目录
[一、CRT 的痛点:模数不互质怎么办?](#一、CRT 的痛点:模数不互质怎么办?)
[1.1 回顾中国剩余定理的局限](#1.1 回顾中国剩余定理的局限)
[1.2 一个直观的非互质模数方程组示例](#1.2 一个直观的非互质模数方程组示例)
[二、EXCRT 的核心思想:迭代合并方程](#二、EXCRT 的核心思想:迭代合并方程)
[2.1 两个方程的合并原理](#2.1 两个方程的合并原理)
[步骤 1:转化为不定方程](#步骤 1:转化为不定方程)
[步骤 2:求解线性同余方程](#步骤 2:求解线性同余方程)
[步骤 3:合并为新方程](#步骤 3:合并为新方程)
[2.2 多方程的迭代合并流程](#2.2 多方程的迭代合并流程)
[3.1 扩展欧几里得算法(exgcd)](#3.1 扩展欧几里得算法(exgcd))
[C++ 实现](#C++ 实现)
[3.2 快速乘(qmul)](#3.2 快速乘(qmul))
[C++ 实现](#C++ 实现)
[四、EXCRT 的完整 C++ 实现](#四、EXCRT 的完整 C++ 实现)
[4.1 完整代码](#4.1 完整代码)
[4.2 代码分析](#4.2 代码分析)
[五、实战例题 1:洛谷 P4777 【模板】扩展中国剩余定理](#五、实战例题 1:洛谷 P4777 【模板】扩展中国剩余定理)
[5.1 题目分析](#5.1 题目分析)
[5.2 解题思路](#5.2 解题思路)
[5.3 C++ 实现(模板直接套用)](#5.3 C++ 实现(模板直接套用))
[六、实战例题 2:洛谷 P4774 [NOI2018] 屠龙勇士](#六、实战例题 2:洛谷 P4774 [NOI2018] 屠龙勇士)
[6.1 题目分析](#6.1 题目分析)
[6.2 解题思路](#6.2 解题思路)
[6.3 C++ 实现(核心部分)](#6.3 C++ 实现(核心部分))
[6.4 代码分析](#6.4 代码分析)
[7.1 线性同余方程转化错误](#7.1 线性同余方程转化错误)
[7.2 溢出防护不到位](#7.2 溢出防护不到位)
[7.3 忽略无解情况判断](#7.3 忽略无解情况判断)
[7.4 特解调整错误](#7.4 特解调整错误)
[7.5 忘记额外限制条件](#7.5 忘记额外限制条件)
[八、EXCRT 与 CRT 的对比及应用场景](#八、EXCRT 与 CRT 的对比及应用场景)
[8.1 两者核心对比](#8.1 两者核心对比)
[8.2 EXCRT 的典型应用场景](#8.2 EXCRT 的典型应用场景)
前言
在数论的线性同余方程组求解领域,中国剩余定理(CRT)无疑是经典工具,但它 "模数两两互质" 的严苛前提,让其在面对复杂场景时束手无策。而扩展中国剩余定理(EXCRT)的出现,彻底打破了这一限制 ------ 它无需模数互质,能高效求解任意线性同余方程组,成为算法竞赛中处理多模数问题的 "终极武器"。本文将从 CRT 的局限性切入,层层拆解 EXCRT 的迭代合并思想、数学推导与代码实现,手把手教你掌握从理论到实战的全流程,让你在非互质模数方程组问题中轻松破局。下面就让我们正式开始吧!
一、CRT 的痛点:模数不互质怎么办?
1.1 回顾中国剩余定理的局限
经典中国剩余定理的核心前提是所有模数两两互质。例如方程组:

由于 3、5、7 两两互质,CRT 能通过构造法快速求出解。但如果遇到模数不互质的方程组,比如:

4 和 6 的最大公约数为 2≠1,CRT 的构造法彻底失效 ------ 此时无法保证逆元存在,自然无法通过 CRT 的公式求解。而这类非互质模数的方程组,在竞赛中更为常见,EXCRT 正是为解决这类问题而生。
1.2 一个直观的非互质模数方程组示例
我们先看一个简单的非互质模数方程组,感受 EXCRT 的求解场景:

