数据结构/软件工程,能回顾的都回顾一下
图
-
不可能为空图,至少包含一个顶点。树可以为空树
-
有向完全图边为n(n-1);无向完全图边为n(n-1) / 2;
-
连通图:任意两顶点之间都有路径可以连通;完全图:任意两点之间都有直接连接的路径
-
权值:边代表的权值
最小生成子树------目的是用权值最小(代价最小)的边连通
-
解决什么问题:通过连接图上权值最小的边,使得图成为连通图。
-
应用:在网络连接上,花费最少的材料使得局域网连通
-
最小生成子树------Prim算法
(1)适用于 顶点较少的图,是一个不断把顶点加入的过程
(2)步骤:
①初始化一棵空树
②选择图中任一顶点加入树中
③从图中选择一条权值最小 且不会构成回路的边,加入到树中
④并把相应的顶点也加入树中
⑤重复步骤③④直到图上所有的顶点都 加入到树中
(3)使用prim算法:当图中权值各不相同时,最小生成树唯一;当存在相同权值的边时,生成树可能不唯一。
(4)例题:
忘记把4画上去了,将就看吧

(5)伪代码
cpp
void Prim(G, T) // G为图,T为树
Begin
T = 空树
T = {w} //w为图上任意一个顶点
while (V - U != 空集) //V为图上顶点的集合,U为树上节点的集合
{
选择u∈U,v∈V-U,且(u,v)是权值最小的边
U = U + {v} //将顶点v加入树中
T = T U (u,v) //将这条权值最小的边加入树中
}
End
- 最小生成子树------Kruskal算法
(1)适用:边数较少的图,不断加入边的过程
(2)步骤:
①将图上所有顶点加入森林中
②从侯选边中选择一条权值最小的边,在森林中不能形成回路,加入到森林中
③重复步骤②,直到森林中所有的节点都连通
(3)例题说明

(4)伪代码
cpp
void Kruskal(V,T) //V为图上所有顶点的集合,T为树
Begin
T = V; //将图上所有顶点加入树中
nums = n; //n为图中顶点个数,每个顶点自成一个连通分量
while (nums > 1)
{
选择(u,v)是权值最小的边,且u,v属于不同的连通分量
T = T U (u,v) //将这条边加入树中
nums--;
}
End
- Prim和Kruskal说明
(1)Prim和Kruskal得到的最小生成树可能不同
(2)Prim每次得到的最小生成树都不一定相同 (可能存在权值相同的边)
(3)Prim和Kruskal得到最小生成树的代价是相同的 !
(4)在Prim和Kruskal中,在所选边的基础上,额外选边时,一定不能形成回路
图的遍历
参考:https://zhuanlan.zhihu.com/p/685010225
- DFS深度优先遍历方法
(1)步骤
类似树的先序遍历:每次不撞南墙不回头,使用递归的思想遍历 for循环
【标准语句】
- 从图中某个顶点v出发,访问v。
- 找出刚访问过的顶点的第一个未被访问的邻接点,访问该顶点。以该顶点为新的刚访问过的顶点,重复该步骤,直至刚访问过的顶点没有未被访问的邻接点为止。
- 返回前一个访问过的且仍有未被访问的邻接点的顶点,找出该顶点的下一个未被访问的邻接点,访问该顶点。
- 重复第二步和第三步,直至图中所有顶点都被访问过,搜索结束。
【我的说法】
①初始化数组visitied[n]=0,n为图中顶点个数,用于记录顶点访问情况,不重复访问
②从图的某个顶点v出发,访问该顶点。
③找出刚访问过顶点的第一个未被访问过的邻接点,访问该顶点。
④以该顶点作为新的刚访问过的顶点,重复该步骤,直到刚访问过的顶点的所有相邻点均被访问为止。
⑤返回上一个访问过的 且有未被访问的邻接点的顶点,找出该顶点的下一个未被访问的邻接点并访问。
⑥重复③④步骤,直到图上所有顶点均被访问过,搜索结束。
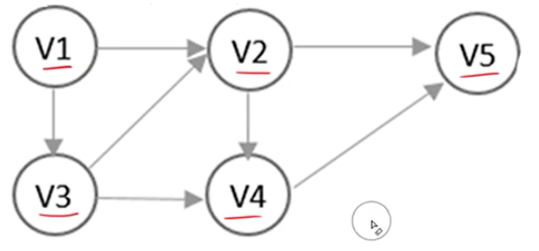
(2)DFS遍历例题
无向图:V1-V2-V4-V8-V5-V3-V6-V7

