大学院-筆記試験練習:线性代数和数据结构(12)
1-前言
为了升到自己目标的大学院,所作的努力和学习,这里是线性代数和数据结构部分。

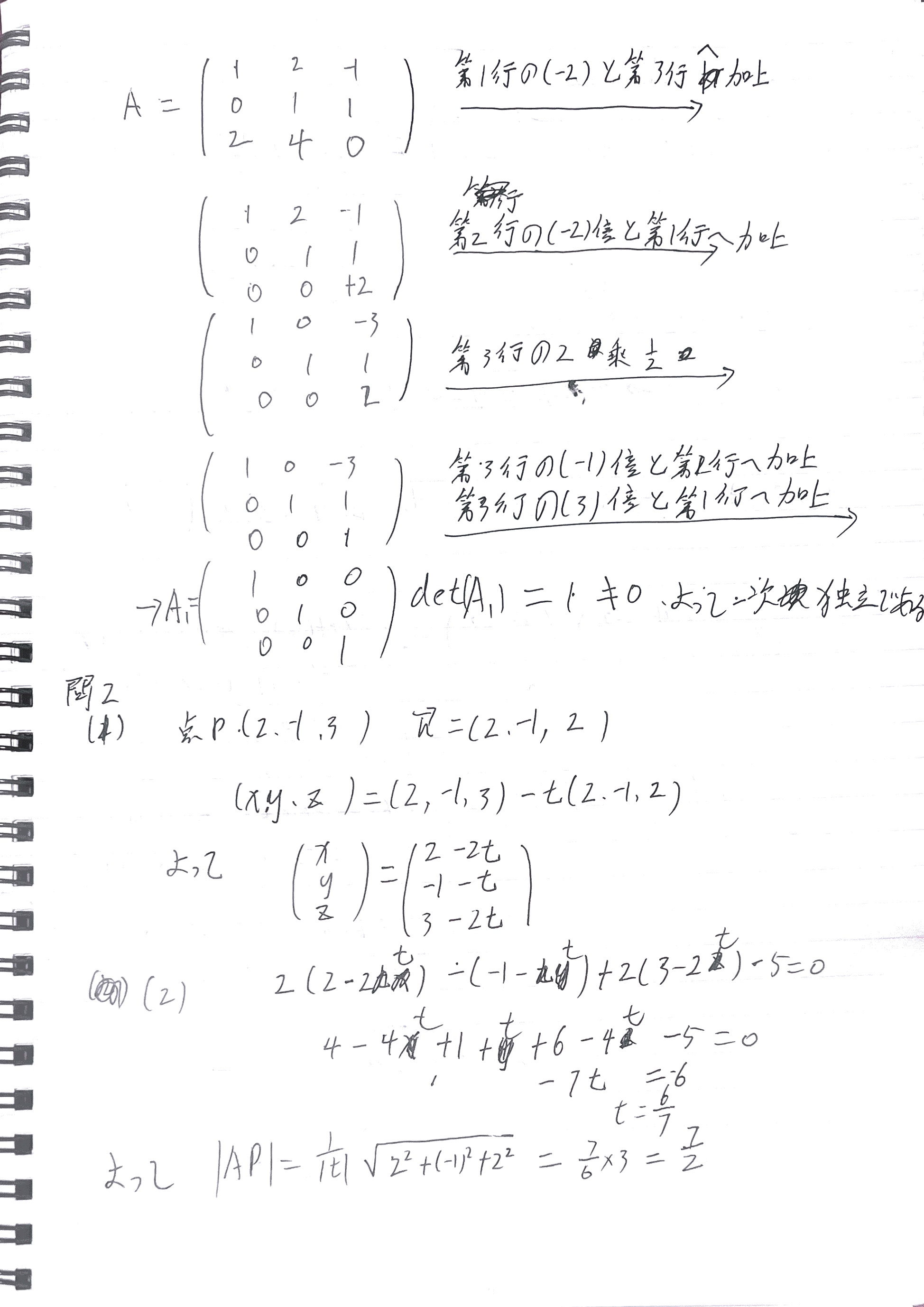
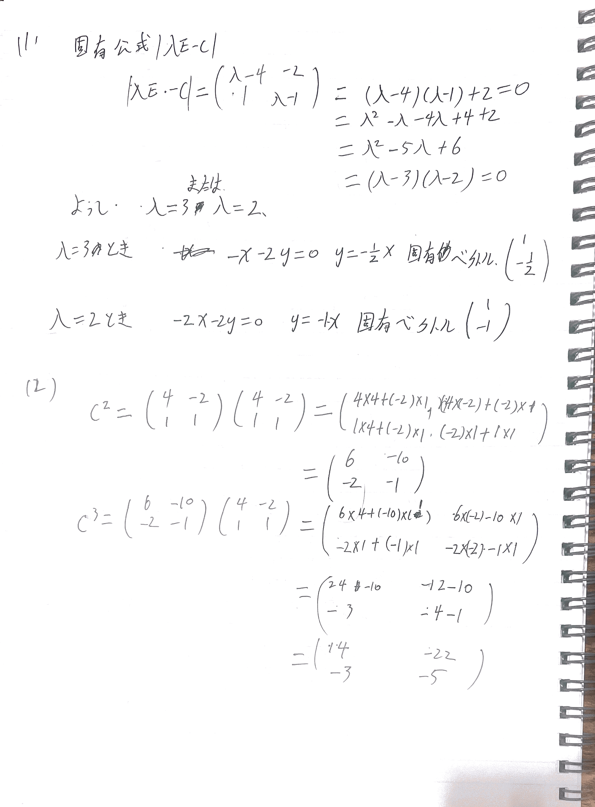
2-线性代数-题目