尝试手动求解:
- 由第一个方程得:x=4k+3(k 为整数);
- 代入第二个方程:4k+3≡5(mod 6),整理得 4k≡2(mod 6);
- 简化方程:两边同时除以 2(gcd (4,6)=2),得 2k≡1(mod 3),解得 k≡2(mod 3);
- 因此 k=3t+2,代入 x 的表达式得 x=4(3t+2)+3=12t+11;
- 最小非负解为 11,验证:11 mod 4=3,11 mod 6=5,完全满足方程组。
这个手动求解过程,其实蕴含了 EXCRT 的核心思想 ------将两个方程合并为一个等价方程,再逐步迭代合并所有方程,最终得到全局解。
二、EXCRT 的核心思想:迭代合并方程
2.1 两个方程的合并原理
EXCRT 的核心是**"化繁为简"**:**将 n 个线性同余方程逐步合并为 1 个等价的线性同余方程,最终的方程即为原方程组的解。**我们先聚焦最基础的两步:合并两个方程。
设两个线性同余方程为:

目标:找到一个新的线性同余方程 x≡R(mod M),使其与原两个方程等价(即解完全相同)。
步骤 1:转化为不定方程
由第一个方程得:x=k1⋅m1+r1(k₁为整数);将其代入第二个方程:k1⋅m1+r1≡r2**(mod m2)**;整理得:m1⋅k1≡(r2−r1)(mod m2)。
这是一个关于 k₁的线性同余方程,记为:a⋅k1≡c(mod b),其中:
- a=m1,b=m2,c=(r2−r1)mod m2。
步骤 2:求解线性同余方程
根据裴蜀定理,线性同余方程 a⋅k1≡c (mod b) 有解的充要条件是 gcd(a,b)∣c。设 d=gcd(a,b):
- 若 c%d≠0,则原方程组无解;
- 若 c%d==0,通过扩展欧几里得算法求出方程 a⋅k1+b⋅k2=d 的特解 k10,再将特解缩放 c/d 倍,得到方程 a⋅k1≡c(mod b) 的一个特解:
- 该方程的通解为:
(t∈Z)其中,
是通解的周期。
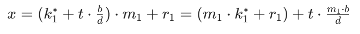
步骤 3:合并为新方程
将通解
代入
,得:

