你一个二叉树的根节点 root , 检查它是否轴对称。
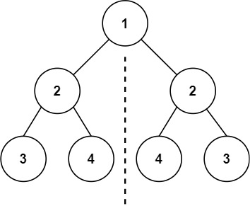
示例 1:

输入:root = [1,2,2,3,4,4,3]
输出:true
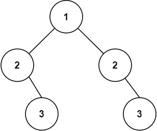
示例 2:

输入:root = [1,2,2,null,3,null,3]
输出:false
提示:
- 树中节点数目在范围
[1, 1000]内 -100 <= Node.val <= 100
解决方案:
这段代码的核心功能是判断一棵二叉树是否为对称二叉树 (即二叉树的左子树和右子树互为镜像),复用了 "判断两棵树是否相同" 的逻辑,将 "对称判断" 转化为 "左子树与右子树是否镜像相同",采用递归实现,时间复杂度 O(n)(n 为节点数),空间复杂度 O(h)(h 为树的高度),是该问题的经典简洁解法。
核心逻辑
代码的核心思路是 "对称 = 左子树与右子树镜像相同",通过复用 isSameTree 函数实现,关键是把 "镜像对比" 转化为 "两棵树的对比":
- 复用判断相同树的逻辑 :
isSameTree函数负责校验两棵树是否节点值、结构完全一致(前序递归,先校验当前节点,再递归校验左右子节点); - 对称判断的转化 :判断二叉树对称,等价于判断 "根节点的左子树" 和 "根节点的右子树" 是否满足 "镜像相同"------ 而
isSameTree(root->left, root->right)恰好完成这个校验(因为isSameTree会逐节点对比root->left的左子节点与root->right的左子节点、root->left的右子节点与root->right的右子节点,这正是镜像对称的要求); - 边界处理 :若根节点为空,
root->left和root->right均为空,isSameTree会返回true,符合 "空树是对称的" 逻辑。
总结
- 核心思路:将 "对称二叉树判断" 转化为 "左子树和右子树是否相同" 的问题,复用已有逻辑,简化代码;
- 关键等价性:对称二叉树的本质是「左子树与右子树镜像全等」,而
isSameTree(root->left, root->right)恰好完成这种镜像校验; - 效率特点:与判断相同树的效率一致,每个节点仅遍历一次,时间
O(n),递归栈空间取决于树的高度,是最优解法之一。
函数源码:
cpp/** * Definition for a binary tree node. * struct TreeNode { * int val; * TreeNode *left; * TreeNode *right; * TreeNode() : val(0), left(nullptr), right(nullptr) {} * TreeNode(int x) : val(x), left(nullptr), right(nullptr) {} * TreeNode(int x, TreeNode *left, TreeNode *right) : val(x), left(left), right(right) {} * }; */ class Solution { public: bool isSameTree(TreeNode* p, TreeNode* q) { if(p==nullptr || q==nullptr){ return p==q; } return q->val==p->val && isSameTree(p->left,q->right) && isSameTree(p->right,q->left); } bool isSymmetric(TreeNode* root) { return isSameTree(root->left,root->right); } };