3-线性代数-参考答案


4-数据结构-题目
【模擬問題1】
以下の問いにすべて答えよ。
問1
要素 (x_1, x_2, \ldots, x_n) からなる連結リストを、以下の実装方法AおよびBで実現したときの動作を考える。
- 実装方法A :先頭要素へのアドレスを変数
topが保持する。 - 実装方法B :先頭要素へのアドレスを変数
topが保持し、末尾要素へのアドレスを変数rearが保持する。
(1) 実装方法Bにおいて、
「末尾に要素を追加し、先頭の要素を削除する」操作を繰り返すことで実現されるデータ構造の名称を答えよ。
(2) 実装方法AおよびBそれぞれについて、
末尾の要素を探索するのに必要な最悪時間計算量を、要素数 (n) を用いてオーダー表記で答えよ。
問2
配列の要素数を (n) とする。
以下の特徴をもつソートアルゴリズムの名称をすべて答えよ。
- 最悪時間計算量が (O(n \log n)) である。
- 安定なソートである。
問3
ハッシュ法を用いて、データ集合
S = {18, 7, 25, 3, 14, 11}
を順に格納することを考える。
ハッシュ関数として
h(a) = a \\bmod 5
を用いるとき、以下に答えよ。
(1) 最初に衝突が発生するデータの値を答えよ。
(2) 衝突が発生しない場合の探索にかかる平均時間計算量を、オーダー表記で答えよ。
【模擬問題2】
以下の問いにすべて答えよ。
問1
要素 (x_1, x_2, \ldots, x_n) からなる単方向連結リストに対し、
次の操作を考える。
- 先頭に要素を挿入する。
- 指定された要素を探索する。
(1) 上記2つの操作について、それぞれの最悪時間計算量を、要素数 (n) を用いてオーダー表記で答えよ。
(2) この連結リストにおいて、探索時間を改善するために考えられるデータ構造を1つ挙げよ。
問2
配列を用いたソートアルゴリズムについて、以下の条件をすべて満たすものの名称を答えよ。
- 最悪時間計算量が (O(n^2)) である。
- 安定なソートである。
問3
ハッシュ法による探索アルゴリズムについて、以下に答えよ。
(1) ハッシュ関数の設計が不適切な場合に生じる問題を1つ述べよ。
(2) チェイン法を用いた場合の、最悪時間計算量をオーダー表記で答えよ。
5-数据结构-参考答案

6-总结
训练成长。!!