由于
(lcm 为最小公倍数),令
,则合并后的方程为:x≡R(mod M)这个新方程与原两个方程完全等价,至此完成两步合并。
2.2 多方程的迭代合并流程
对于 n 个线性同余方程,EXCRT 的求解流程为:
- 初始化合并后的方程为 x≡0(mod1)(任何整数都满足此方程,不影响结果);
- 依次将当前合并后的方程与第 i 个原始方程合并,得到新的合并方程;
- 若合并过程中出现无解情况(某一步线性同余方程无解),则整个方程组无解;
- 合并完所有方程后,最终方程 x≡R(modM) 的最小非负解 R 即为原方程组的最小非负解。
三、核心工具:扩展欧几里得与快速乘
要实现 EXCRT,必须依赖两个核心工具:扩展欧几里得算法 (求解线性同余方程)和快速乘(避免大整数溢出)。
3.1 扩展欧几里得算法(exgcd)
扩展欧几里得算法不仅能计算 a 和 b 的最大公约数,还能找到整数 x 和 y,使得 ax+by=gcd(a,b),是求解线性同余方程的基础。
C++ 实现
cpp
#include <iostream>
using namespace std;
typedef long long LL;
// 扩展欧几里得算法:返回gcd(a,b),通过引用返回ax + by = gcd(a,b)的特解x,y
LL exgcd(LL a, LL b, LL& x, LL& y) {
if (b == 0) {
x = 1, y = 0;
return a;
}
LL x1, y1, d = exgcd(b, a % b, x1, y1);
x = y1;
y = x1 - a / b * y1;
return d;
}
int main() {
LL a = 4, b = 6;
LL x, y;
LL d = exgcd(a, b, x, y);
cout << "gcd(" << a << "," << b << ")=" << d << endl;
cout << "特解:" << a << "*" << x << " + " << b << "*" << y << "=" << d << endl;
// 输出:gcd(4,6)=2;特解:4*(-1) +6*1=2
return 0;
}
3.2 快速乘(qmul)
当模数较大时(如 1e9×1e9),直接乘法会超出long long范围导致溢出。快速乘通过将乘法转化为加法,结合模运算,避免溢出。
C++ 实现
cpp
// 快速乘:计算(a*b) mod p,避免溢出
LL qmul(LL a, LL b, LL p) {
LL ret = 0;
while (b) {
if (b & 1) {
ret = (ret + a) % p;
}
a = (a + a) % p;
b >>= 1;
}
return ret;
}
int main() {
LL a = 1e18, b = 1e18, p = 1e9 + 7;
cout << qmul(a % p, b % p, p) << endl; // 安全计算(a*b) mod p
return 0;
}
四、EXCRT 的完整 C++ 实现
结合迭代合并思想、扩展欧几里得算法和快速乘,我们可以写出 EXCRT 的通用实现,适用于任意线性同余方程组(模数可互质或不互质)。
4.1 完整代码
cpp
#include <iostream>
using namespace std;
typedef long long LL;
const int N = 1e5 + 10; // 支持最多1e5个方程
LL m[N], r[N]; // m[i]为模数,r[i]为余数
int n; // 方程个数
// 扩展欧几里得算法
LL exgcd(LL a, LL b, LL& x, LL& y) {
if (b == 0) {
x = 1, y = 0;
return a;
}
LL x1, y1, d = exgcd(b, a % b, x1, y1);
x = y1;
y = x1 - a / b * y1;
return d;
}
// 快速乘:防止溢出
LL qmul(LL a, LL b, LL p) {
LL ret = 0;
while (b) {
if (b & 1) ret = (ret + a) % p;
a = (a + a) % p;
b >>= 1;
}
return ret;
}
// 扩展中国剩余定理:返回最小非负解,无解返回-1
LL excrt() {
LL M = 1, ret = 0; // 初始合并方程:x ≡ 0 (mod 1)
for (int i = 1; i <= n; ++i) {
LL a = M, b = m[i], c = (r[i] - ret) % b;
// 确保c为非负
if (c < 0) c += b;
// 求解线性同余方程 a*k ≡ c (mod b)
LL x, y, d = exgcd(a, b, x, y);
if (c % d != 0) return -1; // 无解
// 计算特解k* = x * (c/d),并调整为最小正特解
LL k1 = b / d; // 通解周期
x = qmul(x, c / d, k1); // 缩放特解,避免溢出
x = (x % k1 + k1) % k1; // 特解调整为最小正整数
// 更新合并后的方程:x ≡ ret + x*M (mod M*k1)
ret += x * M;
M *= k1;
ret = (ret % M + M) % M; // 确保ret为非负最小解
}
return ret;
}
int main() {
ios::sync_with_stdio(false);
cin.tie(nullptr);
// 输入方程个数
cin >> n;
for (int i = 1; i <= n; ++i) {
cin >> m[i] >> r[i];
}
LL ans = excrt();
if (ans == -1) {
cout << "无解" << endl;
} else {
cout << "最小非负解:" << ans << endl;
}
return 0;
}
4.2 代码分析
- 时间复杂度 :O(nlogM),其中 n 是方程个数,M 是最终合并后的模数。每个方程的合并过程中,扩展欧几里得和快速乘的时间复杂度均为O(logM);
- 空间复杂度 :O(n),仅需存储模数和余数数组,适用于大规模方程组(n≤1e5);
- 溢出防护 :通过快速乘
qmul避免大整数乘法溢出,支持模数乘积达1e18级别;- 通用性:无需模数互质,自动处理无解情况,返回最小非负解。
五、实战例题 1:洛谷 P4777 【模板】扩展中国剩余定理
5.1 题目分析
题目链接:https://www.luogu.com.cn/problem/P4777

题目描述:给定 n 组非负整数ai、bi,求解关于 x 的方程组的最小非负整数解:

输入描述:第一行一个整数 n,接下来 n 行每行两个非负整数ai、bi。
输出描述:一行一个整数,表示满足条件的最小非负整数 x。
示例输入:311 625 933 17
示例输出:809。
5.2 解题思路
直接套用 EXCRT 模板,将ai作为模数m[i],bi作为余数r[i],调用excrt函数即可。
5.3 C++ 实现(模板直接套用)
cpp
#include <iostream>
using namespace std;
typedef long long LL;
const int N = 1e5 + 10;
LL m[N], r[N];
int n;
LL exgcd(LL a, LL b, LL& x, LL& y) {
if (b == 0) {
x = 1, y = 0;
return a;
}
LL x1, y1, d = exgcd(b, a % b, x1, y1);
x = y1;
y = x1 - a / b * y1;
return d;
}
LL qmul(LL a, LL b, LL p) {
LL ret = 0;
while (b) {
if (b & 1) ret = (ret + a) % p;
a = (a + a) % p;
b >>= 1;
}
return ret;
}
LL excrt() {
LL M = 1, ret = 0;
for (int i = 1; i <= n; ++i) {
LL a = M, b = m[i], c = (r[i] - ret) % b;
if (c < 0) c += b;
LL x, y, d = exgcd(a, b, x, y);
if (c % d != 0) return -1;
LL k1 = b / d;
x = qmul(x, c / d, k1);
x = (x % k1 + k1) % k1;
ret += x * M;
M *= k1;
ret = (ret % M + M) % M;
}
return ret;
}
int main() {
ios::sync_with_stdio(false);
cin.tie(nullptr);
cin >> n;
for (int i = 1; i <= n; ++i) {
cin >> m[i] >> r[i];
}
cout << excrt() << endl;
return 0;
}
六、实战例题 2:洛谷 P4774 [NOI2018] 屠龙勇士
题目链接:https://www.luogu.com.cn/problem/P4774