有向图(树的先序遍历):V1-V2-V5-V4-V3 或 V1-V3-V4-V5-V2

(3)DFS遍历伪代码
for循环的递归算法 时间复杂度O(n^2)
递归思想,需要借助递归工作栈,
cpp
visitied[n] = 0; // n为图中顶点个数
void DFS(G,v) // G为要访问的图,v为图的初始顶点
Begin
visited[v] = 1;
for (v的所有相邻节点w; w存在;)
{
if (visited[w] == 0)
{
DFS(G,w);
}
}
End
- 广度优先遍历
(1)思想:使用队列思想
(2)步骤:
①为了避免同一顶点被访问多次,初始化visited[n]数组,n为顶点个数,初始状态值全为0
②访问图的某个顶点v,visitied[v]=1,接着将该顶点入队列Q,
③当队列Q不为空时,重复以下步骤:
先将队头元素w出队,
再依次访问w的每个相邻节点w1,若w1未被访问过,则访问该节点,visitied[w1]=1,并将其加入队列
(3)BFS伪代码:时间复杂度O(n^2)。每个元素只入队一次
cpp
visited[n] = 0; //n为图中顶点个数
void BFS(G,v)
Begin
InitQueue(Q); // 初始化队列Q
visitied[v]=0; //访问顶点v
Enqueue(Q,v); //将顶点v加入队列
while (!Q) //Q非空时,循环
{
Dequeue(Q,u); //从队列中取出第一个顶点,命名为u
for(u的每一个相邻节点w;w存在;)
{
if (visited[w] == 0)
{
visited[w] = 1;
Enqueue(Q,w);
}
}
}
End
图的拓扑排序AOV------目的是找到顺序
-
目的:在有向无环图中,找出图上各顶点的顺序,不唯一。
-
应用:常用来对有依赖关系的任务进行排序,有向无环图常用来表示活动之间的依赖关系,也叫AOV网。
在工程中,可以使用拓扑排序列出子过程的先后顺序,按照顺序即可完成整个工程
在软件模块编译中,通过拓扑排序找到模块之间的依赖关系,按照依赖顺序编译,即可编译整个工程。
在课程学习中,某门课程存在先修课,这时可以对课程进行建模,利用拓扑结构找到课程学习顺序。

- 拓扑排序过程:
(1)从图中找到入度为0的顶点,作为访问的第一个节点
(2)从图中删去该顶点和相关的弧或边
(3)从剩余顶点中再找出入度为0的顶点,重复(1)(2),直到图上所有的顶点均被列出,得出的结果即为该图的拓扑排序
-
例题 1-2-4-3-5

-
Kahn算法------基于队列的调度算法
参考:https://cloud.tencent.com/developer/article/2617334
初始化:①初始化队列,将图中所有入度为0的点加入队列
迭代:②从队列中取出队头元素v,加入到拓扑排序中,将该顶点及其所有相邻的边<u,v>从图中删去
③若此时顶点v也变为入度为0的点,则将顶点V加入队列
④重复2-3,直到队列为空
⑤若此时拓扑排序的顶点个数与图中顶点个数相等,则排序成功,否则排序失败
相应伪代码如下:
cpp
void karn(G,v)
Begin
int degrees[n]; //存放图中各顶点的入度
InitQueue(Q); //初始化队列
vector<int> topo; //存储拓扑排序序列(因为不知道n为多少,使用vector更合理)
for (int i=0;i<n;i++)
{
if (degrees[n]==0)
{
Enqueue(Q,i); //将入度为0的点入队
}
}
while(!Q)
{
Dequeue(Q,v); //从队头中取出元素
topo.push(v);
for (v的每个相邻顶点u)
{
degrees[u]--;
if (degress[u]==0)
{
Enqueue(Q,u);
}
}
}
if (topo.size() == n)
{
printf("拓扑排序成功");
} else {
printf("拓扑排序失败");
}
End
图的最短路径------目的是找到两点之间最短距离
-
通过找到A点和B/C/D之间最短距离,近而求得A与终点之间的最短距离
-
步骤
①以图中初始顶点v作为入口,计算v到相邻顶点的距离,若v无法到达某个顶点,则记为∞。存储在数组中,一轮结束后,比较出距离最短的路径<v,w>,即可得出v到w的最短距离
②以v,w作为路径的一部分,找出v,w到其他顶点的距离,存储在数组中,一轮结束后,比较出最短的距离<w,i>,此时即可得出v到i的最短距离
③重复步骤②,直到找出v到终点的最短距离
- 算法伪代码------迪杰斯特拉算法
适用于:求某个顶点到其他所有顶点之间的最短路径(单源),不允许权值为负数
todo迪杰斯特拉好难 学不会
- 算法伪代码------Floyd算法
迪杰斯特拉算法,只能一次计算出某个点到其他点之间的最短距离,比如A到BCD点之间最短距离
Floyd算法可以一次性计算出所有点之间的最短距离。适用于稠密图。
基于动态规划的思想:map[i][j] = min(map[i][j], map[i][k] + map[j][k])。比较:i到j之间的距离 VS i通过k中转到j的距离
cpp
void Floyd()
{
Begin
for(int i = 0; i < num; i++)
{
for(int j = 0; j < num; j++)
{
for(int k = 0; k < num; k++)
{
if (map[i][j] > map[i][k] + map[k][j])
{
map[i][j] = map[i][k] + map[k][j];
}
}
}
}
End
}
图的最快完成时间AOE网------关键路径 关键活动 活动余量 最长时间
1.应用:在工程管理上,通过计算关键路径和关键活动,可以判断出完成一项工程所需要的最少时间,和所必须要完成的活动。
在工程管理上,可以优先压缩关键活动的工期,其余活动可以灵活安排
2.关键路径:我从哪里来,我要当最大。
只有先完成需要时间最长的步骤后,才能开展下一步活动。
- 活动余量
关键活动余量0,不能晚开始
非关键活动余量=关键路径+包围法