6.1 题目分析
题目描述:玩家需按顺序杀死 n 条巨龙,每条巨龙有初始生命值ai、恢复能力pi。玩家用剑攻击 x 次后,巨龙生命值变为ai−x×ATK,随后巨龙不断恢复pi生命值,直至生命值非负。要求攻击后或恢复过程中生命值恰好为 0,求最小攻击次数 x,无解输出 - 1。
核心转化:
- 设剑的攻击力为ATK,则需满足 ai−x×ATK+k×pi=0(k 为非负整数);
- 整理得线性同余方程:ATK×x≡ai(modpi);
- 所有巨龙的方程构成线性同余方程组,求解最小正整数 x。
额外限制:攻击次数 x 需满足 x≥⌈ATKai⌉(否则攻击后生命值仍为正,无法通过恢复变为 0)。
6.2 解题思路
- 用 set 维护剑的攻击力,为每条巨龙选择符合规则的剑(攻击力不超过生命值的最大剑,无则选最小剑);
- 为每条巨龙构建线性同余方程 ATKi×x≡ai(modpi);
- 用 EXCRT 求解方程组,得到最小非负解 x;
- 检查 x 是否满足所有巨龙的攻击次数下限,若不满足则加上通解周期,直至满足。
6.3 C++ 实现(核心部分)
cpp
#include <iostream>
#include <set>
using namespace std;
typedef long long LL;
const int N = 1e5 + 10;
LL m[N], r[N], a[N]; // m[i]=p_i, r[i]=a_i, a[i]=ATK_i
LL s[N]; // 杀死巨龙后奖励的剑
LL limit; // 攻击次数下限
int n, p;
LL exgcd(LL a, LL b, LL& x, LL& y) {
if (b == 0) {
x = 1, y = 0;
return a;
}
LL x1, y1, d = exgcd(b, a % b, x1, y1);
x = y1;
y = x1 - a / b * y1;
return d;
}
LL qmul(LL a, LL b, LL p) {
LL ret = 0;
while (b) {
if (b & 1) ret = (ret + a) % p;
a = (a + a) % p;
b >>= 1;
}
return ret;
}
LL excrt() {
LL M = 1, ret = 0;
for (int i = 1; i <= n; ++i) {
LL A = qmul(a[i], M, m[i]);
LL B = m[i];
LL C = (r[i] - qmul(a[i], ret, B)) % B;
if (C < 0) C += B;
LL x, y, D = exgcd(A, B, x, y);
if (C % D != 0) return -1;
LL k1 = B / D;
x = qmul(x, C / D, k1);
x = (x % k1 + k1) % k1;
ret += x * M;
M *= k1;
ret = (ret % M + M) % M;
}
// 满足攻击次数下限
if (ret < limit) {
ret += ((limit - ret + M - 1) / M) * M;
}
return ret;
}
void init() {
limit = 0;
cin >> n >> p;
for (int i = 1; i <= n; ++i) cin >> r[i]; // 巨龙生命值a_i
for (int i = 1; i <= n; ++i) cin >> m[i]; // 恢复能力p_i
for (int i = 1; i <= n; ++i) cin >> s[i]; // 奖励剑的攻击力
multiset<LL> sword;
for (int i = 1; i <= p; ++i) {
LL x;
cin >> x;
sword.insert(x);
}
// 为每条巨龙分配剑
for (int i = 1; i <= n; ++i) {
LL hp = r[i];
auto it = sword.upper_bound(hp);
if (it != sword.begin()) --it;
a[i] = *it; // 选中的剑的攻击力
sword.erase(it);
sword.insert(s[i]); // 加入奖励的剑
// 计算攻击次数下限:至少需要攻击ceil(hp / a[i])次
limit = max(limit, (hp + a[i] - 1) / a[i]);
}
}
int main() {
ios::sync_with_stdio(false);
cin.tie(nullptr);
int T;
cin >> T;
while (T--) {
init();
LL ans = excrt();
cout << ans << endl;
}
return 0;
}
6.4 代码分析
- 剑的分配:用 multiset 维护剑的攻击力,支持高效查找和删除,时间复杂度O(nlogm)(m 为初始剑的数量);
- 方程构建:每条巨龙对应一个线性同余方程,考虑了攻击力、生命值和恢复能力的关系;
- EXCRT 适配:方程左边带有系数(ATK_i),通过快速乘调整系数后再代入 EXCRT 流程;
- 下限处理:最终解需满足攻击次数下限,通过通解周期调整,确保结果合法。
七、常见误区与避坑指南
7.1 线性同余方程转化错误
- 误区:将方程 ai−x×ATK≡0(modpi) 错误转化为 ATK×x≡−ai(modpi),未调整余数符号;
- 避坑:统一将余数调整为非负,即 c=(r2−r1)modm2,避免负数导致的求解错误。
7.2 溢出防护不到位
- 误区 :直接使用
a * b计算,未用快速乘,导致大整数溢出;- 避坑 :所有涉及模数乘法的地方(如特解缩放、系数调整),均使用快速乘
qmul,确保中间结果不溢出。
7.3 忽略无解情况判断
- 误区:未检查线性同余方程的解的存在性(gcd(a,b)∣c),直接继续合并;
- 避坑 :每次合并方程时,若发现
c % d != 0,立即返回 - 1,避免无效计算。
7.4 特解调整错误
- 误区:求解出特解后未调整为最小正整数,导致合并后的解超出预期;
- 避坑 :通过
x = (x % k1 + k1) % k1将特解调整为最小正整数,确保合并后的方程解为最小非负解。
7.5 忘记额外限制条件
- 误区:求解出方程组的解后,未检查题目中的额外限制(如攻击次数下限);
- 避坑:根据题目要求,对 EXCRT 的结果进行二次调整,确保满足所有约束条件。
八、EXCRT 与 CRT 的对比及应用场景
8.1 两者核心对比
| 特性 | 中国剩余定理(CRT) | 扩展中国剩余定理(EXCRT) |
|---|---|---|
| 模数要求 | 必须两两互质 | 无要求(可互质或不互质) |
| 求解思想 | 构造法(直接构造全局解) | 迭代合并法(逐步合并方程) |
| 时间复杂度 | O(nlogM) | O(nlogM) |
| 适用场景 | 模数互质的方程组 | 任意线性同余方程组 |
| 逆元依赖 | 依赖逆元存在(模数互质保证) | 不依赖全局逆元(仅求解局部逆元) |
8.2 EXCRT 的典型应用场景
- 非互质模数方程组:竞赛中最直接的应用,如洛谷 P4777 模板题;
- 数论计数问题:结合其他数论知识(如欧拉函数、乘法逆元),求解带多约束的计数问题;
- 游戏 / 模拟题转化:如屠龙勇士,将实际问题转化为线性同余方程组;
- 大整数求解:通过多模数约束,构造满足条件的大整数。
总结
扩展中国剩余定理(EXCRT)是突破 CRT 模数互质限制的强大工具,其核心是 "迭代合并方程"------ 将复杂方程组逐步简化为单个等价方程,最终得到全局解。
如果在学习过程中遇到具体题目无法解决,或想了解 EXCRT 在更复杂场景(如多变量约束)中的应用,可以随时留言交流。后续将持续更新数论进阶内容,敬请关注!


(t∈Z)其中,
是通解的周期。